箱线图的四种类型展现了从基础到复杂的应用演变:
基础盒形图和高级盒形图:侧重于数据探索,帮助我们直观地了解数据的分布形状、集中趋势和离散程度。
差异检验箱线图和多功能差异检验图:将统计检验结果可视化,从而对组间差异进行推断和验证。
一
盒形图
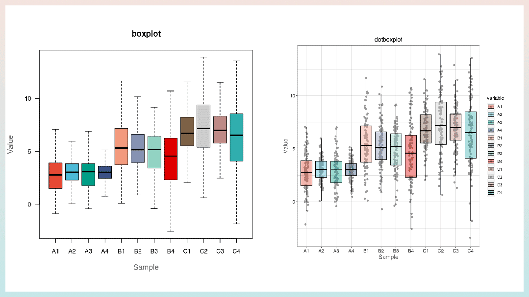
用于直观展示数据的分布特征,图表可调整项有图表类型选择、异常值显示控制以及Y轴数值转换。
|
图表类型 |
垂直/水平箱线图、垂直/水平带点箱线图、垂直/水平小提琴图 |
|
异常值 |
显示 |
|
Y轴数值转换 |
raw、log10、log2 |
二
高级盒形图
在传统箱线图基础上,叠加小提琴图(展示数据分布形状)、散点图(显示实际数据点)等,提供数据分布的多维度视角。图表调整项可对图表类型、主题样式、图表方向、以及单个图表颜色的调整。
|
图表类型 |
小提琴箱线图、小提琴散点图、箱线散点图、小提琴图、箱线图、散点图 |
|
主题样式 |
全网格边框、全边框无网格、左下边框、全网格下边框、全网格无边框、背景网格 |
|
图表方向 |
水平和垂直 |
|
单个图表颜色设置 |
箱线图、小提琴图、散点图均可设置为单色和彩色 |
三
差异检验箱线图
在分组箱线图上直接标注统计检验结果,如星号(*,P<0.05;**,P<0.01,***,P<0.001),直观显示组间差异的显著性。支持非参数检验(如Kruskal-Wallis检验)事后两两比较(如Dunn's test)。
|
图表颜色 |
可切换不同的色卡来绘图 |
|
面板宽度 |
可调整分组箱线图面板的宽度 |
四
多功能差异检验图
通过提琴与箱线组合图或柱形图加显著性星号形式展示不同组样品之间的差异,并支持使用不同统计检验方法评价差异是否显著。图表类型提供柱状图、小提琴图、箱线图等,数据设置支持多种检验方法、多重检验校正、显著性水平等。
|
图表样式 |
1.图表类型:柱状图、小提琴图、箱线图、小提琴+箱线图 |
|
2.面板高度:可适当调整画图面板高度优化绘图效果 |
|
|
3.网格线:添加到图表区域 |
|
|
数据设置 |
1.事后检验:可选择多组比较时是否做事后检验。当选择不做事后检验时,图只展示两部分;两组比较时不支持做事后检验。 |
|
2.事后检验方法:可选择"Dunn"、"Nemenyi"、"Conover-iman"、"Steel_dwass"四种事后检验方法。 |
|
|
3.检验比较方法:系统推荐、Wilcoxon test、Student's test
|
|
|
4.多重检验校正:BH、holm、hochberg、hommel等8种方法 |
|
|
5.显著性水平:根据参考范围合理输入 |
|
|
6.单位转换:log10、log2、无处理 |
百度搜索“派森诺基因云”,或直接访问官方网站 https://www.genescloud.cn/home,点击进入“云图汇”,通过输入“ 对应图表名称 ”关键词,开启您的个性化体验之旅。温馨提示:平台现已正式接入DeepSeek-R1满血版,您可以根据需求切换不同模型进行体验。在绘图过程中,如果遇到常见问题,建议先使用PAI绘图小助手进行自助解决;若有个性化需求或遇到无法解决的问题,欢迎通过【工单中心】与平台联系,提出您的需求或建议。派森诺基因云始终秉持“持续创新,不断升级”的理念,未来将推出更多精美的可视化图表与实用的分析工具,期待您的使用与反馈!
供稿 | 大数据研发部
编辑 | 市场部
1
END
1

