大数跨境
0
0

数据处理被他玩明白了!(工业企业+海关+专利)微观数据库相互匹配,发表工业经济!

数据处理被他玩明白了!(工业企业+海关+专利)微观数据库相互匹配,发表工业经济! 数据皮皮侠
2024-09-13
1
原文信息:
[1]郑江淮,金晟男.地区间技术互补、均衡发展与企业全球价值链攀升[J/OL].中国工业经济,2024,(07):85-104[2024-09-10].

01

引言

在过去四十多年的经济发展中,中国各地区的创新资源与创新能力不断积累,取得了显著成效。然而,由于技术开发的复杂性与多样性需求不断增加,以及单个城市承载创新资源的能力有限,各地区之间逐渐形成了技术互补关系。与此同时,全球价值链中产品生产过程日益碎片化,产品生产所需要的零件和组件越来越多地由处于具有不同优势的地理空间再配置。这种趋势为地区间通过技术互补协调国内分工、减少重复竞争,进而推动本国企业在全球价值链中攀升提供了重要的技术基础。当同一行业内本地与其他地区的技术互补水平提升时,本地企业将受益于正外部性,拥有更多互补技术或投入品,进而在相关产品的生产上获得比较优势。这不仅有助于通过联动其他地区发展,改变原有的少数地区和少数企业参与国际贸易的格局,还增加了企业出口产品中的国内附加值。基于这一视角,相较于各地区要素争夺的同质竞争,通过国内地区间技术互补与产业分工形成的总体外部经济性和比较优势,能够更广泛地嵌入国际垂直生产体系。这不仅有助于国内各地区发挥互补优势,还有利于加快实现地区间共生共长的均衡发展格局。    

02

数据介绍与特征事实

1.数据介绍
本文使用了三个来源的数据集:①使用中华人民共和国海关总署(简称海关总署)提供的2000—2014年企业—产品层面交易数据。②使用2000—2014年中国工业企业数据库的数据。③本文将工业企业数据与来自国家知识产权局的专利申请数据进行匹配,实现了企业与专利的对应。
2.变量设置
(1)技术互补。技术互补性可以被表达为地区间技术大类的相似度减去同一技术小类中发生的相似关系。
(2)企业出口国内附加值率。出口国内附加值率反映了企业作为中间品需求者和供给者的相对重要程度,是全球价值链地位的重要体现。
3.特征事实
典型事实1:地区间生产与技术由集中向分散转变,技术互补逐渐形成。
典型事实2:地区间技术互补与企业出口国内附加值率高度相关。
典型事实3:技术互补与地区间企业出口国内附加值率差距缩小。

03

理论模型与假说提出  

1.最终需求
本文使用超越对数支出函数来刻画国外消费者对连续最终产品的需求:    
其中,E表示代表性消费者为实现效用U所需支付的最低支出,N表示国外代表性消费者可购买的异质性最终产品数量,pi为最终产品i∈ω的价格。,γ值大于零,越大意味着产品可替代性越强。
对于给定的收入水平E和支出函数(1)式,根据谢泼德引理,求得消费者对异质性最终产品i的需求:
其中,表示企业所能设定的产品最高价格,。
2.最终产品生产
代表性企业的生产函数为:
其中,Yiϕi、Ki、Li和Mi分别表示企业i的产出、全要素生产率、资本、劳动和中间品投入,αk、αL和αM分别表示资本、劳动和中间品投入的产出弹性。
企业的总中间品投入价格PM表示为:
企业的生产率由ϕi(φ)表示,取决于企业创新水平,即其投入生产的发明技术。zi(φ,v)表示企业对中间产品v的采购成本。
根据从不同地区购买中间产品的条件,出口企业从国内或国外选择成本最低的地区购买中间产品v:
出口企业通过求解(5)式中的采购问题,从其购买成本最低的地区中采购品种v。地区j=0,1为成本最低的概率:
企业的总中间品投入价格PM表示为:
其中,是由函数Γ(·)得到的常数。令为国内中间产品的基准价格。另外,假定国内与国外的技术互补水平保持不变,国外中间投入价格为常数,设。
由此,国内产品采用概率与企业的总中间投入价格可分别改写为:
3.均衡条件
对于给定的资本价格r、劳动工资w以及由技术互补程度φ决定的中间品投入价格PM,企业成本最小化决策条件为:。可解得企业相应的生产成本表达式为:且满足。企业的边际成本MC为:    
由(2)式和(10)式,根据利润最大化条件,可解得企业的成本加成为:。企业的总收益以及进口中间品价值占总收益的份额可表示为:。
在均衡条件下,在位企业获得零利润,解得。,意味着,技术互补程度越高的地区,企业进入成本越高。
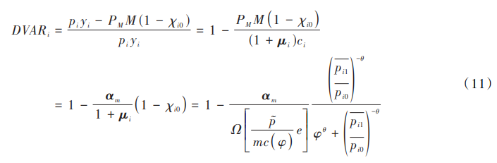
4.企业出口国内附加值率
根据KeeandTang(2016),企业出口国内附加值率DVARi可表示为:
鉴于正单调变换并不改变函数的本质特性,等式两边同时取对数,并结合企业生产率函数和(8)式,可得:    
本文将技术互补对企业DVAR的影响机制分解为:①中间投入效应。②生产率效应。
基于理论分析,本文提出:
假说1:地区间技术互补有助于提升企业出口国内附加值率。
假说2:地区间技术互补主要通过增加国内中间产品使用和提高企业全要素生产率来促进企业出口国内附加值率的提升。

