在今天的 SEE Conf 蚂蚁终端体验科技大会上,Ant Design 带来了 Ant Design 6.0 和 Ant Design X 2.0 的版本发布。我们将在本篇文章中和大家详细介绍最新版本技术升级和核心变化。
Ant Design 6.0
自开源以来,Ant Design 已收获 96.6K Star、累计 31.9K issue、20.7K PR、发布了 904 个 npm 版本,并有 2314 位贡献者 共同参与其中。这些数字不仅代表着社区的活跃度与支持,也见证了项目的不断进化与成熟。
正因为你们,Ant Design 才能不断成长,向下一站前行:《Plan about Ant Design 6.0》(https://github.com/ant-design/ant-design/discussions/51919)
经过大量 RFC 讨论以及多个 Alpha 版本的迭代,v6 已进入稳定阶段。今天,我们宣布 Ant Design v6 正式发布!
本次升级以 技术侧深度优化 为重点,旨在为 React 19 以及未来版本提供更好的兼容与性能(版本兼容提升至 React 18),并进一步完善组件的语义化结构和 CSS 变量支持。
与 v5 不同,这次升级是 平滑版本迁移:
-
如果你的项目已经运行在 v5,无需使用兼容包或 codemod 工具,即可直接升级到 v6。 -
v5 主分支将切换至 v5.x-stable进入 1 年维护周期。 -
除非出现特别严重的 Bug,我们不会再对 v5 进行功能性更新。
技术升级与核心变化
React 最低版本要求提升至 18
v6 支持版本从 React 18 起,移除了此版本之前的 React 兼容逻辑,避免了不同版本间的 API 行为差异。我们仍然建议使用最新的 React 19 版本以获得最佳体验。
对于静态方法比如 Modal.confirm,你已经不需要额外的兼容代码或依赖,可直接移除相关兼容代码:
-- import '@ant-design/v5-patch-for-react-19';
📦 dist 开启 React Compiler
在打包产物 antd.js 以及 antd.min.js 中启用了 React Compiler,对使用 CJS/ESM 的场景可自选启用。
🌈 纯 CSS Variables 样式架构
随着 IE 支持的彻底移除,v6 中的 @ant-design/cssinjs 默认采用 纯 CSS Variables 模式:
-
样式切换更轻量,支持实时主题变化。 -
多主题复用降低打包体积。 -
支持零运行时样式生成,可搭配 @ant-design/static-style-extract:
<ConfigProvider theme={{ zeroRuntime: true }}>
<App />
</ConfigProvider>
性能对比如下,zeroRuntime 模式表现最佳(水平轴为主题数量):
你可以通过 useToken 获取完整变量名:
const App = () => {
const {
cssVar: { colorBgElevated },
} = theme.useToken();
};
🚫 不再支持 IE
CSS Variables 模式彻底移除 IE 兼容的 StyleProvider。
🧩 全量组件语义化结构
v6 完成了 所有组件 的 DOM 语义化改造:
-
Ant Design v6 tasks #52115 (https://github.com/ant-design/ant-design/issues/52115)
-
Support better customization with semantic classNames/styles #54995 (https://github.com/ant-design/ant-design/issues/54995) -
API 使用逻辑位置描述(如 start/ end),支持 RTL。 -
内部结构可用 ConfigProvider 的 classNames 和 styles统一配置。
-
支持函数式动态生成语义结构:
const btnClassNames: ButtonProps['classNames'] = ({ props }) => {
switch (props.type) {
case 'primary':
return { ... };
default:
return { ... };
}
};
<ConfigProvider button={{ classNames: btnClassNames }}>
<App />
</ConfigProvider>
俏皮图标按钮
<Button
