
摘要:碳强度指标是国际航运温室气体减排进程中的核心问题。结合最新的国际航运碳强度规则,介绍两类碳强度指标,阐述船舶CO2排放量和运输工作量的各种计算方法,重点探讨不同碳强度指标的计算问题以及各种指标的应用场景和利弊。最后对未来的研究重点与发展方向进行展望,供业界参考。
关键词:国际航运;温室气体;CO2;碳强度;指标
一、国际航运温室气体减排进程
1997年,《联合国气候变化框架公约》( United Nations Framework Convention on Climate Change,UNFCCC ) 下的《京都议定书》第2.2条授权国际海事组织 ( International Maritime Organization,IMO ) 负责国际航运温室气体 ( Greenhouse Gas,GHG ) 减排工作。在《京都议定书》获得通过的两个多月前召开的《防止船舶造成污染国际公约》( International Convention for the Prevention of Pollution from Ships,MARPOL公约 ) 缔约国大会和海上环境保护委员会 ( Marine Environment Protection Committee,MEPC ) 第40届会议上,IMO正式开启关于国际航运GHG的讨论。2015年《巴黎协定》的条款或实施该协定的决定 ( 包括2020年之前的目标 ) 均未提及 IMO。《巴黎协定》虽然没有体现国际航运GHG减排,但是MEPC 69 ( 2016年4月 ) 对《巴黎协定》表示欢迎,并承认国际社会在缔结该协定方面取得的重大成就。IMO的后续行动遵循着《巴黎协定》的总体目标和基本原则。目前,UNFCCC下关于国际航运GHG的谈判分歧严重,处于胶着状态,没有定论。
IMO秘书处与UNFCCC秘书处积极开展合作。国际航运GHG相关事宜由IMO的附属机构MEPC负责审议。目前IMO主要通过技术和营运措施来推进GHG减排,市场机制措施由搁置状态进入加速讨论阶段。IMO第四次GHG研究表明,单位船舶作业活动的CO2排放量明显降低,但国际航运CO2排放总量占全球排放总量的比例从2012年的2.76%上升至2018年的2.89%。相较于公路和航空运输,虽然航运的能效水平是最高的,但随着航运需求的逐年增加,航运业CO2排放总量在不断增长。因此,IMO必将采取进一步加强措施来实现GHG减排目标。事实上,航运业2020年后的GHG减排进程不断在加速。国际航运GHG减排进程大致经历了酝酿启动期 ( 1997—2008年 )、技术措施审议制定期 ( 2008—2015年 )、营运措施审议制定期 ( 2015—2021年 ),其中,2012—2013年市场措施审议期间没有作出任何决议,市场措施处于暂时搁置状态[1-8]。在国际航运GHG减排进程中,碳强度指标的计算是核心问题,因此,本文结合国际海事组织最新的减排规则,阐述船舶CO2排放量和运输工作量的各种计算方法,重点探讨不同碳强度指标的计算问题以及各种指标的应用场景和利弊,供行业参考。
二、国际航运碳强度指标
国际航运GHG减排的目标是围绕着排放总量和强度两个量化指标进行设置的。如IMO船舶温室气体减排初步战略提出,GHG排放总量2050年比2008年至少减少50%,国际航运碳强度 ( 航运业平均水平而非单船 ) 2030年比2008年至少降低40%,力争2050年降低70%。国际航运CO2排放总量可以通过自上而下的燃料法或自下而上的动力法来确定;而对于国际航运碳强度 ( carbon intensity ),由于采用不同的运输工作量计算方法和数据收集机制的限制,以及适用对象 ( 新船和现有船 ) 的不同,碳强度有多种表现形式,即碳强度有多种指标。
