从“关键词匹配”走向“语境理解”,为电商搜索推荐开启新纪元
在当今的电商平台中,用户每天都在与搜索框对话。“蓝牙耳机”“保湿面霜”“白色运动鞋”……这些看似简单的查询背后,往往包含着丰富的语境信息——用户的位置、历史搜索轨迹、最近的浏览与点击、甚至当前的时间与场景。
然而,传统的搜索系统大多只看到了“词”,却没能理解“人”。面对噪声查询或模糊意图,它们依然停留在“文本匹配”或“语义相似度”的表层理解上,难以捕捉到用户真正的购买动机与偏好。
为了打破这一瓶颈,来自 中国科学技术大学 × 快手 的联合研究团队提出了创新性的框架—— CRS (Context-aware Reasoning-enhanced Generative Searching) , 一个面向电商场景的、具备语境理解与推理能力的生成式搜索系统。
该工作首次将大语言模型的“显式推理”机制引入搜索推荐,通过统一语境表示、自进化后训练与去偏强化学习,让搜索系统从“词义匹配者”蜕变为“语境理解者”和“推理决策者”。
论文: https://arxiv.org/abs/2510.16925
🧭 一、研究背景:搜索推荐进入“语境时代”
电商搜索系统的目标是让用户在最短时间内找到最合适的商品。然而,现实搜索场景高度复杂:
-
用户意图模糊:输入“手机壳”可能意味着想找“适配 iPhone 15 的透明壳”或“带支架的防摔壳”; -
语境信号丰富:用户最近浏览的商品、所处位置、节日时间等都暗示其真实需求; -
交互序列复杂:连续搜索“行李箱”→“登机箱”→“箱包收纳”反映了潜在的决策链。
传统匹配式方法(TF-IDF、BM25)依赖词项重叠,深度语义检索(DSSM、BERT-based retrievers)虽能捕捉语义,但仍主要基于单次查询,缺乏对时序语境和行为链条的建模能力。
结果是:搜索系统懂词不懂人——两者之间的鸿沟正是生成式搜索要跨越的边界。
💡 二、核心思路:统一语境表示,显式推理生成
CRS 的核心创新在于让 LLM 不仅“读懂”搜索词,还能“理解”搜索场景。研究团队提出了一种 文本化的上下文表示机制,将用户与商品的多模态特征统一成结构化的自然语言格式(JSON),包括:
-
用户上下文:历史查询、点击与未点击商品、时间与地点等; -
商品上下文:标题、品牌、价格、销量、类别、GMV 等结构化描述。
这使得 CRS 不再依赖繁琐的特征工程,而是通过语言模型自身的语义理解与世界知识来解析复杂语境,实现语义与结构的对齐。
此外,团队将商品内容进一步转化为 语义化 ID(Semantic ID, SID),通过多层残差 K-Means 量化生成紧凑的编码表示。每个商品最终对应一个独特的四层语义码(如 <a_23><b_1><c_124><d_0>),并被注册为 LLM 的新词汇,使模型能在统一的文本空间中直接“生成”目标商品。
这一“语言化索引”设计,让生成式搜索拥有了端到端推理的可能性——模型不再仅匹配候选,而是在理解语境后直接生成目标商品的语义标识,实现从查询到推荐的一体化生成。
🔁 三、自进化后训练:让模型学会“慢思考”
如何让模型具备真正的推理能力?
在电商场景中,我们并没有像数学或问答那样的标准推理链条可供监督。为此,CRS 提出了一个极具创造性的解决方案——自进化后训练(Self-evolving Post-training)。
这一过程可理解为一种“自我进化循环”:
-
初始化阶段:模型先在少量高质量语境推理数据上进行监督微调(SFT),学习基础的推理格式与思考逻辑; -
强化学习阶段(RL):模型在大规模电商日志上自由探索,对错误预测样本重点优化,实现推理策略的自我修正; -
再微调阶段:利用 RL 获得的新推理轨迹进行再训练,巩固成功经验; -
循环往复:通过“探索—利用”交替,模型不断强化其语境推理能力。
这一机制有效解决了缺乏高质量标注的问题,使模型能在真实交互数据中“自我成长”。
这是一种“无师自通”的推理训练方式,让模型从模仿者成长为思考者。
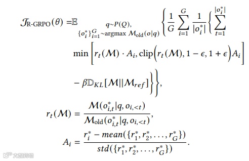
⚖️ 四、R-GRPO:让强化学习更懂“排序”
传统强化学习算法(如 GRPO)在检索场景中存在两个核心问题:
-
优化目标错位:仅关注 top-1 结果,忽视整个排序列表的质量; -
奖励估计偏差:无法估计某一推理轨迹对应物品排序结果,导致学习信号混乱。
针对这些问题,CRS 设计了 R-GRPO,从机制层面引入了“排名感知”与“去偏估计”:
-
多级奖励设计:同时评估推理格式、结果有效性、语义匹配与排序质量; -
分层累积分数计算:通过加权排名函数将完整排序表纳入优化目标。
实验表明,R-GRPO 在每一轮训练中均显著优于原始 GRPO,在 HR@10 与 NDCG@10 上平均提升约 **1–2%**,为大规模搜索推荐中的 RL 优化提供了可复用范式。
📊 五、实验结果:语境推理的力量
在基于真实电商平台数据构造的三大数据集上,CRS的表现令人瞩目:
特别是在 Fashion-27K 数据集中,商品相似度高、差异微妙,对语境建模与推理能力要求极高。CRS 的大幅领先证明了其在细粒度意图识别与模糊查询理解方面的显著优势。
此外,在用户历史行为不足的冷启动场景中,CRS 依旧展现出强大的泛化性,性能提升达8.555% ,表明其“补语境式推理”机制能够帮助模型推断用户潜在兴趣。
🔮 六、意义与展望
CRS 的提出不仅是一次算法创新,更是对“搜索”这一传统任务范式的重新定义。
它让搜索系统探索了真正的“认知智能”:
-
能理解用户语境,而非仅处理关键词; -
能推理潜在意图,而非仅匹配语义; -
能自我进化,而非依赖外部标注。
这种“从理解到推理”的范式转变,预示着电商搜索系统将从“相关性检索”迈向“意图生成”,从“词级匹配”进化为“认知对话”。
正如论文所言:
“CRS closes the gap between noisy queries and users’ true intentions.”
——它不仅让机器听懂你说了什么,更让它明白你真正想要什么。
✨ 一句话总结:
CRS 让生成式搜索具备了“理解语境、推理意图、持续进化”的能力,为智能电商搜索开辟了全新方向。
欢迎干货投稿 \ 论文宣传 \ 合作交流
由于公众号试行乱序推送,您可能不再准时收到机器学习与推荐算法的推送。为了第一时间收到本号的干货内容, 请将本号设为星标,以及常点文末右下角的“在看”。
由于公众号试行乱序推送,您可能不再准时收到机器学习与推荐算法的推送。为了第一时间收到本号的干货内容, 请将本号设为星标,以及常点文末右下角的“在看”。

