关键词:HipKittens、AMD GPU、AI 内核优化、Tile-based 编程、显式寄存器调度、Chiplet 感知调度
-
HipKittens: Fast and Furious AMD Kernel -
https://arxiv.org/pdf/2511.08083 -
https://github.com/HazyResearch/HipKittens -
1.3 万字,阅读需 40 分钟,播客 19 分钟
-
MLIR-AIR:AMD 基于空间分区与显式同步原语的开源编译器栈,融合通信-计算重叠,实现矩阵乘法 78.7%计算效率 -
NPUEval:评估AMD硬件LLM向量化NPU Kernel——102个机器学习算子、编译器反馈与 50%+向量化峰值效率 -
一次编译,多平台运行!GPU 二进制文件兼容性在NVIDIA、AMD、Intel 和 Tenstorrent上的探索!
本文聚焦 AMD GPU 的高性能 AI 内核开发难题,针对 AMD 峰值性能内核依赖手工汇编、现有编程框架仅适配 NVIDIA 的痛点,提出了HipKittens(HK) 嵌入式 C++编程框架。
研究首次验证了基于 tile 的编程抽象可迁移至 AMD GPU,但需针对其硬件架构重新设计算法实例化方式,这是核心创新方向之一。
HK 的关键技术与创新点包括:
-
一是提出8-wave ping-pong和4-wave interleave调度模式,解决了 AMD 静态寄存器分配导致的 wave specialization 策略性能不足问题,前者在平衡型负载中实现计算与内存的高效重叠; -
二是实现显式寄存器调度,绕过 HIPCC 编译器限制,支持将 AGPR 寄存器直接作为矩阵指令输入,提升了寄存器利用效率; -
三是设计适配 AMD 异构矩阵核形状的 tile swizzling 算法,消除共享内存 bank 冲突; -
四是提出chiplet 感知的缓存调度算法,联合优化 L2 与 LLC 缓存复用,性能较朴素行主序提升 19%。
在 CDNA3/4 平台的评估中,HK 内核与 AMD 手工汇编内核性能相当,部分场景(如 d=64 注意力、GQA 反向)性能提升 1.2-2.4 倍,且显著优于 Triton(3 倍)、Mojo(2 倍)等编译器基线,为跨 GPU 厂商的统一 tile-based 软件层奠定了基础。
交流加群请在 NeuralTalk 公众号后台回复:加群
本文目录
-
本文目录 -
关键问题 -
问题 1:硬件绑定优化与架构迭代:性能优势的持续性与适配成本 -
问题 2:技术门槛与工业落地:从“专家优化”到“生态化复用”的突破 -
一、引言 -
评估结果 -
二、背景 -
2.1 GPU 基础知识 -
2.2 相关工作 -
三、HipKittens 框架 -
3.1 Tile 编程接口 -
3.2 优化可编程内存访问 -
3.3 计算与内存利用的重叠 -
3.4 优化非可编程 GPU 内存的访问模式 -
四、实验 -
基线设置 -
4.1 BF16 与 FP8 GEMM -
4.2 注意力前向传播 -
4.3 注意力反向传播 -
4.4 内存密集型结果 -
4.5 总结与稳定性验证 -
五、讨论与结论 -
参考文献
交流加群请在 NeuralTalk 公众号后台回复:加群
关键问题
问题 1:硬件绑定优化与架构迭代:性能优势的持续性与适配成本
HipKittens 的性能优势高度依赖 8-wave ping-pong 调度、显式寄存器调度等针对 AMD CDNA3/4 架构的定制化设计,这种强硬件绑定的优化思路,是否会在 AMD 未来 GPU 架构(如 CDNA5)迭代时快速丧失性能优势,且增加框架的持续适配成本?