针对从事运输作业的所有船舶,建立通用的、公认的、透明的、自愿或强制使用的船舶碳强度指标,有助于船东、船舶经营者和相关方评估其船队在CO2排放性能 ( 能效性能 ) 方面的表现,有助于使用者建立机制以实现限制或减少营运船舶GHG排放,促进实现低碳甚至零碳排放,限制航运业对全球气候变化的影响。
船舶碳强度,也就是船舶CO2排放指数 ( 这里的“指数”是指任何两个数值对比所形成的相对数 ),即表明船舶单位运输工作量的CO2排放量,其将船舶CO2排放量与运输工作量联系起来。用船舶碳强度来等价表述船舶CO2排放指数,更为简洁和形象。由于目前船舶消耗的能源基本是含碳燃料,非含碳燃料基本为零,船舶CO2排放量与船舶燃料消耗量直接相关,船舶碳强度亦可提供船舶关于燃油效率方面的信息,因此船舶碳强度指标也是应用于特定船舶类型以表征船舶能效性能的指标,又可称船舶碳强度指标为船舶能效指标。船舶碳强度数值越低,则表示船舶能效水平越高。总的来说,船舶碳强度是一个抽象的、笼统的、宽泛的、指示性的概念,有多种具体表现形式,也就有了多种碳强度指标。船舶碳强度可以用式 ( 1 ) 来表示:

其中:I 为船舶碳强度;MCO2为一段时间内船舶CO2排放量,t;Wtransport为船舶运输工作量。
船舶碳强度指标 ( Carbon Intensity Indicator,CII ) 可分为营运类和技术类两种。船舶营运碳强度指标有船舶能效营运指数 ( Energy Efficiency Operational Indicator,EEOI )、船舶营运能效性能指数 ( Energy Efficiency Performance Indicator,EEPI )、年度营运能效指数 ( Annual Efficiency Ratio,AER ) 等。船舶营运类碳强度指标是根据船舶在一段时间内的实际营运数据计算得到的,会随着船舶的营运状况而波动,具有一定的偶然性,可通过人为调控船舶营运状况来控制,可操作性很大。船舶技术碳强度指标有新造船能效设计指数 ( Energy Efficiency Design Index,EEDI )、现有船能效指数 ( Energy Efficiency Existing Ship Index,EEXI )、现有船舶设计指数 ( Existing Vessel Design Index,EVDI ) 等,是船舶在理论设计情况下的碳强度指标,表示船舶固有的设计能效特性,可视为常数,是恒定不变的 ( 除非船舶经过重大改建 )。
MARPOL附则Ⅵ第22、23、24、25条对技术碳强度作了具体要求,第26、27、28对营运碳强度作了具体要求。国际航运碳强度规则下的营运类和技术类碳强度指标对比见表1。目前围绕营运类和技术类碳强度指标所做的短期措施 ( 如限制主机功率、限制航速等 ) 对GHG减排来说是治标不治本的,只有采用燃烧不产生GHG的燃料,才能从根本上实现IMO关于GHG减排初步战略的愿景,即在2100年前逐步停止GHG排放。
表1 国际航运碳强度规则下的营运类和技术类碳强度指标对比

三、船舶CO2排放量的计算
计算船舶CO2排放量的方法有燃料法和动力法两种。
( 一 ) 燃料法计算船舶CO2排放量
用燃料法计算船舶CO2排放量,就是根据船舶在一定时间内各种燃料的消耗量,计算出船舶CO2排放量,其核心是计算各种燃料消耗量和选择各种燃料对应的碳转换系数。一定时间内,燃料法计算的船舶CO2排放量等于船舶各种燃料消耗量与燃料对应的碳转换系数的乘积的总和。目前营运类和技术类碳强度指标皆采用燃料法来计算船舶CO2排放量,只是获取燃料消耗量的方式有所不同,区别在于营运类碳强度指标根据船舶报告的燃料消耗量直接计算CO2排放量,技术类碳强度指标则根据动力装置功率和燃油消耗率,间接计算出燃料消耗量,从而计算CO2排放量。
