本文主要做推荐系统浅析,主要介绍推荐系统的定义,推荐系统的基础框架,简单介绍设计推荐的相关方法以及架构。适用于部分对推荐系统感兴趣的同学以及有相关基础的同学,本人水平有限,欢迎大家指正。
2.1 推荐系统的定义
推荐系统本质上还是解决信息过载的问题,帮助用户找到他们感兴趣的物品,深度挖掘用户潜在的兴趣。
2.2 推荐架构
当一个用户打开一个页面,这个时候前端会携带用户信息(pin或者uuid等)去请求后台接口(通过color间接调用),当后台收到请求后一般会先根据用户标识进行分流获取相关策略配置(ab策略),这些策略去决定接下来会调用召回模块、排序模块以及重排模块的哪个接口。一般召回模块分多路召回,每路召回负责召回多个商品,排序和重排负责调整这些商品的顺序。最后挑选出合适的商品并进行价格、图片等相关信息补充展现给用户。用户会根据自己是否感兴趣选择点击或者不点击,这些涉及用户的行为会通过日志上报到数据平台,为之后效果分析和利用用户行为推荐商品奠定基础。
终级:从百万级的商品库筛选出用户感兴趣的个位数级别的商品。
复杂的排序模型线上推断耗时严重,需要严格控制进入排序模型的商品数量。需要进行拆解
召回模块:召回模块的任务是快速从大量的物品中筛选出一部分候选物品,目的是不要漏掉用户可能会喜欢的物品。召回模块通常采用多路召回,使用一些简化的特征或模型。
排序模块:排序模块的任务是精准排序,根据用户的历史行为、兴趣、偏好等信息,对召回模块筛选出的候选物品进行排序。排序模块通常使用一些复杂的模型。
重排模块:重排模块的任务是对排序模块的结果进行二次排序或调整,以进一步提高推荐的准确性和个性化程度。重排模块通常使用一些简单而有效的算法。
参考论文:Overlapping Experiment Infrastructure: More, Better, Faster Experimentation(google2010)
只有在线实验才能真正评估模型优劣,ab实验可以快速验证实验的效果,快速迭代模型。减少上线新功能的风险。
ab算法:Hash(uuid+实验id+创建时间戳)%100
召回层的存在仅仅是为用户从广阔的商品池子中初筛出一批还不错的商品。为了平衡计算速度与召回率(正样本占全部正样本的比例)指标之间的矛盾,采用多路召回策略,每路召回策略只考虑其中的单一特征或策略。
2.3.1 多路召回的优劣
多路召回:采用不同的策略、特征或者简单模型分别召回一部分候选集,然后把候选集混合在一起供排序使用。召回率高,速度快,多路召回相互补充。
多路召回中每路召回的截断个数K是个超参数,需要人工调参,成本高;召回通路存在重合问题,冗余。
是否存在一种召回可以替代多路召回,向量召回应运而生,就目前而言,仍然是以向量召回为主,其他召回为辅的架构。
2.3.2 召回分类
主要分为非个性化召回,个性化召回两大类。非个性化召回主要是进行热点推送,推荐领域马太效应严重,20%的商品贡献80%的点击。个性化召回主要是发掘用户感兴趣的商品,着重处理每个用户的差异点,提高商品的多样性,保持用户的粘性。
(1) 热门召回:近7天高点击、高点赞、高销量商品召回
协同过滤算法是基于用户行为数据挖掘用户的行为偏好,从而根据用户的行为偏好为其推荐物品,其根据的是用户和物品的行为矩阵(共现矩阵)。用户行为一般包括浏览、点赞、加购、点击、关注、分享等等。
协同过滤分为三大类:基于用户的协同过滤(UCF)和基于物品的协同过滤(ICF)和基于模型的协同过滤(隐语义模型)。是否为用户推荐某个物品,首先要把用户和物品进行关联,而进行关联的点是另一个物品还是另一个用户,决定了这属于哪个类型的协同过滤。而基于隐语义模型是根据用户行为数据进行自动聚类挖掘用户的潜在兴趣特征。从而通过潜在兴趣特征对用户和物品进行关联。
基于物品的协同过滤(ICF):判断是否为用户推荐某个物品,首先根据用户历史行为记录的物品和这个物品的相似关系来推断用户对这个物品的兴趣度,从而判断我们是否推荐这个物品。整个协同过滤过程主要分为以下几步:计算物品之间的相似度,计算用户对物品的兴趣度,排序截取结果。
