
近日,暨南大学经济与社会研究院两位副教授崔潇濛、唐曲的合作论文“Extreme heat and rural household adaptation: Evidence from Northeast China”发表于发展经济学顶级期刊《Journal of Development Economics》,该论文利用面板固定效应模型,从消费和生产两个角度对农村小家庭如何受到极端高温的影响以及他们如何设法减轻影响进行了全面的实证分析。
个人简介

崔潇濛:现任暨南大学经济与社会研究院副教授,于2018年获得加州大学戴维斯分校农业与资源经济学博士学位。研究领域为环境与资源经济学、农业与发展经济学、应用计量经济学。研究成果发表于Journal of Econometrics,Journal of Development Economics,Journal of the Association of Environmental and Resource Economists,Journal of Environmental Economics and Management,American Journal of Agricultural Economics等国际权威期刊。主持国家自然科学基金面上项目、青年科学基金项目。

唐曲:现任暨南大学经济与社会研究院副教授,于2015年获得加州大学伯克利分校经济学博士学位。研究领域为环境与资源经济学、产业组织。研究成果发表于Journal of Development Economics,Journal of Environmental Economics and Management,American Journal of Agricultural Economics等国际权威期刊。
【摘要】在气候变化的背景下,预计会出现更多的极端高温事件,对粮食生产以及依赖农业的农村家庭的生活构成威胁。通过对中国农业地区农村家庭的详细调查,我们发现极端高温大大降低了作物产量,降低了家庭的农业回报。然而,这些家庭通过预防性地储蓄缓冲(流动金融资产和农作物库存),特别是那些定期持有这些缓冲的家庭,成功地同时平滑了他们的消费。他们未来的支出也基本上不受影响。这种消费平滑的适应性阻碍了可变投入和生产性资产的季节性调整。然而,在后来的几年里,极端的热量引导影响了家庭选择更多样化但风险更低的作物组合。

目录
一、研究介绍
二、背景和数据
1)农村家庭信息数据
2)气候数据
三、实证策略
四、主要结果
1)农业生产与收益
2)农村家庭消费
3)预防性储蓄和平滑行为
4)生产调整
五、稳健性检验
六、结束语
一、研究介绍
本文对农村家庭如何应对极端高温冲击以及使用各种适应性策略减轻经济损失进行了详细的实证调查。本文将中国东北监测站的高频天气数据与2004-2014年间4000多个农村家庭的年度面板进行匹配,研究发现,极端高温显著降低了东北地区玉米产量,给玉米种植户造成了巨大的经济损失;虽然经济损失巨大,但受影响的家庭已经成功地实现了消费平稳;主要通过使用流动金融资产和可用的缓冲库存来平稳消费;受影响的家庭在经历极端高温后的几年内迅速重建其耗尽的金融资产和股票;有远见的家庭可能会根据过去的冲击调整生产,预测未来极端高温造成的潜在损失。
本文的一个关键创新是,通过同时考察农户对极端高温的消费和生产调整,对农户的适应行为进行全面评估。本文的主要贡献在于广泛评估了极端高温对农户的影响,并全面探讨了农户的潜在适应选择。
二、背景和数据
1、背景
研究主要集中在中国东北地区包括黑龙江、吉林、辽宁三省以及内蒙古东部五个州的玉米种植户,有几个原因使该地区非常适合研究农村家庭如何受到极端高温冲击的影响并作出反应。
第一,在过去的60年里,东北地区比其他许多地方经历了更明显的变暖。第二,东北地区黑土地肥沃,人均耕地禀赋最丰富,对中国农业和粮食安全至关重要。第三,就产量而言,玉米是对高温最敏感的作物之一。此外,玉米的生产和销售收入占该地区农户农业收入的50%以上。
2、数据
2.1 农村家庭信息数据
本文的农村家庭信息数据来自全国定点调查(NFS)。我们将分析限制在2004 - 2014年期间东北地区与玉米生产相关的家庭,我们的主要样本涵盖了54个村庄的3364个玉米种植家庭家庭调查包含有关家庭收入、食品消费、总支出和分类支出、特定作物产量、财务行为和资产的详细信息。
由表1可知,panel A显示了主要作物的种植面积,panel B报告了玉米产量的描述性统计数据,panel C和D分别描述了家庭收入和消费支出,panel E展示了资产所有权。
2.2 气候数据
气候数据来源于中国气象数据服务中心,panel F给出了天气变量的汇总统计数据。图1中,本文使用1952年至2014年所有年份的可用天气数据显示了HDD的历史趋势。很明显,东北地区的HDD体验有明显的上升趋势。自20世纪50年代以来,32°C以上的极端热积累呈增加趋势。