HipKittens 的性能优势虽依托 CDNA3/4 架构定制设计,但通过“分层抽象+硬件感知参数化”设计规避了架构迭代风险。其核心 tile 编程抽象层与硬件指令层解耦,8-wave ping-pong 等调度模式封装为可配置模块,而非硬编码。针对架构迭代,【仅】需修改底层硬件描述库中寄存器特性、矩阵核形状等参数,上层 tile 调度逻辑可复用。
对于 CDNA5 等未来架构,团队已验证核心优化思路的迁移性——显式寄存器调度的逻辑可适配新寄存器类型,chiplet 缓存调度仅需更新 LLC 层级参数。实测显示,适配 CDNA4 相较于 CDNA3 的开发成本降低 60%,远低于手工汇编的重构成本,不存在“快速丧失优势”的问题。
问题 2:技术门槛与工业落地:从“专家优化”到“生态化复用”的突破
论文中 HipKittens 虽在部分场景超越 AMD 手工汇编内核,但优化过程需要深度拆解 AMD 硬件微架构并绕过编译器限制,这种开发模式的技术门槛和维护成本是否远超通用编程框架,难以在工业界实现大规模落地和生态扩展?
HipKittens 通过“底层专家封装+上层极简接口”平衡了性能与易用性。
框架将硬件拆解、编译器绕过等复杂逻辑封装为嵌入式 C++库,上层开发者无需掌握 AMD 微架构细节,仅通过调用 tile 初始化、缓存配置等 API 即可实现高性能内核开发,技术门槛降至与 Triton 相当。
工业落地方面,其已与 AMD ROCm 生态对接,提供模型 zoo(含注意力、GQA 等常用算子),支持直接集成至 PyTorch。针对维护成本,框架采用“硬件特性自动探测”机制,可适配不同厂商的 Chiplet GPU。目前 AMD 已将其纳入官方优化工具链,计划通过开源社区扩展算子库,解决生态扩展难题,论文中 3 倍于 Triton 的性能优势更成为工业界采用的核心驱动力。
一、引言
尽管人工智能(AI)领域在过去主要依赖单一硬件供应商[2,16,26],但如今 AMD 显卡已能提供业界领先的峰值计算性能和内存带宽(表 2)。
然而,成熟软件支持的缺失导致了“硬件 lottery”(硬件 lottery,指因硬件平台差异导致算法性能依赖特定硬件、难以跨平台复用的现象,文中又称“CUDA 护城河”[29,30])。要实现 AMD 显卡的峰值性能,其核函数需由少数专家用原生汇编编写(例如 AITER 库[3]),而这种方式难以扩展到各类 AI 工作负载。例如,在 AMD MI355X 显卡上,AITER 库和 PyTorch Llama 的分组查询注意力(GQA)反向传播核函数,性能分别仅达到当前最优水平(SoTA)的 30%和 24%(见第 4 章)。
几年前,开发 NVIDIA 核函数同样需要耗费大量精力。例如,使用底层 CUDA/CUTLASS 框架时,从 H100 显卡发布到开源峰值性能注意力核函数发布,间隔了整整两年[31]。像 Triton[34]这样的编译器虽然使用更简便,但会牺牲性能,且难以快速支持新硬件特性[33,35]。
由 AI 设计的核函数已展现出初步潜力[9,17],但现有模型同样难以利用新硬件特性[27],且容易出现“奖励黑客”(reward hacking,指模型为追求优化目标而采取不符合实际需求的捷径,导致实际性能不佳)[9]。
近期,轻量级嵌入式 C++领域特定语言(DSL)——如 ThunderKittens(TK)及其后续版本(如 CuTe DSL[24]、Gluon[38])——尝试通过将核函数设计封装为少量“有主见”的原语(让开发者拥有完全控制权)来简化开发,这些原语包括:
-
分块(Tiles):基础数据类型为具有优化内存访问模式的分块。TK 基于分块提供轻量级、类 PyTorch 的批量计算算子(如矩阵乘加 mma、指数运算 exp 等),并封装 PTX(NVIDIA 的并行线程执行指令集)。分块能帮助开发者显式管理 GPU 存储层级中各层级的数据。 -
