
业务发展初期,数据库中量一般都不高,也不太容易出一些性能问题或者出的问题也不大,但是当数据库的量级达到一定规模之后,如果缺失有效的预警、监控、处理等手段则会对用户的使用体验造成影响,严重的则会直接导致订单、金额直接受损,因而就需要时刻关注数据库的性能问题。
数据库性能优化的常见手段有很多,比如添加索引、分库分表、优化连接池等,具体如下:
| 序号 | 类型 | 措施 | 说明 |
| 1 | 物理级别 | 提升硬件性能 | 将数据库安装到更高配置的服务器上会有立竿见影的效果,例如提高CPU配置、增加内存容量、采用固态硬盘等手段,在经费允许的范围可以尝试。 |
| 2 | 应用级别 | 连接池参数优化 | 我们大部分的应用都是使用连接池来托管数据库的连接,但是大部分都是默认的配置,因而配置好超时时长、连接池容量等参数就显得尤为重要。1、 如果链接长时间被占用,新的请求无法获取到新的连接,就会影响到业务。2、 如果连接数设置的过小,那么即使硬件资源没问题,也无法发挥其功效。之前公司做过一些压测,但就是死活不达标,最后发现是由于连接数太小。 |
| 3 | 单表级别 | 合理运用索引 | 如果数据量较大,但是又没有合适的索引,就会拖垮整个性能,但是索引是把双刃剑,并不是说索引越多越好,而是要根据业务的需要进行适当的添加和使用。缺失索引、重复索引、冗余索引、失控索引这几类情况其实都是对系统很大的危害。 |
| 4 | 库表级别 | 分库分表 | 当数据量较大的时候,只使用索引就意义不大了,需要做好分库分表的操作,合理的利用好分区键,例如按照用户ID、订单ID、日期等维度进行分区,可以减少扫描范围。 |
| 5 | 监控级别 | 加强运维 | 针对线上的一些系统还需要进一步的加强监控,比如订阅一些慢SQL日志,找到比较糟糕的一些SQL,也可以利用业务内一些通用的工具,例如druid组件等。 |
首先了解一下数据的底层架构,也有助于我们做更好优化。
我们重点关注第二部分和第三部分,第二部分其实就是Server层,这层主要就是负责查询优化,制定出一些执行计划,然后调用存储引擎给我们提供的各种底层基础API,最终将数据返回给客户端。
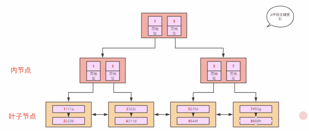
每一页都包括了这么几个内容,首先是页头、其次是页目录、还有用户数据区域。
-
刚才插入的几条数据就是放到这个用户数据区域的,这个是按照主键依次递增的单向链表。 -
页目录这个是用来指向具体的用户数据区域,因为当用户数据区域的数据变多的时候也就会形成分组,而页目录就会指向不同的分组,利用二分查找可以快速的定位数据。
推荐1个网站,可以可视化的查看一些算法原型:
关于索引结构的小结:
对于B-Tree而言,叶子节点是没有链接的,而B+Tree索引是单向链表,但是MySQL在B+Tree的基础之上加以改进,形成了双向链表,双向的好处是在处理> <,between and等'范围查询'语法时可以得心应手。
-
只为用于搜索、排序或分组的列创建索引。 重点关注where语句后边的情况 -
当列中不重复值的个数在总记录条数中的占比很大时,才为列建立索引。 例如手机号、用户ID、班级等,但是比如一张全校学生表,每条记录是一名学生,where语句是查询所有’某学校‘的学生,那么其实也不会提高性能。 -
索引列的类型尽量小。 无论是主键还是索引列都尽量选择小的,如果很大则会占据很大的索引空间。 -
可以只为索引列前缀创建索引,减少索引占用的存储空间。 alter table single_table add index idx_key1(key1(10)) -
尽量使用覆盖索引进行查询,以避免回表操作带来的性能损耗。 select key1 from single_table order by key1 -
为了尽可能的少的让聚簇索引发生页面分裂的情况,建议让主键自增。 -
定位并删除表中的冗余和重复索引。 冗余索引:单列索引-字段1;联合索引:字段1 字段2 重复索引:在一个字段上添加了普通索引、唯一索引、主键等多个索引
rows:预估的需要读取的记录条数
<!--统计医患下过去24小时内开的电子病历总数--><select id="getCountByDPAndTime" resultType="integer">select count(1)from jdhe_medical_recordwhere status = 1 and is_test = #{isTest,jdbcType=INTEGER} and electric_medical_record_status in (2,3)<if test="patientId != null">and patient_id = #{patientId,jdbcType=BIGINT}</if><if test="doctorPin != null">and doctor_pin = #{doctorPin,jdbcType=VARCHAR}</if>and created >#{dateStart,jdbcType=TIMESTAMP};</select>
select rx_id, rx_create_timefrom nethp_rx_infowhere rx_status = 5and status = 1and rx_product_type = 0and (parent_rx_id = 0 or parent_rx_id is null)and business_type != 7and vender_id = 8888order by rx_create_time asclimit 1;
PRIMARY KEY (`id`),UNIQUE KEY `uniq_rx_id` (`rx_id`),KEY `idx_diag_id` (`diag_id`),KEY `idx_doctor_pin` (`doctor_pin`) USING BTREE,KEY `idx_rx_storeId` (`store_id`),KEY `idx_parent_rx_id` (`parent_rx_id`) USING BTREE,KEY `idx_rx_status` (`rx_status`) USING BTREE,KEY `idx_doctor_status_type` (`doctor_pin`, `rx_status`, `rx_type`),KEY `idx_business_store` (`business_type`, `store_id`),KEY `idx_doctor_pin_patientid` (`patient_id`, `doctor_pin`) USING BTREE,KEY `idx_rx_create_time` (`rx_create_time`)
-
没加新索引rx_create_time的时候,由于order by后边没有索引,就看where条件中是否有合适的索引,查询选择器选定rx_status这个单列索引,而rx_status=5这个条件下限制的数据行在索引中是连续,即使需要的rx_id不在索引中,再回主键聚簇索引也来得及,由于order by后边没有索引,所以走磁盘级别的排序filesort,高峰积压的时候处方就1万到2万,跑到了100ms,白天低谷的时候几百单也就20ms。 -
新加索引之后,就分两种情况: 2.1 加索引是在晚上,当前命中的行数比较少,由于当天晚上的时候待审核的处方确实很少,也就是rx_status=5的确实很少,查询优化器感觉反正没多少行,排序不重要,因而就还是选择rx_status索引。 2.2 第二天白天,待审核的处方数量很多了(rx_status=5的数据量多了),当时可以命中几万数据,如果当前命中的行数比较多,查询优化器就开始算成本,感觉排序的成本会更高,那就优先保排序吧,所以就选择rx_create_time这个字段,但是这个索引树上没有别的索引字段的信息,没办法,几乎每条数据都要回表,进而引发了灾难。