三、实证策略
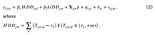
本文使用标准面板固定效应估计来表征热暴露与家庭经济结果之间的关系:

利用这一丰富的互动固定效应,我们可以利用当地天气冲击的变化,这样我们的估计就不太可能受到区域价格和政策冲击等造成的虚假相关性的影响。
接着设立回归方程(2)来检验极端高温如何影响经济结果并诱导玉米家庭的行为反应:


图2显示,即使剔除所有村固定效应和各省固定效应,HDD的剩余变异也足够丰富。

四、主要结果
4.1 农业生产与收益
利用度日指标,本文首先估计高温对玉米产量的影响。表2第(1)列表明,在我们的研究背景下,东北地区的玉米产量对极端高温最为敏感。在表2的第(2)列中,表明我们的估计对用一组非线性降雨强度度量代替二次降水不敏感。在(3)-(5)列中,表明当使用相邻截止值来定义HDD或使用炎热天数代替度天数时,结果在质量上仍然相似。

表3中的基准结果表明,对于这些玉米家庭,收入和收入估计略小于玉米产量和产量的估计。

4.2 农村家庭消费
知道极端高温会显著降低玉米家庭的经济回报,我们想了解极端高温的经历是否会对他们的生活水平产生负面影响。利用调查中收集的家庭支出的详细信息,我们研究了总生活费用和分类生活费用如何对热冲击作出反应。对于每个家庭,我们首先通过汇总所有分项支出和付款,包括购买食物、衣服、住所、能源、日常用品以及教育、娱乐、旅行等费用,形成年度生活总支出的衡量标准。更具体地说,我们探讨了极端高温是否对玉米家庭的食品消费产生了有意义的影响。结果见表4,总的来说,极端高温对总生活支出、食品消费和分类支出的影响一般为零,这表明,尽管高温导致了经济回报的重大损失,但种植玉米的家庭已经成功地同时平衡了他们的消费。

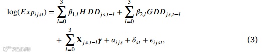
消费平滑通常涉及到跨时期的资源配置,这可能会对冲击后数年的家庭支出动态产生影响。因此,我们进一步研究极端高温对家庭支出的动态影响,采用以下回归规范:

受极端高温影响的家庭消费存在一定的跨期变化。然而,这些影响通常是温和的。一方面,我们只看到非必要需求的适度减少,其影响最终没有以统计显著的方式反映在总生活费用中。另一方面,确定的消费削减只是暂时的,没有长期影响,因为HDD对礼物和捐赠以及生活服务费用的估计在以后的几年里迅速萎缩到零。
4.3 预防性储蓄和平滑行为
我们对家庭支出的研究结果表明,一般来说,这些家庭在维持生活水平方面非常成功,尽管极端高温对他们的作物产量和收入造成了重大损害。问题自然随之而来,这些家庭是如何做到这一点的。




4.4 生产调整
家庭在消费方面的适应能力可能会进一步影响他们的生产决策。一方面,由于能够同时平滑消费,东北地区的玉米农户可能没有动力进行昂贵的季内投入调整,以挽救因热引起的玉米产量损失。另一方面,随着时间的推移,从他们的生产安排中也可以感受到他们在资产建设中所反映的前瞻性理性。


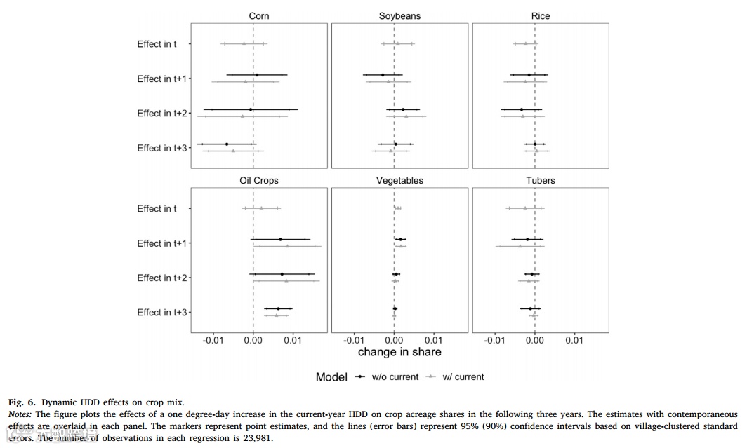
图6显示了在本年度HDD增加1摄氏度后确定的作物混合三年动态有一种暗示性的模式,即极端高温导致作物组合调整,不再种植玉米。

