原文信息:
[1]陈东,姚笛,郑玉璐.工业机器人应用、超级明星企业与劳动收入份额变动:“利好”与“隐忧”并存[J/OL].中国工业经济,2024,(05):97-115[2024-08-07].

1
引言
党的二十大报告指出,努力提高居民收入在国民收入分配中的比重,提高劳动报酬在初次分配中的比重。工业机器人技术作为新一轮科技革命的核心技术之一,在推动中国经济智能转型升级的同时,会对要素收入分配造成一定冲击。工业机器人应用带来的资源配置优化虽然提升了生产率,但也分化了企业规模和企业市场竞争力,可能会导致少数超级明星企业的市场势力快速增强,由此带来的“超级明星效应”会对劳动收入份额产生不利影响。基于此,本文从超级明星企业视角出发,考察工业机器人应用对企业劳动收入份额的影响及其机制,旨在为中国实现更加合理的收入分配提供微观经验与应对之策。
2
理论模型
1.基本设定
本文将工业机器人要素的投入成本以工资单位度量,假设一般劳动力的工资和工业机器人的工资(使用成本)分别为Wla和Wai。进一步简化分析,本文将工业机器人要素的使用成本Wai标准化为1,,此时投入的要素总量为li=lla+lai,其中,lla和lai分别为一般劳动要素总量和工业机器人要素总量。
得企业生产产品的最优价格、最优数量和企业加成率分别为:和。此时,企业的生产成本函数为:。
基于工业机器人要素投入带来的生产边际成本和固定成本变化,企业的生产成本函数为。此时,企业所获得的利润为:

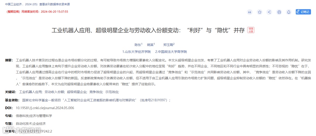
均衡条件下企业工业机器人要素投入带来的企业边际成本下降水平为:

基于此,工业机器人要素投入后的企业加成率为:

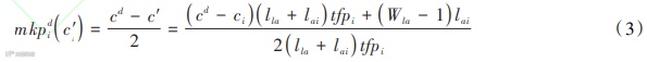
当企业未投入工业机器人要素时,将前文的企业生产数量和市场势力函数表达式代入企业一般劳动力的劳动收入份额Sila函数表达式中,可得:

2.传导机制分析
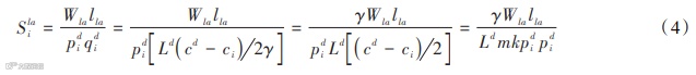
(1)工业机器人应用与企业劳动收入份额。结合上述推导过程,工业机器人应用如何影响企业劳动收入份额可以表达为:

由式(5)可知,工业机器人应用通过一般劳动力工资水平、劳动力数量、企业产品定价和企业市场势力等渠道,对劳动收入份额产生影响。基于此,本文提出:
假说1:工业机器人应用有助于促进企业劳动收入份额的提升。
(2)基于超级明星企业视角的作用机制。
本文从以下两方面考虑工业机器人应用通过企业市场势力影响劳动收入份额。
一是当企业应用工业机器人所产生的影响并未扩散至整个行业,即企业临界生产边际成本不变时,工业机器人应用带来的企业自身市场势力变动的表达式为:

二是当企业应用工业机器人所产生的影响扩散至整个行业时,企业临界生产边际成本会发生相应变化。此时,,根据式(3),工业机器人应用带来的企业相对市场势力(mkprid)变动的表达式为:

由式(7)可知,工业机器人应用在总体上会提高企业的相对市场势力,即。
由此可见,工业机器人应用在静态上有助于提高企业自身市场势力,进而在动态上有助于增强其在行业市场中的相对市场势力。据此,本文提出:
假说2:工业机器人应用有助于提高企业的自身市场势力和相对市场势力,是“超级明星效应”形成的重要原因,会导致劳动收入份额下降。
工业机器人应用的“竞争效应”和“示范效应”将是决定企业劳动收入份额下降的双重原因,而“竞争效应”和“示范效应”的强弱体现在超级明星企业和受引导的非超级明星企业在应用工业机器人后获得的市场势力收益大小。为了研究这一问题,本文将企业自身市场势力对工业机器人要素投入进行二次求导,可得:

由式(8)可知,随着工业机器人要素投入的增加,企业通过应用工业机器人获得的市场势力收益逐渐变小。结合现实,可以看出,超级明星企业和非超级明星企业通过投入工业机器人要素获得市场势力收益的大小,受到其所掌握资金的充裕程度和政府干预等现实因素的总体影响,即工业机器人应用的“竞争效应”和“示范效应”孰大孰小不确定。据此,本文提出:
假说3:工业机器人应用的“竞争效应”在造成企业劳动收入份额下降的同时,其“示范效应”成为企业劳动收入份额下降的新原因。
3
研究设计
1.数据来源
本文使用的数据主要源自2000—2015年中国工业企业数据库和中国海关数据库。
2.核心变量测算
企业劳动收入份额(LSV)。使用企业劳动报酬占企业收入法计算所得增加值的比重度量企业劳动收入份额(LSV),计算方法为工资总额(/工资总额+营业利润+折旧+利息+间接税)。
工业机器人应用(Robot)。采用企业工业机器人累计进口金额加1并取对数作为工业机器人应用的代理变量。
超级明星企业(Star)。将每年4位码行业销售市场份额位于前10%的企业识别为超级明星企业,并据此构建是否为超级明星企业的二值虚拟变量。
3.模型选择
本文使用双向固定效应模型检验工业机器人应用对企业劳动收入份额的影响:

4
实证检验
1.基准回归
表1汇报了基准回归结果。可以发现,无论是否加入控制变量,抑或被解释变量采用LSV或LSR度量方式,Robot对企业劳动收入份额的影响系数均在1%的水平上显著为正,表明工业机器人应用促进了企业劳动收入份额的提高。假说1得证。

2.内生性处理
本文构建职位可替代性指标作为核心解释变量的工具变量IV。
3.稳健性检验
本文进行了一系列稳健性检验:①更换核心变量。②控制多维固定效应。③考虑样本选择偏误问题。④考虑样本自选择效应。⑤进行分位数回归。上述稳健性检验结果均符合预期,说明本文所得结论稳健。
4.异质性分析
(1)企业异质性。本文分别构建核心解释变量与企业性质(SOE)、政府补贴(Subsidy)的交互项IV×SOE和IV×Subsidy,以考察企业异质性下的结果差异。回归结果表明,IV×SOE对企业劳动收入份额的影响不显著。IV×Subsidy对企业劳动收入份额的影响显著为正。
(2)地区异质性。在本文中,人力资本(Hr)采用各城市中在校大学生人数与年末人口数的比值度量;配套基础设施(Smc)采用智慧城市建设虚拟变量度量,即该市若属于中华人民共和国住房和城乡建设部发布的智慧城市建设名单,赋值为1,否则为0。在此基础上分别构建交互项IV×Hr和IV×Smc,以分析工业机器人应用对企业劳动收入份额提升作用的强弱是否存在地区禀赋条件异质性。回归结果发现,IV×Hr和IV×Smc对企业劳动收入份额均有着显著的正向影响。
(3)行业异质性。行业工业机器人渗透度异质性分析结果显示:一方面,回归系数显著为正的行业明显多于显著为负的行业,并且这些回归系数显著为正的行业主要是中、高工业机器人渗透度行业,工业机器人技术较为成熟,有助于更好地发挥其对企业劳动收入份额的提升作用;另一方面,回归系数显著为负的行业在中、低工业机器人渗透度的行业中均有体现,并且这些行业主要是高耗能、重复性强的产业,工作条件相对恶劣,企业应用工业机器人对这些行业中的岗位替代特点可能主要表现为“补位式替代”,不利于企业劳动收入份额的提升。
5
基于超级明星企业视角的作用机制
1.工业机器人与超级明星企业诞生
本文将职位可替代性作为工具变量(IV),回归结果如表3所示。

(1)工业机器人应用是否会促进“超级明星企业”诞生。
本文将式(9)的被解释变量更改为是否为超级明星企业的二值虚拟变量(Star)。表3第(1)列的结果显示,工业机器人应用能够促进企业成长为超级明星企业,表明应用工业机器人能够改善企业生产效率,提高其市场竞争力,使企业脱颖而出成为超级明星企业。
(2)“超级明星企业”的形成机制是什么。
在考察工业机器人应用促进超级明星企业诞生的静态与动态形成机制时,本文构建企业自身市场势力指标(Lerner);对于企业在行业市场竞争中形成的相对市场势力指标(RLerner),采用单个企业的市场势力减去同行业内企业以销售额加权的市场势力平均值度量。
表3第(2)列反映了工业机器人应用促进超级明星企业形成的静态表现。结果表明,工业机器人应用显著正向作用于企业自身市场势力。第(3)—(5)列反映了工业机器人应用促进超级明星企业形成的动态表现。结果显示,工业机器人应用对企业相对市场势力的影响显著为正,这一正向作用不仅在滞后1—4期后仍较为显著,而且在改变指标计算权重后同样显著,说明企业应用工业机器人在静态上有助于增强自身市场势力,提高其市场竞争力,从而在动态上对行业内其他企业形成相对市场势力优势。这一相对市场势力优势具有长期性,使得原有的超级明星企业垄断地位更加稳固的同时,会推动部分普通企业的规模逐步扩大,长期看甚至会成长为新的超级明星企业,成为劳动收入份额下降趋势增强的“隐忧”,假说2得证。
2.“超级明星效应”影响企业劳动收入份额的内在规律