classNames={{
root: 'rounded-tr-xl rounded-bl-xl',
icon: 'rotate-30',
}}
icon={<SmileOutlined />}
>
Ant Design
</Button>
极客风卡片
<Card
title="Hello World"
classNames={{
root: "bg-green-300/10 text-green-500 border-green-500 rounded-none [box-shadow:0_0_8px_theme(colors.green.500)]",
header: "rounded-none border-green-500 [box-shadow:inset_0_0_8px_theme(colors.green.500)]",
title:
"text-green-500 [text-shadow:0_0_12px_theme(colors.green.400)] overflow-visible",
body: "rounded-none [text-shadow:0_0_8px_theme(colors.green.400)] [box-shadow:inset_0_0_12px_theme(colors.green.500)]"
}}
>
Ant Design loves you!~ (=^・ω・^)
</Card>
🚫 移除 v4 废弃 API
v6 移除了在 v4 废弃、v5 保留兼容的所有 API:
findDOMNode 兼容逻辑移除。- List、Dropdown.Button、BackTop 文档移除但保留兼容。
- React 18 兼容代码删除(直接支持 18)。
- 统一 API 命名风格,兼容 v5 所有 API。
新组件与功能增强
🔥 Masonry 瀑布流组件
用于图片展示、卡片流等场景:
🔥 Tooltip 支持平移滑动
在多个提示内容之间开启平移滑动:
🆕 InputNumber spinner 模式
常见的按钮平铺样式,便于用户直接点击交互:
🆕 Drawer 支持拖拽
🎨 蒙版模糊背景
所有弹层默认使用模糊效果,可通过 mask: { blur: false } 关闭:
升级指南
-
v6 对 v5 完全兼容,可直接升级。 -
建议按警告替换废弃 API。 -
项目需运行在 React 18 或更高版本。 -
不再支持 IE。
未来计划
-
优化移动端交互体验。 -
增强无障碍(Accessibility)支持。 -
跟进 React 新特性提升性能。 -
更多新组件开发中,敬请期待。
Ant Design X 2.0
自去年 11 月 22 日 Ant Design X 1.0 发布以来,不少同学都选择 X 来开发 AI 应用,再次表达感谢,毕竟 AI 发展迅速、变化万千,在 X 落地过程中也发现不少需要优化的地方,同时结合社区同学的 ISSUES,在今年 4 月份我们开始规划 X 2.0 版本。
今天,我们宣布 Ant Design X V2 正式发布!本次升级的重点为:
1. 底层依赖升级 Ant Design V6,同时将伴随 React 19 以及 CSS Variables 样式架构的升级。
2. Ant Design X 2.0 升级为 monorepo 架构,拆分成三个子包:@ant-design/x、@ant-design/x-markdown、@ant-design/x-sdk,因此 Ant Design X 将升级为搭建AI应用的工具集。
如果你的项目需要使用Ant Design X 2.0 :
-
需要将 Ant Design 升级到 v6 版本,React 最好可以升级到 19(版本兼容提升至 React 18)。 -
V1 分支将切换至 v1.x-stable 进入半年维护周期,除非出现特别严重的 Bug,我们不会再对 V1 进行功能性更新。
技术升级
Ant Design 依赖升级到 V6,详情请看上文 Ant Design 6.0
新特性与功能增强
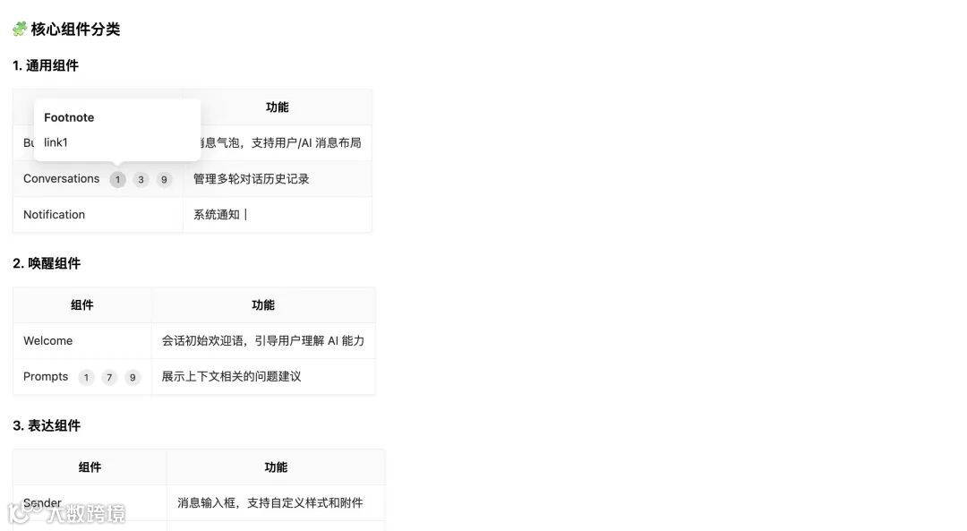
核心 UI 组件库(@ant-design/x)
基于 RICH 范式的 React UI 组件库,提供开箱即用的智能对话界面组件,提供原子化组件,支持灵活组合。
• 支持 TypeScript • 组件语义化结构 • 国际化定制 • 深度主题定制
🔥 Bubble 组件全面升级
1. Bubble 和 Bubble.List 全面重构,Bubble 新增各种变体与形状、扩展渲染、流式渲染、渲染动画、可编辑气泡等能力,Bubble.List 新增全面的可控制的内容滚动等能力。
