随着国际局势的风云变幻和疫情影响的不断加剧,行业内航班停飞熔断的消息不绝于耳,那么过去一年,航空货运业究竟收入几何?是赚钱还是亏钱呢?
数据从不说谎,但一些数据可能会让你感到惊讶!
2021年航空货运收入高达1.4万亿!
根据国际航空运输协会世界航空运输统计(WATS)的数据显示:航空货运收入为2040亿美元(约合人民币1.46万亿元),远高于2020年的1.358亿美元。
该行业协会表示,2021年的航空定期货运量(CTK)同比增长18.7%,相比2020年10.6%的降幅有了显著改善。与2019年相比,这一数字也增长了6.9%。并且,据国际航协预测,2022年货运收入将达到1910亿美元,比2021年的2040亿美元略有下降,但几乎是2019年1000亿美元的两倍。
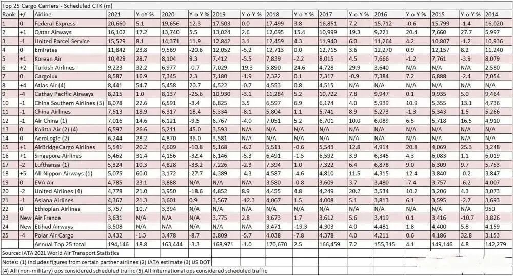
尽管过去一年一直都受到运力有限、工作人员短缺、与疫情有关的拥堵的不利影响,整个供应链面临诸多限制,但前25家货运航空公司去年成功地满足了全球航空货运的需求,货运量同比增长了18.8%。
▲航空货运公司TOP 25
独占鳌头——联邦快递(FedEx)公司
Top 25之中,联邦快递(FedEx)、卡塔尔航空、联合包裹(UPS)三家航司仍然稳居所有货运航空公司的前三甲。
其中,联邦快递(FedEx)在2021年保持住了其头号货运航空公司的地位,关于联邦快递公司的具体信息,可以在17订舱平台上,使用航司查询工具,就可以看到联邦快递的航司信息,包括航线、航点、以及拥有机型等各类信息。

▲17订舱官网-空运工具·航司查询
根据表格,可以看到这家美国快递巨头的销售额同比增长了5.1%,达到207亿CTK。但如果与2020年相比,我们会发现销售额的增长势头仍然有所减弱,2019年同比增长12.3%。
▲17订舱官网-空运工具·航司查询
联邦快递向来看重提升自身运力的现代化和规模化。在其年度报告中,截至2021年5月31日,该机队包括684架自有和租赁飞机,其中包括47架拥有和租赁的波音B777F飞机,高于2020年的43架,以及102架拥有B767F飞机,高于2020年的86架。
并且在这之后,联邦快递还将购买额外的20架B767F,在2024和2025财年交付,而从2022-2026财年,它承诺购买50架塞斯纳SkyCourier 408, 28架ATR 72- 600F, 46架B767F和11架B777F。
联邦快递董事长兼首席执行官弗雷德·史密斯表示,公司2021年年报呈现出的完美数据和公司的快速发展,很大程度上受益于跨境电商、新冠疫苗、个人防护装备和相关用品的强劲需求,同时也离不开国际出口和美国国内包装量的增长。
后疫情时代,机遇与隐忧共存
随着疫情的起起伏伏,全球经济目前也处于陆陆续续地开放之中,一些航空业的旅行限制也在逐步放松,但航空公司的客运方面仍然只是在试探性地扩大业务,货运航班可能仍会继续成为航空公司的重要收入来源。
国际航空运输协会在今年6月份发布的年度预测中曾表示:在高运费的背景下,航空货运在2021年贡献了航空公司总收入的40%。
国际航空运输协会总干事威利·沃尔什也认为,航空货运在2021年是星光璀璨的一年。对许多航空公司来说,由于旅行限制,乘客需求仍然低迷,而货运则提供了一个重要的收入来源。”
区域表现方面,国际航空运输协会2022年1月分享的数据中,除拉丁美洲外,所有地区的航空公司在2021年的货运需求均较2019年的水平有所增长。
但他同时也指出,由于劳动力短缺的压力和整个物流系统的限制,增长机会失去了。正如国际航空运输协会在其年度报告中指出的那样,随着时间的推移,北美、中东、亚太和欧洲的客运量失去了动力,部分原因是“通胀加剧及相关供应问题、库存补充周期结束,以及需求从商品转向服务”。
作为全球领先的国际货运智能化数字服务平台,17订舱既是航空货运业的参与者也是服务者,始终关心着全球航空运输行业的发展,并围绕 “ 全、平、快、准 ”四字服务原则,致力于打造一个平价·生态·共赢的新局面。
平台由空运行业资深团队及百度、宝洁、甲骨文、联想等五百强高管共同创立,严选100余家优质一代的优势航线,采取平价托管销售模式为广大同行客户提供服务托管,支持全网运价及运单查询、配套一对一专属客服标准化服务。
无论如何,2021年的航空货运业已经交上了一份完美答卷,未来情况如何,17订舱将与你一起努力,一起期待!