1.燃料法计算营运类碳强度指标的船舶CO2排放量
通过收集船舶能耗和营运数据,采用燃料法计算船舶CO2排放量,进而可较为容易地实现营运类碳强度指标的计算。因此,目前营运类碳强度指标采用燃料法来计算船舶CO2排放量,用式 ( 2 ) 表示:

其中:FCj 为一定时间内船舶报告的消耗燃料j 的质量,t;CFj 为燃料j 的碳转换系数,t-CO2/t-Fuel。
2.燃料法计算技术类碳强度指标的船舶CO2排放量
技术类碳强度指标是在设计的理想环境和标准工况下计算得到的。技术类碳强度指标采用燃料法计算船舶CO2排放量,CO2排放量等于各种动力装置的功率、运行时间、燃油消耗率、碳转换系数等各项的乘积的总和,用式 ( 3 ) 表示:

其中:Pi 为动力装置i 的功率,kW;SFCi 为动力装置i 在Pi 状态下的燃油消耗率,g/kWh;hi 为动力装置i 在Pi 状态下的运行时间,h;j 为动力装置i 在Pi 和SFCi 状态下使用的燃料;CFj 为燃料j 的碳转换系数,t-CO2/t-Fuel;Pi ×SFCi ×hi 为动力装置i 在Pi 和SFCi 状态下,在hi 内消耗的燃料j 的质量,t。
技术类碳强度指标是在设计的特定条件 ( 条件恒定 ) 下计算得到的,Pi、SFCi 都是限定在理想环境和标准工况下的,这些参数视为定值,同时燃料j 为NOx 技术案卷中包括的适用试验报告中所列的SFCi 时所使用的燃料,因此采用燃料法可以较为容易地计算技术类碳强度指标中的CO2排放量。对于NOx 技术案卷中未包含试验报告且制造商未规定SFC 或验证者未确认SFC 的发动机,SFCME ( 主机的燃油消耗率 ) 的默认值为190 g/kWh,SFCAE ( 副机的燃油消耗率 ) 的默认值为215 g/kWh。
3.燃料消耗量的其他计算方式
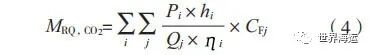
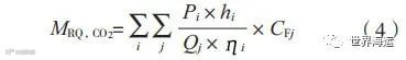
燃料消耗量的获取除了可以通过直接报告和利用动力装置功率、燃油消耗率计算得到外,还可以采用热值效率计算方法[9],用式 ( 4 ) 表示:

其中:Pi 为动力装置i 的功率,kW;ηi 为动力装置i 的效率;hi 为动力装置i 在Pi 状态下的运行时间,h;j 为动力装置i 在Pi 使用的燃料;CFj 为燃料j 的碳转换系数,t-CO2 /t-Fuel;Qj 为燃料j 的热值,kJ/kg。
热值效率计算方法与技术类碳强度指标中的CO2排放量计算方法本质上是一样的。因为1/(Qj ×ηi ) 转换过来就是动力装置的燃油消耗率。
4.碳转换系数
利用燃料中碳的质量分数 ( 碳当量 ) 以及CO2分子中碳和氧的质量比,可以计算得到燃料的碳转换系数。船舶在世界各地所加装的燃料的碳含量不尽相同,因此,碳转换系数最好由燃料供应商提供以更加精确。目前船舶使用的燃料等级已经标准化,各种燃料的碳转换系数也就相对固定。船舶常用的燃料类型及对应的碳转换系数见表2。
表2 碳转换系数CF

5.燃料法的优劣
用燃料法计算船舶CO2排放量的优势是相关数据较容易获得,计算方法简单。缺陷是:燃料中的所有碳不是都充分燃烧转换成CO2的,也可转换成CO、黑炭等其他含碳物质;有些燃料没有被燃烧而从发动机中逃逸出来,形成油泥、油渣或其他物质,这部分燃料在统计时也有被扣除,但不能被完全统计。燃料法计算的CO2排放量往往会偏大。因此,采用燃料法所计算的碳强度指标有一定的误差,而且燃料法不能实时反映船舶碳排放的空间分布特征和时间变化特征。这些缺陷值得后续深入研究,以便改进营运类碳强度指标。
( 二 ) 动力法计算船舶CO2排放量
