
1、世界不是一成不变的
2、持续学习的基础、定义与要求
基于生物系统的持续学习基础
图1 持续学习的范式
持续学习的定义
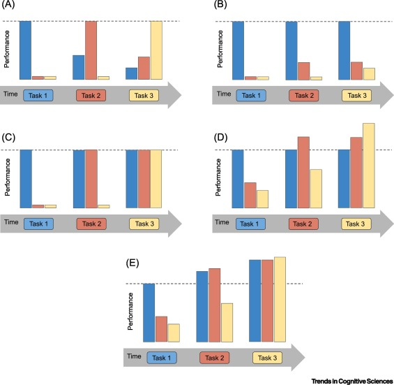
图2 在持续学习环境中不同结果的图示
-
之前任务的最小访问。该模型没有为以前的经验提供无限存储,并且至关重要的是,它无法与以前看到的任务进行交互。 -
模型容量和计算的最小增加。该方法必须是可伸缩的:它不能为每个后续任务添加新模型。 -
减少灾难性的遗忘和干扰。对新任务的训练不应显着降低先前学习的任务的性能(图2 A,C)。 -
快速适应和恢复。该模型应该能够快速适应新任务或领域转移,并且在呈现过去任务时能够快速恢复。 -
保持可塑性。该模型应能够在观察到新任务时持续有效学习(图2 B)。 -
最大化向前和向后传输。学习任务应该在学习效率和绩效方面都改善过去和将来的相关任务(图2 D,E)。 -
与任务无关的学习。该方法不应依赖已知的任务标签或任务边界。
3、基于梯度的解决方案
图3 不同任务的梯度下降优化

