
看看
你的心水学校投档线是多少
▼
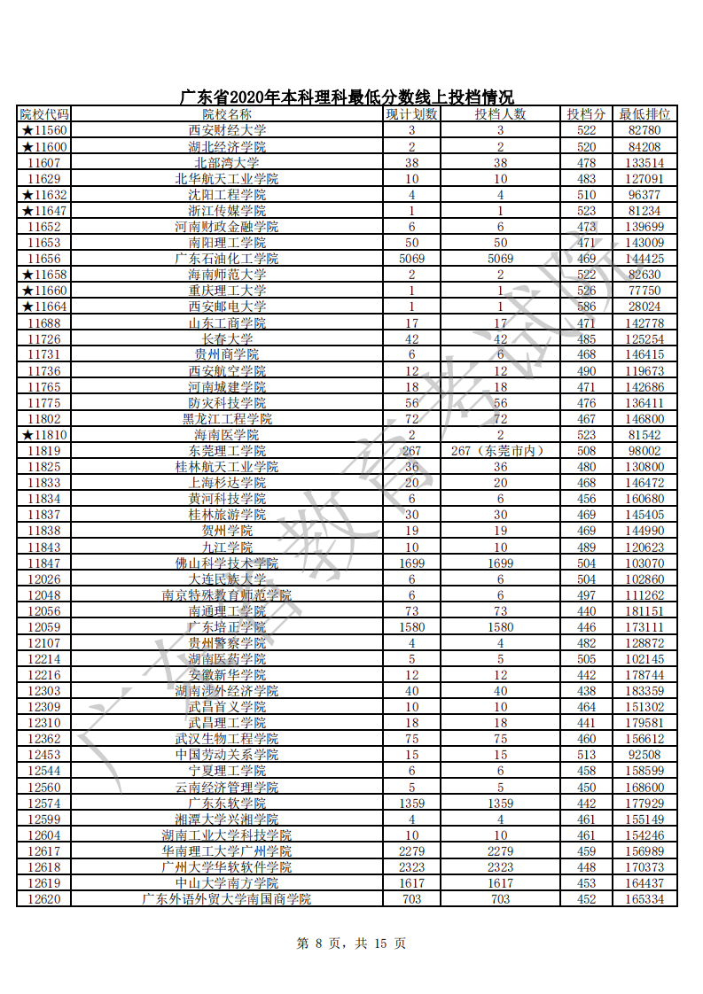
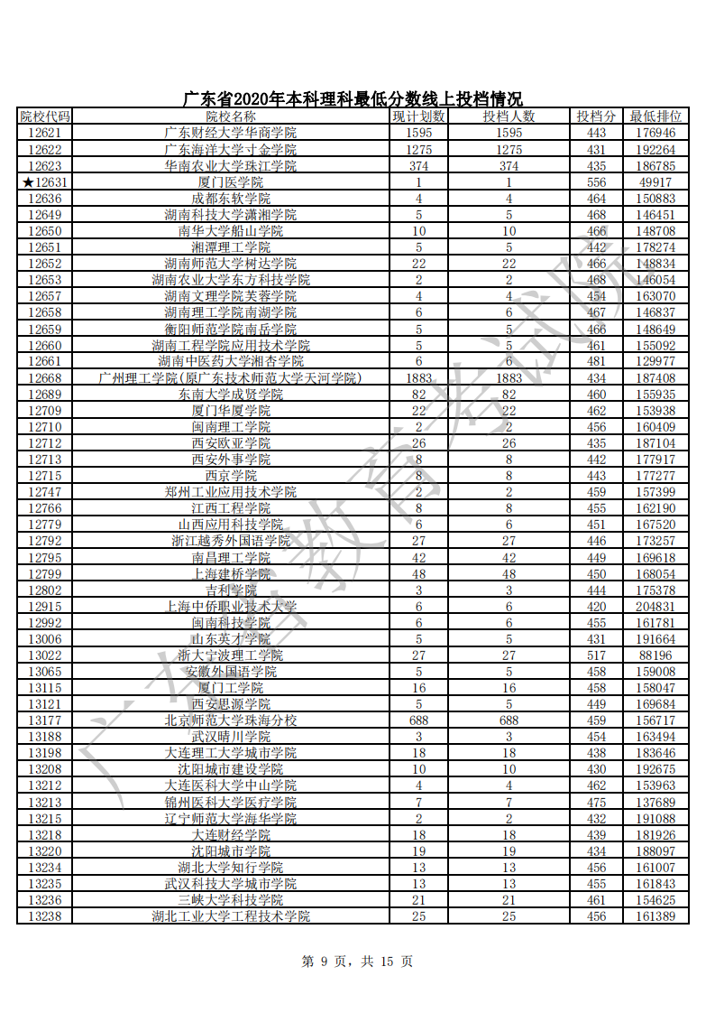
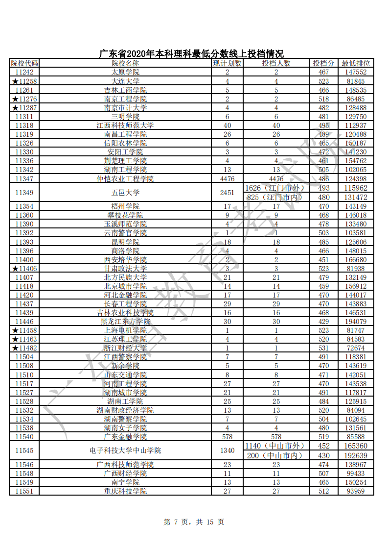
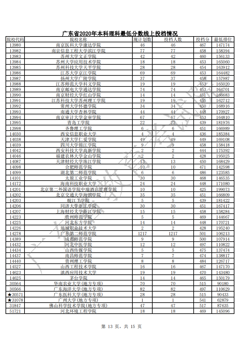
据悉,今年公办高校几乎全部满档,并且投档线普遍较高。省内往年的“热门”院校,今年热度不减,投档线基本接近或超过高分优先投档线。如:
广东财经大学文科投档线为535分
广州中医药大学文、理科投档线分别为535分、539分
广东警官学院文、理科投档线分别为534分、514分
广州医科大学文、理科投档线分别为533分、539分
深圳技术大学文科投档线为532分
广东海洋大学文、理科投档线分别510分、484分
广东医科大学文、理科投档线分别504分、500分
广东药科大学文、理科投档线分别502分、495分
广东金融学院文、理科投档线分别524分、519分