2. 新增 Bubble.System 和 Bubble.Divider 子消息组件
🔥 Sender 输入框组件全面升级
1. 词槽模式上线,可定制各种功能,提供多个操作方法
2、删除 actions 配置,扩展为 header、footer、prefix、suffix 四个位置配置。
🔥 ThoughtChain 思维链组件全面升级
1. 视觉交互升级:更符合长程任务执行流程
2. 新增简单思维链 ThoughtChain.Item,多种类型和状态可供选择
🔥 FileCard 文件卡片
1. 新增 FileCard 组件,可用于渲染各种文件卡片,图片、视频、音频文件的多种渲染形式。
2. 文件列表渲染也不在话下。
3. 以及专为多模态模型量身打造的图片加载能力。
🆕 Think 思考过程组件
新增 Think 思考过程组件,配合 X Markdown 使用效果更佳 。
🆕 Sources 来源引用组件
新增 Sources 来源引用组件,配合 X Markdown 使用效果更佳( gif 图效果不佳,可在官网查看)。
🆕 Notification 系统通知组件
系统原生通知控制组件,提供发送通知、延迟关闭、指定通知关闭能力,同时提供 hook 调用能力和静态方法调用能力。
🆕 Actions 操作列表
1. 新增预设能力: Copy 能力, Feedback 交互能力和 Audio 交互能力,以及自定义操作能力。
2. 贴近大模型内容生成特性,新增渲染动画能力,包含左右渐变和渐变两种模式。
🆕 Attachments 输入附件
新增分类型选择文件能力:同时设置 multiple 为 true 可以支持多选,设置 maxCount 可以限制最多选择的文件数量。
🆕 Conversations 管理对话
优化分组能力、新增快捷键新增对话能力
🆕 XProvider
1. 我们接入了组件国际化配置,目前默认支持中文和英文,当然你也可以提交需要的语言。
2. 升级了主题配置:可以在 XProvider 为所有 Antd 组件、Antd X 组件、Antd X Markdown 组件配置 token,classname(s),style(s)。
3. 可以为组件配置快捷键。
高性能 Markdown 流式渲染器(@ant-design/x-markdown)
专为 AI 流式场景打造的高性能 Markdown 渲染器。
🔥 流式语法处理
支持缓存未完成的 Markdown 语法和补全未完成的 Markdown 语法。
🔥 流式动画
🔥 组件
🔥 插件集
XMarkdown 内置 LaTeX、Mermaid、代码高亮,并暴露 Marked 钩子,插件开箱即用,也可一键自定义。
Latex
Mermaid
代码高亮
自定义插件
🔥 useXChat
通过 Agent 进行会话数据管理,并产出供页面渲染使用的数据。
🔥 useXConversations
提供会话列表管理,多会话保持,包括会话创建、删除、更新等操作能力。
🔥 Chat Provider
内置了 DefaultChatProvider、OpenAIChatProvider、DeepSeekChatProvider 三个数据处理,同时可以自定义 Chat Provider 满足各种模型或者 agent 调用。
🏗️ XRequest 和 XStream
将流请求和流处理迁移到 X-SDK。
升级指南
-
确保 Ant Design 升级为 V6 版本。 -
确保项目运行在 React 18 或更高版本。 -
@ant-design/x 相关升级。 -
我们对 Sender、ThoughtChain、Bubble 这三个组件进行了UI层面以及功能的全面升级,同时需要你参考应用页面设计来选取使用,因此无法使用统一工具兼容升级,但我们仍有一份文档(https://x.ant-design-x/docs/react/migration-v2-cn)可以帮助您升级。 -
v2版本已将 Tools 相关内容迁移到了 @ant-design/x-sdk,同时删除了 useXAgent,建议直接使用新的 useXChat,更多功能可看 X-SDK 官网文档(https://x.ant.design/x-sdks/introduce-cn/)。 -
不再支持 IE。
未来计划
-
基于 X 的 AI 应用脚手架 X-Pro。 -
AI应用内容生成规范以及接入方案 :x-card ,目前还在设计中具体内容后续会在 X Discussions 发布。 -
根据不同的模型厂商提供更多内置的 Chat Provider。 -
更多组件功能支持快捷键触发。 -
此外还有一些新的组件:GenScroller(生成式滚动)、Artifacts(微型浏览器)等正在开发中,敬请期待。