用动力法计算船舶CO2排放量,就是根据船舶在一定时间内各种动力装置的实时功率和CO2排放因子,计算出船舶CO2排放量,其核心是获取各种动力装置的功率、对应功率下的CO2排放因子。动力法计算船舶CO2排放量可用式 ( 5 ) 表示:

其中:Pi 为动力装置i 的功率,kW;hi 为动力装置i 在Pi 状态下的运行时间,h;j 为动力装置i 在Pi 状态下使用的燃料;RFj 为动力装置i 在Pi 状态下的CO2排放因子,t/kWh。
动力法的核心是获取船舶的运行状态。利用船舶自动识别系统 ( Automatic Identification System,AIS ),采集船舶实时航行数据,如航速、吃水、航行时间、地理位置 ( 经纬度 ) 等,获取船舶实时的运行状态,结合船舶静态信息,确定船舶主机、副机和锅炉等动力装置的负荷 ( 功率 ) 和工况条件,同时利用测量得到的CO2排放因子数据库,计算出船舶CO2排放量,这样可以更好地表征船舶碳排放的空间分布特征和时间变化特征。[10]如果可以实时监测到主机转速,则对确定主机功率更为有利,因为主机功率与转速的三次方成正比 ( 在不考虑海况影响的条件下 )。如果用航速间接确定主机功率,虽然航速等于螺旋桨螺距与转速的乘积,但影响因素增多,会造成误差变大。根据船舶所处的经纬度,结合划定的船舶排放控制区和船舶距离海岸线的距离,可以大致判断出船舶所用的油品,从而选择合适的CO2排放因子。
船舶在营运过程中各动力装置的工况复杂多变,这极大增加了用动力法计算船舶CO2排放量的难度,同时计算所需的AIS数据量巨大,这样造成计算工作量也是巨大的。如要更为精确计算,所需信息的获取难度更大,如船舶主机转速、消耗的燃油品种等,这些都是船舶私密信息且较难实时获得,而且船舶CO2排放因子的准确度也较难把握。因此,营运类碳强度指标没有采用动力法计算船舶CO2排放量。而技术类碳强度指标是在设计的理想环境和标准工况下计算得到的,这也决定了采用动力法计算船舶CO2排放量对技术类碳强度指标不适用。综上,目前动力法在计算碳强度指标时没有被采用。
四、船舶运输工作量的计算
对于船舶碳强度指标,船舶CO2排放量可通过一定的方法来唯一确定,而船舶运输工作量因基于需求的载运量和基于供给的载运量的不同,以及船型、所载货物、运输距离的不同而含义多样,这就导致有多种碳强度指标,如EEOI、EEPI、AER、EEDI等,因此船舶运输工作量的单位决定了碳强度指标的单位。一般地,船舶运输工作量为运输货物质量 ( 或所作的功 ) 与运输距离的乘积,用式 ( 6 ) 表示:

其中:mcargo为船舶运输货物质量 ( 或所作的功 ),t;D 为船舶运输距离,n mile。
船舶运输货物质量 ( 或所作的功 ) 表述如下:①对于散货船、气体运输船、液货船、集装箱船、杂货船、冷藏船、兼用船和滚装货船,为货物总质量,单位为t;②对于滚装货船 ( 车辆运输船 )、滚装客船和豪华邮轮,可为总吨 ( GT );③对于集装箱船,也可为集装箱标准箱数量,单位为TEU;④对于混装集装箱及其他货物的船舶,为集装箱质量与其他货物质量的总和,单位为t;⑤在无法获得箱货实际质量的情况下,一个重载标准箱可按10 t折算,一个空载标准箱可按2 t折算;⑥对于客船 ( 包括滚装客船 ),为乘客数量,单位为人;⑦对于车辆运输船,可为车辆数量或占用的车道长度,单位为辆或m;⑧对于豪华邮轮,为下铺数量,单位为个。船舶运输距离可以为实际载货航行距离 ( 重载航程 ) 或总的航行距离 ( 重载航程加上压载航程 ),单位为n mile ( 海里 )。[11]
对船舶运输货物质量 ( 或所作的功 ) 和船舶运输距离的定义不同,也就有了船舶运输工作量的不同计算方法和表现形式,总体上可分为基于需求的和基于供给的两大类船舶运输工作量计算方法。
( 一 ) 基于需求的船舶运输工作量的计算