五、稳健性检验
5.1 评估非农活动
使用农民工的对数收入作为因变量,估计我们的基线回归,以探讨它是否受到极端高温的影响。也采用农民工收入为正的指标和双曲正弦反变换后的收入作为因变量进行回归。此外,我们利用村庄调查,形成了村级非农总收入、非农劳动力和农民工的测度。
5.2 使用其他天气变量
我们在基线回归规范中评估温度和降水变量的稳健性。首先,我们检查了使用替代降雨测量的敏感性,看看降水测量的选择是否会影响温度估计。此外,我们使用另一种非线性温度测量方法来计算高于32°C的天数(而不是以天为单位)。结果表明,表3-8中的关键估计对于使用替代天气规格是稳健的。
5.3 使用其他固定效应来替代
我们的基线估计指定了各省的固定效应和家庭的固定效应。采用逐年固定效应既符合文献惯例,又便于利用同一省份内的不同天气冲击。这种相互作用的固定效应规范比简单的年度固定效应更受青睐,避免了估计受省级天气变化和其他因素(例如,政策实施)的影响。使用家庭固定效应优于乡村固定效应。即使同一村庄的家庭经历相似的天气,我们认为为了有效控制与时不变家庭特征相关的噪声,家庭固定效应仍然是必要的。
5.4 解决样本选择和缺失问题
通过将2003年的观测数据纳入我们的分析进行了一系列稳健性检查,结果表明,主要结论对加入2003年的数据不敏感。由于我们主要关注种植玉米的家庭,我们也对家庭是否因为极端高温而选择种植玉米进行了评估,结果表明,同期和滞后的硬盘对是否种植玉米都没有显著影响,点估计值非常接近于零。
六、结束语
农户对气候变化的适应是多方面的。在本文中,我们首次从消费和生产两个角度对农村小家庭如何受到极端高温的影响以及他们如何设法减轻影响进行了全面的实证分析。我们的实证结果表明,尽管受到相当大的热驱动对收入的影响,家庭能够平滑消费使用他们的预防性储蓄,包括农作物库存和流动金融资产。同时,通过季内生产调整,他们的消费平滑能力很可能剥夺了他们进行补偿努力的动机。然而,我们确实发现了热诱导的作物组合调整的证据,这与这些农村家庭的预防性储蓄动机是一致的。
我们注意到,受限于从调查中收集的信息,我们的研究结果可能不会穷尽所有可行的机制,为家庭实现消费平滑。此外,考虑到当地气候和农业实践的差异,本文中发现的地方适应的具体形式,如利用玉米库存作为缓冲,可能无法直接推广到其他区域背景下。然而,我们在本文中发现的预防性储蓄的作用确实为更好地了解农村家庭在其他情况下对气候冲击的适应潜力提供了一般见解和政策启示。
一个直接的政策含义是,帮助农村家庭建立气候适应能力对于在气候冲击下维持其生活水平至关重要。我们的研究结果表明,在发展中国家,农村家庭自身的预防性储蓄缓冲在一定程度上填补了信贷和保险市场不完善留下的漏洞。然而,发达的金融市场可能会进一步增强农村家庭对气候变化的抵御能力。一方面,虽然家庭有能力在短期内用自己的缓冲来平滑消费,但这种自我缓解的做法可能不可持续,因为气候变化可能引发更频繁的极端高温事件和未来持续的收入下降。因此,从长远来看,获得金融服务对支持消费平滑至关重要。另一方面,金融服务具有很大的潜力,可以帮助放松家庭信贷限制,从而使进一步的生产投资能够抵御与热有关的收入冲击。未来的研究需要更好地了解农村家庭的短期适应,以及在日益恶化的气候下使适应行动可持续的制度。
|
数据专题 |
统计年鉴 |
|
实证资源 |
|
|
经济研究数据 |
|
|
文本数据 |
|
|
|
数字经济专题 |
|
|
绿色碳中和系列 |
|
|
企业数据 |
|
|
地理数据 |
|
|
论文复刻 |
向上滑动阅览
(点击可跳转数据详情)
统计年鉴
实证资源
经济研究数据
文本数据
数字经济专题
绿色碳中和系列
企业数据
地理数据
论文复刻

