引 言
超导量子比特是实现大规模量子计算的关键平台之一,但其性能受到材料损耗和退相干效应的限制。近年来,通过材料优化,如使用钽(Ta)作为超导层和蓝宝石作为衬底,Transmon量子比特的相干时间已显著提升。然而,损耗仍主要来源于表面与衬底中的二能级系统(TLS)。近日,普林斯顿大学提出将衬底替换为高电阻率硅,显著降低了衬底体介电损耗,从而实现了平均品质因子达9.7×106的45个量子比特,最优器件的寿命T1达1.68毫秒,最高品质因子为2.5×107。此外,通过优化约瑟夫森结的制备工艺,作者进一步提升了相干时间T2E,并实现了单量子比特门保真度达99.994%。该研究展示了钽-硅材料平台在不改变原有量子比特架构的前提下,具备实现毫秒级相干时间的潜力,此项研究于2025年11月发表于《Nature》,为大尺度量子处理器的发展提供了可行路径。
★ 第一章 ★
高品质“钽-硅”材料与毫秒级寿命量子比特
超导量子比特的性能高度依赖于材料的质量和界面结构。研究系统地展示了“钽-硅”平台的卓越材料特性与器件性能。首先通过高精度的电子显微镜和X射线衍射,证实了在硅片上生长出纯净的α相钽薄膜,界面清晰,无异相杂质。随后展示了一个标准的二维Transmon量子比特。最终的性能测试结果令人振奋:最优器件的能量弛豫时间(T1)最长达1.68毫秒,并且在88小时的连续测试中保持稳定。这证明“钽-硅”平台不仅能创造纪录性的峰值性能,更具备出色的鲁棒性和可重复性。
a, 钽薄膜在硅衬底上的横截面STEM图像与晶体结构。b, 薄膜的HAADF-STEM图像与EDS元素分布图。c, α-钽薄膜的X射线衍射图谱。d, Transmon量子比特的光学图像。e, 显示最大寿命的量子比特布居数衰减曲线。f, 一个量子比特在88小时内的寿命波动情况。
★ 第二章 ★
损耗溯源:为何硅衬底更优?
量子比特的损耗主要来源于表面和衬底中的二能级系统。要进一步提升相干时间,必须精准定位损耗的来源。
本研究通过测量一系列不同尺寸的谐振器,巧妙地分辨了表面与衬底对损耗的贡献。其原理在于器件越大,表面相对影响越小,衬底的影响就越凸显。实验数据清晰地显示,随着表面参与率(SPR)降低(即器件尺寸增大),QTLS持续上升,未出现饱和现象,说明硅衬底的体损耗远低于蓝宝石。是实现毫秒级寿命的基石。同时,实验也发现硅表面自然氧化层的贡献同样很小。
量子比特品质因子与表面参与比的关系,对比了钽-硅与钽-蓝宝石器件的表面和体损耗极限。
★ 第三章 ★
净化核心:超高真空制备的约瑟夫森结
量子比特的“量子记忆”时间对其执行计算能力至关重要,而它极易受到核心部件——约瑟夫森结——中噪声的影响。
本研究揭示了结制备环境的决定性作用。通过对比,发现在超高真空(UHV) 中沉积的铝结,其Spin Echo退相干时间(T2E)显著优于在高真空(HV)中制备的结。这表明更洁净的工艺有效抑制了结中的缺陷噪声。更进一步,研究人员通过复杂的动力学解耦序列得到了噪声的频谱,发现噪声主要来源于读取谐振器中残余的热光子。通过增加信号衰减,噪声水平得以降低,为下一步优化指明了方向。
a, 19个量子比特的回波相干时间统计。b, 不同约瑟夫森结制备工艺下的相干时间对比。c, 利用CPMG动态退耦序列测量的相干时间。d, 从CPMG数据中提取的量子比特噪声谱密度。
★ 第四章 ★
从长寿命到实用:高保真度量子门操作
高相干性的量子比特需要匹配高保真度的量子门操作才有意义。门操作的保真度受到退相干和泄漏误差的共同限制。
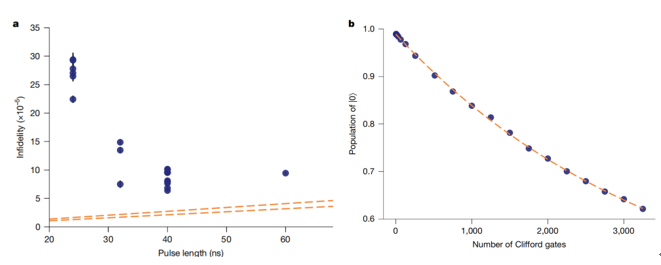
本研究最后展示了在“钽-硅”平台上实现的单量子比特门性能测试。通过变化量子逻辑门的操作速度(π/2脉冲长度),研究人员探寻了退相干误差与泄漏误差之间的最佳平衡点。实验发现,当门时间为40纳秒时,门的错误率最低,达到 (6.4 ± 0.3) × 10-5,即保真度高达99.994%。这一结果是在未进行极端复杂的控制脉冲优化下取得的,已能达到当前Transmon量子比特门的先进水平,彰显了该材料平台本身的高质量为实现高性能量子计算提供的坚实基础。
a, 不同门操作时长对应的平均门错误率。b, 在40纳秒门长下,通过随机基准测试得到的保真度衰减曲线。
★ 终 章 ★
未来展望
该研究展示了钽-硅平台在实现毫秒级相干时间和高保真度量子门方面的巨大潜力。未来可通过优化读取谐振器以抑制光子噪声、进一步纯化硅材料以降低杂质损耗、以及开发无氧化层金属封装技术来消除表面二能级系统。此外,该平台与现有半导体工艺兼容,具备向大尺度集成发展的天然优势。长期来看,这一材料体系不仅将推动量子处理器性能的提升,还可作为研究量子噪声与损耗机制的精密探测工具。
原文链接
Bland, M.P., Bahrami, F., Martinez, J.G.C. et al. Millisecond lifetimes and coherence times in 2D transmon qubits. Nature 647, 343–348 (2025). https://doi.org/10.1038/s41586-025-09687-4
关于“国际量子科技前沿”
“国际量子科技前沿”栏目致力于搭建一座了解全球量子科技发展动态的瞭望塔,推动量子技术的和平利用,促进全球可持续发展目标的实现。在本栏目中,我们聚焦国际最新研究动态,深度剖析前沿技术成果,持续为大家科普更多量子科技基础知识,让复杂的科学原理变得通俗易懂,共同“传播科学声音,讲好量子故事”。
撰稿|高 阳
指导|燕 飞
编辑|陈治光 王海月
长按下方二维码关注我们
欢迎关注北京量子院