所谓基于需求的船舶运输工作量,是指以航运市场实际需求的船舶运输货物质量 ( 或所作的功 ) 来计算船舶运输工作量。航运市场实际需求的船舶运输货物质量 ( 或所作的功 ) 就是船舶在营运中实际的载货量 ( 或所作的功 )。基于需求的船舶运输工作量用式 ( 7 ) 表示:

其中:mDemand为船舶在营运中实际的载货量 ( 或所作的功 ),t;D 为船舶运输距离,n mile。
( 二 ) 基于供给的船舶运输工作量的计算
所谓基于供给的船舶运输工作量,是指以船舶能为航运市场供给的运输货物质量 ( 或所作的功 ) 来计算船舶运输工作量。船舶能为航运市场供给的运输货物质量 ( 或所作的功 ) 就是船舶的装载能力 ( 载重吨或总吨 )。基于供给的船舶运输工作量用式 ( 8 ) 表示:

其中:mSupply为船舶的装载能力 ( 载重吨或总吨 ),t;D为船舶运输距离,n mile。
五、碳强度指标的计算
( 一 ) 营运类碳强度指标的计算
1.EEOI
根据MEPC.1/Circ.684《船舶能效营运指数 ( EEOI ) 自愿使用导则》,计算周期内营运船舶滚动平均EEOI用式 ( 9 ) 表示:

其中:i 为计算周期内的航次号;j 为燃料种类;FCij为在航次i 消耗燃料j 的质量,t;CFj 为燃料j 的碳转换系数,t-CO2/t-Fuel;mcargo为所载货物质量 ( t ) 或所作的功;Dladen,i 为在航次i 与mcargo相对应的航行距离,即载货航行距离,n mile。
EEOI的单位取决于所载货物或所作的功的测量,可以为t/( t·n mile )、t/( TEU· n mile )、t/( 人·n mile )、t/( GT·n mile ) 等。对于所载货物质量或所作的功为零的航次,仍需要将该航次中使用的燃料计入式 ( 9 )。因此,船舶装载率会对EEOI有很大影响。EEOI是IMO确定的获得营运船舶、船队能效水平的定量测量工具。
EEOI是一种基于需求的船舶运输工作量来计算的营运碳强度指标,能够客观、准确地反映船舶实际的碳强度 ( 能效水平 )。因此,EEOI是最符合IMO船舶温室气体减排初步战略中碳强度定义的,可以其作为市场措施的支持指标。但是计算EEOI需要收集船舶载货量等商业敏感信息,同时增加了船员工作负担,且EEOI直接反映船舶经营水平和船型特征[12],以其代表营运碳强度会带来很大争议,因此没有被作为强制指标使用。目前欧盟《海运CO2排放的测量、报告和核实规则》和中华人民共和国海事局《船舶能耗数据收集管理办法》涵盖了计算EEOI所需的营运数据。随着IMO GHG减排力度的加强和数据收集机制的完善,相信IMO用EEOI代表营运碳强度将会实现。
2.cDIST
IMO各成员国提出各种EEOI替代指标,其中cDIST是基于供给的船舶运输工作量 ( 船舶装载能力和总航行距离的乘积 ) 来计算的营运碳强度指标,“c ”代表船舶装载能力,“DIST”代表总航行距离。计算周期内营运船舶滚动平均cDIST用式 ( 10 ) 表示:

其中:i 为计算周期内的航次号;j 为燃料种类;FCij为营运船舶在航次i 消耗燃料j 的质量,t;CFj 为燃料j 的碳转换系数,t-CO2/t-Fuel;Mcapacity为船舶载重吨或总吨,t;Di 为航次i 航行距离,n mile。