衡量相似度主要有以下几种方式:夹角余弦距离,杰卡德公式。由于用户或物品的表示方式的多样性,使得这些相似度的计算非常灵活。我们可以利用用户和物品的行为矩阵来去计算相似度,也可以根据用户行为、物品属性和上下文关系构造用户和物品的向量表示去计算相似性。

杰卡德公式J(A,B)=(|A⋂B|)/(|A⋃B|)
|
商品a
|
商品b |
商品c |
商品d |
用户A
|
1
|
0
|
0 |
1 |
| 用户B |
0
|
1 |
1
|
0
|
| 用户C |
1
|
0 |
1
|
1
|
| 用户D |
1
|
1 |
0
|
0 |
Wab=(1*0+0*1+1*0+1*1)/(√(1^2+0^2+1^2+1^2 )*√(0^2+1^2+0^2+1^2 ))=1/√6
spark实现ICF:https://zhuanlan.zhihu.com/p/413159725
向量化召回:通过学习用户与物品低维向量化表征,将召回建模成向量空间内的近邻搜索问题,有效提升了召回的泛化能力与多样性,是推荐引擎的核心召回通道。
向量:万物皆可向量化,Embedding就是用一个低维稠密的向量表示一个对象(词语或者商品),主要作用是将稀疏向量转换成稠密向量(降维的效果),这里的表示蕴含着一定的深意,使其能够表达出对象的一部分特征,同时向量之间的距离反映对象之间的相似性。
word2vec:词向量的鼻祖,由三层神经网络:输入层,隐藏层,输出层,隐藏层没有激活函数,输出层用了softmax计算概率。
总的来说:输入是词语的序列,经过模型训练可以得到每个词语对应的向量。应用在推荐领域就是输入用户的点击序列,经过模型训练得到每个商品的向量。
优劣:简单高效,但是只考虑了行为序列,没有考虑其他特征。
网络结构:分别称为User塔和物品塔;其中User塔接收用户侧特征作为输入比如用户id、性别、年龄、感兴趣的三级品类、用户点击序列、用户地址等;Item塔接受商品侧特征,比如商品id、类目id、价格、近三天订单量等。数据训练:(正样本数据,1)(负样本,0)正样本:点击的商品,负样本:全局随机商品样本(或者同批次其他用户点击样本)
优劣:高效,完美契合召回特性,在线请求得到用户向量,检索召回item向量,泛化性高;用户塔和item塔割裂,只在最后做了交互。
向量检索:是一种基于向量空间模型(Vector Space Model)的信息检索方法,用于在大规模文本集合中快速查找与查询向量最相似的文档向量。在信息检索、推荐系统、文本分类中得到广泛应用。
向量检索的过程是计算向量之间的相似度,最后返回相似度较高的TopK向量返回,而向量相似度计算有多种方式。计算向量相似性的方式有欧式距离、内积、余弦距离。归一化后,内积与余弦相似度计算公式等价。
向量检索的本质是近似近邻搜索(ANNS),尽可能减小查询向量的搜索范围,从而提高查询速度。
目前在工业界被大规模用到的向量检索算法基本可以分为以下3类:
LSH算法的核心思想是:将原始数据空间中的两个相邻数据点通过相同的映射或投影变换后,这两个数据点在新的数据空间中仍然相邻的概率很大,而不相邻的数据点被映射到同一个桶的概率很小。
相比于暴力搜索遍历数据集中的所有点,而使用哈希,我们首先找到查询样本落入在哪个桶中,如果空间的划分是在我们想要的相似性度量下进行分割的,则查询样本的最近邻将极有可能落在查询样本的桶中,如此我们只需要在当前的桶中遍历比较,而不用在所有的数据集中进行遍历。当哈希函数数目H取得太大,查询样本与其对应的最近邻落入同一个桶中的可能性会变得很微弱,针对这个问题,我们可以重复这个过程L次(每一次都是不同的哈希函数),从而增加最近邻的召回率。
排序阶段分为粗排和精排,粗排一般出现在在召回结果的数据量级比较大的时候。