表4的回归结果反映了工业机器人应用的“竞争效应”和“示范效应”对企业劳动收入份额的影响。其中,第(1)、(2)列表明,与未应用工业机器人企业相比,超级明星企业应用工业机器人显著提高了其在行业市场中的竞争力,有助于企业市场势力的增强,并通过“竞争效应”强化了“超级明星效应”。第(3)列回归结果意味着,“竞争效应”会导致企业劳动收入份额持续下降。第(4)—(6)列结果显示,超级明星企业应用工业机器人引导了行业内非超级明星企业应用工业机器人,并且这一引导行为同样能够显著提高其在行业市场中的竞争力,促进企业市场势力的增长,说明超级明星企业发挥了“示范效应”。
表4第(7)列进一步检验了“竞争效应”和“示范效应”带来市场势力增幅的相对大小,表明非超级明星企业应用工业机器人会获得更大的市场势力增幅,超级明星企业应用工业机器人的“示范效应”使超级明星企业在市场竞争中倍感压力。
表4第(8)、(9)列回归结果表明,应用工业机器人的非超级明星企业在行业市场中的市场势力扩张后主要获取了未应用工业机器人的超级明星企业市场份额,对应用工业机器人的超级明星企业的竞争压力较小,超级明星企业仍可通过应用工业机器人的“竞争效应”巩固“超级明星效应”,持续成为企业劳动收入份额下降趋势增强的主要原因。但与此同时,超级明星企业应用工业机器人的“示范效应”对其“竞争效应”产生有限的负面影响,主要挤压了未应用工业机器人超级明星企业的市场份额,逐渐成为推动企业劳动收入份额下降趋势增强的新原因。至此,假说3得证。
为了更具体地呈现超级明星企业应用工业机器人对企业劳动收入份额的影响,本文再次根据中国工业企业数据库测算了企业生产率(TFP)和市场势力(Lerner)指标,从侧面予以印证。由图1可以发现,对于应用工业机器人的超级明星企业与非超级明星企业而言,其平均市场势力整体上均呈上升趋势,但是前者的市场势力始终大于后者,表明工业机器人应用有利于企业市场势力的增长,且应用工业机器人的超级明星企业可能通过“竞争效应”强化其“超级明星效应”,成为劳动收入份额下降趋势增强的主导因素。

6
进一步分析
本文考察2008年国家实施的《反垄断法》这一代表性规制措施的效果,判断其能否缓解由企业应用工业机器人带来的“隐忧”,该法律旨在限制以头部超级明星企业为代表的垄断企业市场势力的过度扩张。若企业在2003—2007年的行业市场份额均排名前4,则定义该企业为头部超级明星企业,并将之作为处理组,否则作为对照组;在此基础上,采用双重差分法检验《反垄断法》实施(DID)的影响。在进行检验时,劳动力工资指标(Wage)采用工资总额与就业人数之比并取对数度量。
表5第(1)、(2)列结果表明,《反垄断法》的实施显著提升了企业劳动收入份额,且通过了平行趋势假定。第(3)列结果表明,《反垄断法》的实施显著阻碍了头部超级明星企业市场势力的增长,有助于初次收入分配向更公平的方向发展。这一结论在第(4)列中也得到证实。然而,从第(5)列的结果可以看出,《反垄断法》的实施在一定程度上会阻碍企业追求生产的帕累托最优水平。
进一步检验在《反垄断法》实施的前提下,工业机器人应用对企业劳动收入份额的提升作用是否会增强。表5第(6)列的结果显示,《反垄断法》的实施并没有起到显著的增强作用。不仅如此,第(7)列的结果也发现,《反垄断法》的实施未能削弱头部超级明星企业因应用工业机器人而增强的市场势力。

7
结论与政策启示
1.结论
研究结果发现,工业机器人应用整体上有利于提升企业劳动收入份额,对改善要素收入分配差距呈现出“利好”趋势。
异质性考察表明,工业机器人应用带来的企业劳动收入份额提升作用在政府补贴较多的企业、人力资本水平较高和配套基础设施较为完善的地区以及工业机器人渗透度较强的行业表现得更为明显。
基于超级明星企业视角的作用机制分析发现,工业机器人应用提升了企业自身市场势力及其相对市场势力,促进“超级明星效应”的形成,使得劳动收入份额下降趋势增强的“隐忧”日益凸显;对“隐忧”形成的深层次原因探讨得出,超级明星企业主要是通过“竞争效应”和“示范效应”发挥影响力,且“竞争效应”成为企业劳动收入份额下降的主因,但“示范效应”日益成为劳动收入份额下降的新原因。
进一步分析显示,反垄断政策能够抑制头部超级明星企业的市场势力,通过改善劳动者工资水平提高企业劳动收入份额,但是会以损害生产率为代价,同时该政策不适用于由工业机器人应用导致的头部超级明星企业市场势力扩张问题,超级明星企业通过“竞争效应”和“示范效应”抑制劳动收入份额的“隐忧”依然存在。
2.政策启示
(1)工业机器人在整体上表现为“利好”,暂时未表现出“补位式”替代劳动要素的特征,并且在不同企业、地区和行业中差异明显。
(2)工业机器人应用能够促进超级明星企业的诞生,是“超级明星效应”形成的重要推手,导致企业劳动收入份额下降趋势增强。
(3)超级明星企业应用工业机器人的“竞争效应”大于“示范效应”,是“超级明星效应”强化并进而导致企业劳动收入份额下降趋势增强的主因。