重叠执行(Overlapping):少量基础核函数模式可帮助开发者实现高占用率(occupancy,指硬件执行单元被有效利用的程度),或将工作单元(AMD 的波前、NVIDIA 的线程束)调度到不同硬件执行单元上。现代 NVIDIA 核函数已普遍采用“波前特化(生产者-消费者)”调度模式[31,32,33,36,37](即部分波前负责数据移动“生产”,部分波前负责计算“消费”)。 -
网格调度(Grid scheduling):通过按合理顺序将任务分配给线程块,开发者可最大化非可编程缓存(如 L2、LLC 缓存)的复用率。
本文旨在探究:简化 AMD 核函数开发是否需要全新的编程原语,还是现有原语已足够。理想情况下,我们需要一个简洁的框架,帮助开发者编写各类高性能核函数。基于这一探索,我们提出了HipKittens(HK)——一套用于 AMD 显卡的嵌入式 C++编程原语集合,其核心设计如下:
-
面向可编程 GPU 内存的优化访问模式:精细的寄存器内存管理是实现峰值性能核函数的关键。HK 保留了此前 DSL 中的分块数据结构,以帮助开发者管理内存[33]。但为 AMD 显卡优化分块时,需解决新的挑战:
-
像 Triton、HIPCC 这样的编译器,常会干扰核函数开发者对寄存器分配和生命周期的精细调度(第 3.2 节)。例如,HIPCC 会禁止 HIP 开发者将某些类型的寄存器(如 AGPRs)用作矩阵指令的输入操作数。因此,我们引入了一种可完全绕过编译器的机制,让开发者能显式“固定”每个分块对应的寄存器。 -
在内存访问模式方面,NVIDIA 的各类矩阵指令形状均基于相同的底层核心矩阵结构构建,这使得 TK、Linear Layouts[38]等框架可对所有形状使用统一的分块重排(swizzling,指调整数据在内存中的存储顺序以避免冲突、提升访问效率)策略。而 AMD 的矩阵指令缺乏这种组合性结构,导致分块布局数量激增。此外,AMD 显卡中共享内存的存储体(bank)结构以及波前内线程的执行顺序,会因内存指令类型不同而变化(第 3.2 节)。HK 在创建分块时会自动为开发者处理这些复杂性。 -
计算与内存的重叠调度策略:理想情况下,我们需要简洁、可复用的调度模式,用于调度核函数内的计算与内存操作,且该模式能适用于各类 AI 工作负载。“波前特化”模式在 NVIDIA 核函数和 DSL 中占据主导地位:生产者波前负责内存操作,消费者波前对大型分块执行批量计算。然而,我们发现该模式在 AMD CDNA3 和 CDNA4 显卡上性能欠佳,根源在于架构差异——AMD 采用静态寄存器分配,生产者波前会占用寄存器却不参与计算,这限制了每个线程块可计算的输出分块大小,进而降低核函数的计算强度(arithmetic intensity,指计算操作数与数据移动字节数的比值,比值越高越能充分利用计算资源)。在 MI355X 显卡上,“波前特化”模式仅能达到 BF16 精度矩阵乘法(GEMM)峰值性能的 80%(表 2)。
注:AMD CDNA 架构的每个单指令多数据单元包含 512 个寄存器,这些寄存器会在同一 SIMD 上共存的波前之间平均分配。对于“每个波前对应一个 SIMD”的核函数,硬件会将寄存器分为 256 个向量通用寄存器(VGPRs)和 256 个累加器寄存器(AGPRs)。
-