当船舶装载能力用载重吨 ( DWT ) 表示时,cDIST可表示成cwDIST ( 适用于散货船、气体运输船、液货船、集装箱船、杂货船、冷藏货船、兼用船、LNG运输船和滚装货船 ),单位为t/( t·n mile )。若计算周期为日历年,cwDIST就变成了AER。当船舶装载能力用总吨 ( GT ) 表示时,cDIST可表示成cgDIST ( 适用于滚装货船 ( 车辆运输船 )、滚装客船和豪华邮轮 ),单位为t/( GT·n mile )。当船舶装载能力用标准箱 ( TEU ) 总量表示时,cDIST可表示成ctDIST ( 适用于集装箱船 ),单位为t/( TEU·n mile )。当船舶装载能力用车道长度 ( Lanemeter ) 表示时,cDIST可表示成clDIST ( 适用于滚装船 ),单位为t/( m·n mile )。当船舶装载能力用车道长度 ( Lanemeter ) 表示时,cDIST可表示成clDIST ( 适用于滚装船 ),单位为t/( m·n mile )。当船舶装载能力用可用下铺数量 ( available lower berths ) 表示时,cDIST可表示成cbDIST ( 适用于邮轮 ),单位为t/( 个·n mile )。
cDIST这一系列的营运碳强度指标不依赖实际货运数据,商业敏感性较弱,计算较EEOI简单,实用性更强。在IMO数据收集机制下,很容易计算得到AER和cgDIST。因此,IMO选定AER和cgDIST作为强制的营运碳强度指标,并对其进行评级。AER和cgDIST的最大弊端在于其有利于空载营运船舶获得较好的碳强度评级,对载货率高、重载航行距离长的营运船舶很不利,甚至给这些船舶带来惩罚性评级结果。因此,需要对AER和cgDIST造成的评级偏差进行校正,这方面值得深入研究。
3.EEPI
EEPI是张爽提出的营运碳强度指标[8],并被IMO推荐为自愿指标以供船舶试用。计算周期内营运船舶滚动平均EEPI用式 ( 11 ) 表示:

其中:i 为计算周期内的航次号;j 为燃料种类;FCij 为营运船舶在航次i 消耗燃料j 的质量,t;CFj 为燃料j 的碳转换系数,t-CO2/t-Fuel;Mcapacity为船舶载重吨 或总吨,t;Dladen,i 为航次i 载货航行距离,n mile。
EEPI的单位为t/( t·n mile ) 或t/( GT·n mile ),是基于供给的船舶运输工作量 ( 船舶装载能力和载货航行距离的乘积 ) 来计算的碳强度指标。EEPI是介于EEOI和cDIST之间的折中融合方案,作为EEOI的替代,其摆脱商业敏感数据,是EEOI的近似值,是对cDIST的修正。EEPI面临的难点在于如何准确界定船舶的装载状态,避免人为刻意增加船舶载货航行距离。
( 二 ) 技术类碳强度指标的计算
EEDI与EEXI的计算和验证的框架基本相同,只是在计算系数获取和验证上略有不同[13],可以看作是EEXI将EEDI由新造船扩展到现有船,EEDI、EEXI也将会走向高度的融合[14]。EEDI与EEXI的计算分别详见MEPC.308 ( 73 )《2018年新船达到的能效设计指数 ( EEDI ) 计算方法导则》和MEPC.333 ( 76 )《2021年达到的现有船能效指数 ( EEXI ) 计算方法导则》。EEDI、EEXI的计算思路是式 ( 3 ) 除以式 ( 8 ),在式 ( 8 ) 中,船舶运输距离由航速乘以运行时间得到,这样分子和分母中的运行时间就可以约掉,在理想环境和标准工况下,便可计算得到EEDI和EEXI。EEDI、EEXI的单位为t/( t·n mile ) 或t/( GT·n mile ),是基于供给的船舶运输工作量来计算的技术碳强度指标。EEDI、EEXI反映的是船舶在代表性的特定工况点下的碳强度水平,不能全面反映船舶在其他工况和海况环境下的碳强度水平,更不能决定船舶在实际营运中的碳强度性能,但其作为碳强度监测工具,便于不同船舶统一执行,可操作性强,有一定合理性。