背景:手动特征组合实现记忆性效果不错但是特征工程太耗费人力,并且未曾出现的特征组合无法记忆,不能进行泛化。
目的:使模型同时兼顾泛化和记忆能力(有效的利用历史信息并具有强大的表达能力)
(1)记忆能力 模型直接学习并利用历史数据中物品或者特征共现频率的能力,记忆历史数据的分布特点,简单模型容易发现数据中对结果影响较大的特征或者组合特征,调整其权重实现对强特征的记忆
(2)泛化能力 模型传递特征的相关性,以及发掘稀疏或者从未出现过的稀有特征和最终标签相关性的能力,即使是非常稀疏的特征向量输入也能得到稳定平滑的推荐概率。提高泛化性的例子:矩阵分解,神经网络
兼顾记忆和泛化能力 (结果的准确性和扩展性) wide部分专注模型记忆,快速处理大量历史行为特征,deep部分专注模型泛化,探索新世界,模型传递特征的相关性,发掘稀疏甚至从外出现过的稀有特征与最终标签的相关性的能力,具有强大的表达能力。最终将wide部分和deep部分结合起来,形成统一的模型。
wide部分就是基础的线性模型,表示为y=W^T X+b X特征部分包括基础特征和交叉特征。交叉特征在wide部分很重要,可以捕捉到特征间的交互,起到添加非线性的作用。
deep部分为embeding层+三层神经网络(relu),前馈公式
优劣:为推荐/广告/搜索排序算法之后的发展奠定了重要基础,从传统算法跨越到深度学习算法,里程碑意义。兼顾记忆和泛化能力但是Wide侧仍需要手工组合特征。
参考论文:Wide & Deep Learning for Recommender Systems
2.5 重排
定义:对精排后的结果顺序进行微调,一方面实现全局最优、一方面满足业务诉求提升用户体验。比如打散策略,强插策略,提高曝光,敏感过滤
目的:在推荐结果准确性的同时保证推荐结果的多样性,为了平衡推荐结果的多样性和相关性
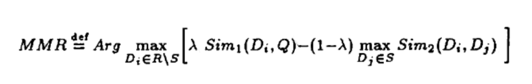
D:商品集合,Q:用户,S:已被选中的商品集合, R\S:R中未被选中的商品集合
def MMR(itemScoreDict, similarityMatrix, lambdaConstant=0.5, topN=20): s, r = [], list(itemScoreDict.keys()) while len(r) > 0: score = 0 selectOne = None for i in r: firstPart = itemScoreDict[i] secondPart = 0 for j in s: sim2 = similarityMatrix[i][j] if sim2 > second_part: secondPart = sim2 equationScore = lambdaConstant * (firstPart - (1 - lambdaConstant) * secondPart) if equationScore > score: score = equationScore selectOne = i if selectOne == None: selectOne = i r.remove(selectOne) s.append(selectOne) return (s, s[:topN])[topN > len(s)]
意义是选择一个与用户最相关的同时跟已选择物品最不相关的物品。时间复杂度O(n2) 可以通过限制选择的个数进行降低时间复杂度
工程实现:需要用户和物品的相关性和物品之间的相似性作为输入,用户和物品的相关性可以用排序模型的结果作为代替,物品之间的相似性可以通过协同过滤等算法得到商品向量,计算余弦距离。也可以简单得是否同一三级类目、同一店铺等表征。
就简单唠叨这么多啦,主要想让大家了解一下推荐系统,向大家介绍一下整个推荐架构,以及整个推荐都有哪些模块。由于本人水平有限,每个模块也没有讲得特别细,希望之后能在工作中继续学习这个领域,深挖细节,产出更好的东西呈现给大家。