
总第218篇/张俊红
上一篇文章我们介绍的时间预测的方法基本都是通过历史数据直接求平均算出来的的。这一篇讲一些用模型来预测的方法。
1.AR(p)模型
先讲第一个AR模型,AR的全称是Auto Regression,表示自回归,大家应该都知道普通的回归方程,都是用x去回归y,这里的x和y一般不是同一个东西。而我们这里的自回归顾名思义就是用自己回归自己,也就是x和y都是时间序列自己。具体的模型如下:

上面模型中,Xt表示t期的值,当期的值由前p期的值来决定,δ值是常数项,相当于普通回归中的截距项,μ是随机误差,因为当期值总有一些因素是我们没考虑进去的,而这些因素带来的的当期值的改变,我们就把它归到μ部分中。
AR模型与我们前面讲过的加权平均之间的区别就是多了常数项和误差项。
2.MA(q)模型
MA的全称是Moving Average,表示移动平均。具体模型如下:

上面模型中,Xt表示t期的值,当期的值由前q期的误差值来决定,μ值是常数项,相当于普通回归中的截距项,ut是当期的随机误差。MA模型的核心思想是每一期的随机误差都会影响当期值,把前q期的所有误差加起来就是对t期值的影响。
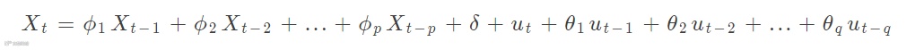
3.ARMA(p,q)模型
ARMA模型其实就是把上面两个模型进行合并,就是认为t期值不仅与前p期的x值有关,而且还与前q期对应的每一期的误差有关,这两部分共同决定了目前t期的值,具体的模型如下:

4.ARIMA(p,d,q)模型
ARIMA模型是在ARMA模型的基础上进行改造的,ARMA模型是针对t期值进行建模的,而ARIMA是针对t期与t-d期之间差值进行建模,我们把这种不同期之间做差称为差分,这里的d是几就是几阶差分。
还是拿gdp数据为例,下图就是一阶差分以及一阶差分以后的结果:
下图为一阶差分前后的gdp趋势图,可以看出实际gdp值为持续上升趋势,差分后变成了随机波动:
ARIMA的的具体模型如下:

上面公式中的wt表示t期经过d阶差分以后的结果。我们可以看到ARIMA模型的形式基本与ARMA的形式是一致的,只不过把X换成了w。
5.最后
当数据是平稳时间序列时可以使用前面的三个模型,当数据是非平稳时间序列时,可以使用最后一个,通过差分的方式将非平稳时间时间序列转化为平稳时间序列。
以上就是常用的对时间序列预测的统计模型。