EVDI是澳大利亚第三方船舶检验与评估机构RightShip给船舶GHG评级使用的碳强度指标,没有要求值,不属于IMO碳强度规则下的碳强度指标,其计算方法与EEDI、EEXI基本相同,不同的是EVDI对主机最小功率有限制。RightShip对EVDI有一套主机功率限制 ( Engine Power Limit,EPL ) 验收标准,避免船东和船公司为达到符合要求的EEXI而完全依赖EPL,从而推动低碳、零碳技术的创新和应用[15]。
六、研究展望
( 一 ) 基于航运大数据的碳强度指标对比研究
IMO的船舶油耗数据收集机制已于2019年1月1日开始实施,新造船的EEDI数据收集机制也即将启动,随着EEXI规则的强制实施,相信也会收集现有船的EEXI数据。我国的船舶能耗数据收集机制已于2019年1月1日开始实施。[11]下一步,建议IMO与政府主管部门基于收集到的航运大数据 ( 如船舶运输工作量数据、油耗数据、AIS数据、设计能效数据、航线气象数据等 ),对比分析营运碳强度 ( AER、EEOI等 ) 和技术碳强度 ( EEDI、EEXI ) 各指标之间的关联性,用数据说明分别使用AER、EEOI作为营运碳强度评级指标的评级结果的偏差。船舶航运大数据分析与应用将是未来的研究重点,可参照IMO船舶GHG减排成熟做法,利用船舶航运大数据制定适合我国国情的船舶GHG减排政策。
( 二 ) 碳强度评级机制的改进
IMO目前的营运碳强度评级机制有一定的缺陷,会对本身能效水平好而载货率高、重载航行距离长的营运船舶的评级造成误判。此外,由于船舶营运碳强度指标值具有一定的偶然性和随机性,且易被人为操控,会造成船舶每年的营运碳强度评级波动,不利于激发投资使用低碳、零碳技术提升船舶EEDI、EEXI的船东的积极性。因此,随着EEDI、EEXI数据收集机制的启动,建议使用一种营运碳强度和技术碳强度相结合的综合评级机制,赋予营运和技术指标合理的权重,促进船舶在低碳、零碳技术方面进行创新和应用。同时,减碳与减少污染物排放、压载水排放等生态环保有着直接的关系,如何建立科学的船舶碳强度综合评级机制以及发展船舶综合节能减排技术是今后的研究重点。
( 三 ) 研制船舶智能能效管理系统
目前有关船舶能耗方面的数据是由船方收集填报,然后由主管机关审核的。在数据收集、审核的过程中无法避免人为因素的影响,这样会造成一定程度的数据失真。因此,建议研制船舶智能能效管理系统,实现对各项能耗数据进行在线实时监测、上报,并智能控制船舶航行与燃料消耗,可在减轻船员与船公司管理负担的同时,使收集到的数据更加精准,以制定出符合实际的GHG减排政策和措施,同时,也可提升船舶能效管理水平,最终实现智能船舶的应用。
( 四 ) 基于碳强度指标建立船舶GHG减排市场机制
建立合理的市场机制是船舶GHG减排的重要发展方向。市场机制有碳交易、碳税、碳强度评级等手段。在碳交易方面,基于航运业年度CO2排放总量控制和减排目标,选择合适的碳强度指标 ( 如EEOI ),根据航运企业每年预估的运输工作量,核算航运企业的年度CO2排放量额度,进而对航运企业授予或出售碳配额。在碳税方面,可基于减排目标设置船舶碳强度指标 ( 如EEOI ) 碳税基线,船舶碳强度指标高于基线的收取燃油碳税,否则不收取。在碳强度评级方面,对于评级好的船舶,相关方给予船舶适当的激励 ( 如税费减免等 );对评级差的船舶,相关方可采取惩罚性措施。通过市场机制获取的资金可投入到船舶清洁能源技术的研究、应用中或其他方面。不考虑其他因素,仅从技术角度,基于碳强度统计方法与低碳、零碳能源应用,航运业GHG减排市场机制的措施值得深入探讨。
参考文献:
[1] IMO.Cutting GHG emission from shipping-10 years of mandatory rules[EB/OL].[2021-08-19]. https://www.imo.org/en/MediaCentre/HotTopics/Pages/Cutting-GHG-emissions.aspx.