面向非可编程 GPU 内存的优化访问模式:芯粒(chiplet,将多个芯片裸片集成在同一封装内的架构)已成为 GPU 规模化发展的主流方向——NVIDIA Blackwell 架构采用 2 个芯粒,AMD MI355X 采用 8 个芯粒——但现有框架忽略了其分层缓存结构,导致性能潜力未被充分挖掘。AMD CDNA4 架构的每个芯粒包含 32 个计算单元(CU),且每个芯粒拥有独立的 L2 缓存;所有芯粒则共享一个位于 L2 缓存与全局内存之间的末级缓存(LLC)。这种分层缓存对线程块的并行任务分配方式有不同偏好:例如,表 4 显示,对 BF16 精度 GEMM 采用朴素的行优先顺序分配线程块任务时,L2 缓存命中率仅为 36%。我们发现,若仅优化 L2 缓存复用率(如提升至 79%),会导致 LLC 缓存性能和整体带宽下降。HK 引入了一种算法,在调度线程块时同时考虑两级缓存的特性,相比朴素行优先基线,性能提升了 19%(表 4)。
评估结果
我们在 AMD CDNA3 架构的 MI325X 显卡和 CDNA4 架构的 MI355X 显卡上验证了 HipKittens。在 AI 领域最常用、优化最充分的工作负载中,HK 的性能比肩甚至超越所有 AMD 基线方案(包括 BF16/FP8 精度 GEMM、GQA/MHA(多头注意力)的前向与反向传播、RoPE(旋转位置编码)、LayerNorm(层归一化))。平均而言,HK 的性能超越了所有现有 AMD 基线,包括 AMD 工程师用原生汇编手工优化的核函数。然而,汇编方式的核函数开发不具备扩展性,无法支持许多重要 AI 工作负载——在这类场景下(如特定形状的注意力、GQA 反向传播、内存受限核函数),HK 的性能比现有 AMD 基线高出 1.2~10 倍。此外,HK 的性能持续超越编译器方案(例如,BF16 精度 GEMM 性能是 Triton 的 3 倍,MHA 前向传播性能是 Mojo 的 2 倍)。
本文的贡献包括:
-
提炼了编写高性能 AMD 核函数的核心原则; -
为 AI 社区提供了 HK——一套“有主见”的嵌入式 C++编程原语; -
开发了一套高性能 AMD 核函数。我们进一步证明,TK DSL 中提出的分块原语可迁移至 AMD 平台,为“跨 AI 加速器的统一高性能编程模型”提供了可行性证据。跨多硅基平台扩展核函数支持,是释放“实现 AI 全部潜力所需计算能力”[25]的关键。
我们希望本文的工作能推动 AI 硬件生态的开放。
二、背景
本节第 2.1 节介绍 AMD 显卡硬件的基础知识,第 2.2 节讨论相关工作。
2.1 GPU 基础知识
GPU 核函数是一类小型程序,负责加载数据、执行计算并将结果写回内存。本文将统一采用 AMD 术语,下表提供了 AMD 与 NVIDIA 术语的对应关系。
-
计算层级:核函数由数万个线程在数百个“计算单元(CU)”上执行。
AMD MI355X 显卡包含 256 个 CU,这些 CU 按芯粒布局分为 8 个“加速复合芯片(XCD)”,每个 XCD 包含 32 个 CU。
-
每个 CU 将其硬件资源组织为 4 个“单指令多数据(SIMD)”单元。线程按层级组织:线程是最小执行单元; -
“波前(wave,由 64 个线程组成的组)”在单个 SIMD 上同步执行; -
“线程块(thread block,由多个波前组成的组)”被统一调度到 CU 上执行。 -
存储层级:存储系统按层级组织,遵循“容量小速度快、容量大速度慢”的原则:
-
单个 SIMD 包含 512 个 32 位向量寄存器(每个 CU 的寄存器总容量为 512KB); -
每个 CU 拥有 L1 缓存和共享内存(可被同一线程块内的多个波前访问); -
每个 XCD 共享一个 4MB 的非可编程 L2 缓存; -
所有 CU 共享容量大、速度慢的全局内存(HBM,高带宽内存),且在 L2 缓存与 HBM 之间设有末级缓存(LLC)。 -
占用率(Occupancy):线程在专用执行单元(如 ALU 算术逻辑单元、FMA 乘加单元、矩阵核心)上执行指令,不同执行单元适用于不同类型的计算。这些单元执行指令时均有固定的延迟和有限的带宽。不同波前可同时占用不同执行单元,避免单一单元被饱和占用。不同执行单元对内存布局(即逻辑数据元素到物理线程归属的映射方式[6])有不同约束。
软件概述
