项目管理三角形
项目管理三角中,对时间也就是进度的管理是非常重要的一环。
没有优秀的进度管理,丁谓就不能按时完成皇宫的重建;Michael就不能准时逃出监狱的黑暗;汪峰就不能被及时踢出头条的版面。
言归正传,项目进度管理是为确保项目按期完成所需要的管理过程,它一共包括六大过程。
1. 活动定义
是识别和记录为完成项目可交付成果而需采取的具体行动的过程,说白了就是一个项目工作拆解的过程。将主要项目可交付成果细分为更小的、易于管理的活动,这一过程也可叫做WBS(Work Breakdown Structure)拆解。活动必须详细到可以对该活动进行估算(成本和历时)、安排进度、做出预算、分配负责人员或组织单位,浓缩成以下3点:
1. 独立可分配
2. 可管理
3. 可定量检查
2. 活动排序
是识别和记录项目活动之间的关系的过程。活动之间主要有以下几种关系:
3. 活动资源估算
是评估在实施项目活动时要使用何种资源(人员、设备或物资),每一种使用的数量,以及何时用于项目活动的过程。通过此过程,以确定资源的来源,何时引入以及所需成本等。
4. 活动历时估算
顾名思义,即评估完成活动所持续的时间。一般会有类比估算,专家估算,三点估计等方法。
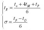
三点估算主要用于项目进度管理中,估算活动持续时间。通过考虑估算中的不确定性和风险,可以提高活动持续时间估算的准确性。这个概念起源于计划评审技术(Project Evaluation and Review Technique,PERT)。PERT经常使用3种估算值来界定活动持续时间的近似区间,其关系如下:
最可能时间(tE)。
活动的持续时间估算。
最可能时间(tM)。基于最可能获得的资源、最可能取得的资源生产率、对资源可用时间的现实预计、资源对其他参与者的可能依赖以及可能发生的各种干扰等,所得到的活动持续时间。
最乐观时间(tO)。
基于活动的最好情况,所得到的活动持续时间。
最悲观时间(tP)。
基于活动的最差情况,所得到的活动持续时间。
标准差(σ)。
完成了前面的4个过程,就可以制定项目计划了。
5. 制定项目计划
首先要识别关键路径。关键路径是项目中最长的路径,决定了整个项目的工期,任何关键路径上的变化将直接影响项目的预期完成时间,除非已经为关键路径预留了缓冲时间。可以通过如下计算识别关键路径。
有了关键路径之后,可以通过正推法或逆推法来安排项目计划,从而落实项目执行和监控的过程,最终形成最常见的进度图表——甘特图。
正推法:首先确定项目的开始时间,然后按照时间顺序来计算路径中每项活动的最早开始时间和最早完成时间。
逆推法:首先确定项目的结束时间,然后按照逆时间顺序计算路径中每项活动的最晚开始时间和最晚完成时间。
P.S. 红色部分表示休假,天蓝色部分表示接口定义,绿色部分表示联调,其他不同颜色表示不同组别的资源。
但在一些小型项目中,定义活动、排列活动顺序、估算活动持续时间及制定进度模型等过程之间的联系非常密切,以至于可视为一个过程,能够由少量几个人,甚至一个人在较短时间内完成。
6. 进度控制
项目计划制定完成,开始进入实施阶段。此时,最后一个过程,进度控制登场了。进度控制是监督项目状态,以更新项目进度和管理进度基准变更的过程。
进度控制基本上是一个类似PDCA循环的过程,通过下面4个步骤,不断修正项目进度。
1. 收集项目任务的进展信息,进行项目实际进展信息与进度基准计划的比较
2. 针对出现的进度偏差,寻求最佳解决方案
3. 根据方案调整计划
4. 执行进度调整后的进度计划和确定的解决方案
常见的进度控制解决方案:
本期题目在下方扫码,前三位拿满分的小驼,将有机会获得“皮实鸡”哦~~
(温馨提示:切记要实名制哦!)
谢谢阅读
点击关注 不迷路--趣拿PMO直通车--一个只分享干货的公众号!
排版|陈之曲
图文|彭光
联系人|张璐- rose.zhang@qunar.com


