RS DL
题目:GSFANet: Global Spatial-Frequency Attention Network for Infrared Small Target Detection
期刊:IEEE Transactions on Geoscience and Remote Sensing (TGRS)
论文:https://ieeexplore.ieee.org/abstract/document/11133697
数据:SIRST, NUDT-SIRST, IRSTD-1k
代码:https://github.com/dengfa02/GSFANet_IRSTD
年份:2025
原作者审阅认证
创新点
参数化小波下采样 (PWD):提出了一种结合小波变换与分组卷积的可学习下采样模块,在进行频率细化的同时,有效保留了红外小目标的关键空间细节,防止特征在下采样中碎片化;
分层门控核注意力 (HGKA):引入高斯核函数替代传统点积计算,捕捉高维非线性特征并降低计算复杂度;设计跨空间门控机制(CSG),确保了深层语义在跨层传输时的空间一致性,有效抑制虚警;
自适应频率解耦融合 (AdaFD):在解码阶段,动态生成高通和低通滤波器,自适应地融合与目标相关的频率分量,在增强目标边缘细节的同时有效抑制背景噪声;
自适应焦点损失 (AdaFL):提出了一种能够感知目标完整性的损失函数,通过自适应调整梯度权重,平衡了多尺度目标的训练,解决了红外小目标检测中严重的样本不平衡问题。
背景
红外小目标检测(IRSTD)在单帧图像中面临着巨大的挑战:目标缺乏纹理、尺寸极小且易受复杂背景噪声干扰。现有的基于空间域的方法难以区分目标与相似的噪点,且容易破坏大尺度目标的完整性。虽然频域信息具有区分目标和噪声的潜力(见下图),但现有方法缺乏对频率分量的自适应选择能力。
为了解决这些问题,本文提出了 GSFANet,从频域视角增强目标与噪声的分布差异,同时保留空间信息的完整性,实现“空频联合学习”。
数据
本研究在三个公开的红外小目标检测基准数据集上进行了实验:
SIRST 数据集:包含 427 张红外图像,目标尺寸主要集中在 1-10 像素之间,背景复杂多样。
NUDT-SIRST 数据集:包含 600 张红外图像,目标尺寸范围为 1-15 像素,具有更高的背景噪声水平。
IRSTD-1k 数据集:包含 1000 张红外图像,目标尺寸分布广泛,涵盖了多种复杂场景。
方法
-
PWD 模块包含两个分支:固定 Haar 小波变换分支用于提供可解释的频率分解;基于分组卷积的分支用于模拟小波导向的局部对比度并补充空间细节。两者通过通道注意力进行融合。
-
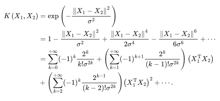
分层门控核注意力 (HGKA)旨在以低计算成本实现全局空频特征交互。它利用高斯核函数计算注意力,公式如下(泰勒展开近似):
这使得型能够在无限维特征空间中衡量相似度,更适合红外小目标的高斯分布特性。同时,CSG 机制确保了跨层的空间注意力聚焦于一致的目标区域。
-
在解码器端,AdaFD 将特征分组,并根据频率重要性动态生成低通滤波器 (𝑓𝐿) 和高通滤波器 (𝑓𝐻),分别用于提取语义和恢复细节。
-
为了解决样本不平衡和训练后期梯度震荡问题,AdaFL 结合了 IoU 和目标尺寸自适应调整权重:
-
其中α是目标尺寸缩放因子,使得小目标在训练中获得更大的梯度关注(见下图)。总的来看,AdaFL 有助于模型更好地学习多尺度目标的完整性,并根据训练阶段自适应调整目标梯度。
实验与分析
实验结果表明,GSFANet 在 SIRST、NUDT-SIRST 和 IRSTD-1k 三个数据集上均取得了优越的性能。相比于SOTA方法在IoU、$F_1$、$P_d$与上均有显著提升,同时保持了较低的虚警率$F_a$。
可视化结果显示,GSFANet 能够准确检测出复杂背景下的微弱目标,并且在面对高斯噪声和散斑噪声干扰时表现出极强的鲁棒性。AdaFD 模块有效地保留了目标的形状边界,而 PWD 模块则确保了极小目标不丢失。
更多图表分析可见原文
2025-11-28
2025-10-01
2025-08-17
2025-08-11
欢迎关注
分享遥感与深度学习领域的技术、论文、书籍、新鲜事。
欢迎加入遥感与深度学习交流群(点此加入)。