04

实证分析

1.模型设定
本文回归模型设定如下:
其中,Cjkt表示t年j城市k行业与其他城市k行业的技术互补程度,dvarijkt表示t年j城市k行业i企业出口的国内附加值率。
2.基准回归
表3汇总了基准估计结果。第(2)列报告了附加控制变量的OLS估计结果,发现技术互补的估计系数在1%的水平上显著为正。这一结果表明,一个地区行业与其他城市该行业的技术互补程度每增加1个单位,该地区行业内企业出口附加值率增加0.0233个单位。    
3.稳健性检验
本文进行一系列稳健性检验,包括增加潜在的遗漏变量、剔除跨市迁移的样本、排除异地研发的影响、使用安慰剂检验、计算企业上游度考察企业在全球价值链其他维度的影响并讨论了地区间技术互补对企业长期影响。结果显示,本文基准回归结果稳健。
4.工具变量分析
本文使用城市所在省份与其他省份产业政策差异与城市市场可达性的乘积作为工具变量。

05

机制与异质性分析

1.机制分析
(1)企业产品生产能力是以技术为前提的。本文使用的国内中间要素金额占企业销售收入的比重来度量企业国内中间产品使用强度,其中,国内中间要素金额等于企业总中间投入减去企业国外中间产品的总进口额。表5第(1)、(2)列回归结果可以发现,国内中间产品使用强度的提高是通过出口企业将上游供应链从国外向国内转移实现的,这不仅带动了国内其他地区相关企业的发展,促进了地区间的共生共长,而且在国际供应链断供频发的背景下,技术互补增强了企业应对外部冲击的能力。
(2)企业全要素生产率直接影响企业出口决策与产品出口国内附加值率。创新效率是企业生产率的重要组成部分,在这里本文分别对企业生产率和创新效率进行回归。创新效率的测算以企业单位研发费用所转化的发明专利申请数量度量。表5第(3)、(4)列的结果验证了前文的假说。通过对不同方面的交叉验证,本文发现地区间技术互补确实对企业的生产率产生了显著的促进作用。    
2.异质性分析
(1)企业的人力资本水平是影响企业吸收地区间技术互补外部性的重要因素。分组回归结果如表6第(1)、(2)列所示,技术互补效应在人力资本高低企业组中均显著,这说明技术发现与知识扩散效应同时存在,但知识扩散效应更强,有助于缩小企业之间的差距。
(2)考察技术互补效应在地区之间的差异。本文计算了中国20个创新中心城市,根据企业是否处于创新中心城市进行分组回归。表6第(3)、(4)列结果显示,地区间技术互补的价值链地位提升效应对于创新中心和创新外围地区的企业均具有显著影响,且对创新外围地区的提升效应更大。
(3)本文以城市交通基础设施建设的视角测算地区层面的市场可达性指标,用于反映城市间的市场一体化水平差异。表6第(5)、(6)列分组回归结果发现,在市场一体化程度更高的地区,技术互补对企业价值链攀升的促进效应更强。    
上述异质性分析可以回应前文特征事实部分所发现的现象。地区间技术互补确实在缩小企业差距方面发挥了重要作用,其主要是通过缩小中心与外围地区以及人力资本前沿企业与落后企业之间的差距而实现的。
3.进一步讨论:价值链攀升的市场表现
本文基于企业产品出口价格、数量与出口目的国等信息测算了企业层面的出口产品质量。产品范围与出口目的地分别以企业当年出口的HS6位码出口产品种类与出口目的地数量度量。企业成本加成采用DeLoeckerandWarzynski(2012)提出的生产函数估计方法进行估算。表7的回归结果验证了本文的猜测,技术互补的回归系数均在1%的水平上显著。这表明,技术互补不仅为企业提供了良好的外部创新技术,使其产品质量得以提升,更使得企业因获得更多的创新资源实现产品技术发现,拓宽了产品范围与出口范围,有效地促进了企业成本加成的提高,而这些均是企业全球价值链攀升的微观表现。

06

结论与政策启示  

1.结论
研究发现,地区间技术互补带动了企业出口国内附加值率(DVAR)提升,解释了约25%的中国企业出口国内附加值率增长。    
其主要实现机制是增加了企业对国内中间品的使用比重,提高了企业全要素生产率;异质性分析发现,技术互补的促进效应对人力资本水平较低的企业以及处于创新外围地区、市场可达性高的企业更强,有效地发挥了缩小企业间、地区间差距进而推动地区均衡发展的作用。
此外,本文讨论了企业在全球价值链中实现攀升后的具体市场表现,发现企业在出口产品范围、产品质量、出口目的国数量以及出口成本加成等不同方面均得到显著提升。
2.政策启示
(1)进一步发挥国内地区间技术互补的特殊比较优势,推动国内企业实现全球价值链攀升。
(2)在激励创新的同时,政府部门应在全国范围内进行合理规划与引导。
(3)加快构建全国统一大市场,更好地发挥地区技术互补的经济效应。  
END

【声明】内容源于网络
0
0
数据皮皮侠
社科数据综合服务中心,立志服务百千万社科学者
内容 2137
粉丝 0
数据皮皮侠 社科数据综合服务中心,立志服务百千万社科学者
总阅读16
粉丝0
内容2.1k