[2] IMO.IMO and the UNFCCC policy framework[EB/OL].[2021-08-19]. https://www.imo.org/en/OurWork/Environment/Pages/Historic%20Background%20GHG.aspx.
[3] 王思佳.国际海运减排“碳”路前行[EB/OL].(2021-03-24)[2021-08-19]. https://mp.weixin.qq.com/s/ybLK5CRxRBM4kZ19lqy4VQ.
[4] 中国船级社.IMO会议快报[EB/OL].[2021-08-19]. https://www.ccs.org.cn/ccswz/IMOMeeting?columnid=201900002000000610.
[5] 史伟伟.中国航运业碳减排行动[J].中国船检,2018(7):54-57.
[6] 海运温室气体减排大事记[J].中国远洋航务,2016(1):32-33.
[7] 张爽,韩佳霖.国际海运船舶能效和温室气体减排国际立法进程综述[J].世界海运,2016(6):1-5.
[8] 张爽.国际海运船舶营运能效评价方法研究[D].大连:大连海事大学,2020.
[9] 朱建元.船舶柴油机[M].北京:人民交通出版社,2008.
[10] 朱倩茹,廖程浩,王龙,等.基于AIS数据的精细化船舶排放清单方法[J].中国环境科学,2017(12):4493-4500.
[11] 中华人民共和国海事局.船舶能耗数据收集管理办法[EB/OL].(2018-11-08)[2021-08-30]. https://www.msa.gov.cn/page/article.do?articleId=068FE1EA-7D68-41F5-9907-2AA010F08319.
[12] 石珣.特别关注IEEXI、EEDI、EEOI、CII、AER,这篇统统讲清楚了[EB/OL].(2020-03-15)[2021-08-27]. https://mp.weixin.qq.com/s/nz_czowB1K0LFStgzBn_yQ.
[13] 中国船级社.IMO船舶温室气体减排第8次会间工作组会议简报[EB/OL].(2020-05-31)[2021-08-27]. https://mp.weixin.qq.com/s/GUjWZCrk3P4RGgeVdTztRg.
[14]石珣.EEXI与EEDI的协同与差异[EB/OL].(2020-07-28)[2021-08-27]. https://mp.weixin.qq.com/s/GUjWZCrk3P4RGgeVdTztRg.
[15] 叶伟东.Gard、必和必拓、RightShip关于航运脱碳趋势下的技术、法律和商业问题分析[EB/OL].(2020-08-28)[2021-08-29]. https://mp.weixin.qq.com/s/6naWNaTkL74_G94VIWitYQ.
作者简介:
薛树业,上海海事大学商船学院,上海海事大学船舶能效数据中心,工程师。
*上海市科技计划“上海船舶智能运维与能效监控工程技术研究中心”项目资助,项目编号:20DZ2252300。
本文刊发于《世界海运》2022年第3期,转发须注明作者和原文出处。
编辑部地址:大连市凌海路1号 大连海事大学文源楼515室 ( 116026 )
E-mail:worldshipping@dlmu.edu.cn
投稿网址:hyzz.cbpt.cnki.net
电话:( 0411 ) 84729602
传真:( 0411 ) 84729692