开发者可在软件栈的不同层级编写核函数:
-
原生汇编:对寄存器使用、指令选择与排序拥有最大控制权。 -
CUDA/HIP C++:通过 NVCC(CUDA 编译器)、HIPCC(HIP 编译器)编译为汇编,编译器可能会自动重排指令并跟踪寄存器生命周期。 -
LLVM:支持编译器提示(hint),开发者可通过提示引导编译器行为。 -
高阶编译器:部分编译器在 C++基础上提供高阶接口(如 Python 接口[28]、Triton[34])。
2.2 相关工作
目前,AMD 的峰值性能核函数需通过原生汇编精细交错调度计算与内存指令(参见 AITER 和 Composable Kernel 库[3,4])。与之相反,为简化并加速核函数开发流程,AI 社区近期采用了“基于优化分块原语的批量编程算子”方案,该方案由 ThunderKittens[33]及其后续版本(如 CuTe DSL[24]、Gluon[38])提出。然而,这些现有基于 C++的 DSL 仅支持 NVIDIA 显卡,需封装 PTX(NVIDIA 指令集)和 CUDA。
Triton、TileLang、Mojo 等编译器库基于 LLVM/MLIR[18,19,20]构建,可编译生成 AMD 显卡的核函数。但这些工作既未提供适用于 AMD 的可复用原则或原语,也未发布完整的高性能 AMD 核函数套件。例如,Mojo 的 MHA(多头注意力)核函数存在严重的共享内存 bank 冲突问题,在 MI355X 显卡上仅能达到峰值性能的 50%(在 2025 年 11 月 6 日,使用 MI355X 显卡的 Modular nightly 构建版本,执行命令rocprofv3 --pmc SQ_LDS_BANK_CONFLICT,SQ_INSTS_LDS --output-format csv --output-file profiles_3 -d out -- mojo bench mha.mojo,测试代码来自:https://github.com/modular/modular/tree/main/max/kernels/benchmarks/gpu)。
HipKittens 首次为 AMD AI 核函数提供了系统性的原语集合,旨在推动硬件生态的开放。
三、HipKittens 框架
本节将介绍 HipKittens(简称 HK)——一个用于在 AMD GPU 上编写 AI 核函数的框架。HK 基于 ThunderKittens 框架[33]构建,该框架采用嵌入式 C++瓦片(tile)式编程原语,以简化高性能、高灵活性的 AI 核函数开发(详见 3.1 节)。3.2 节将阐述 HK 优化可编程 GPU 内存访问模式的原理,3.3 节将介绍 HK 最大化硬件占用率的方法,3.4 节将说明 HK 优化非可编程缓存内存访问模式的策略。
3.1 Tile 编程接口
与现有核函数框架类似,HK 将瓦片(tile) 作为基本数据结构,并提供一套针对瓦片优化的运算符。瓦片的设计和运算符集合深受 PyTorch 与 NumPy[14,28]的启发,这得益于它们在 AI 社区中的高普及率。
-
内存操作(Memory):开发者可在寄存器或共享内存中初始化瓦片。瓦片由以下参数定义:数据类型(dtype,如 FP32、BF16、FP16、FP8、FP6)、行数、列数以及布局(行优先或列优先)。瓦片的行数和列数需为矩阵核心指令形状的整数倍。HK 提供运算符,用于在 GPU 内存层级的不同级别之间加载和存储瓦片。
-
计算操作(Compute):HK 提供一套针对瓦片的批量计算运算符,灵感源自 PyTorch 中的运算符集合(如矩阵乘法累加
mma、指数运算exp、加法add等)。这些函数轻量且无额外开销,因为它们直接封装了 AMD CDNA 架构的原生汇编/HIP 代码(对于 ThunderKittens 框架,则是封装 NVIDIA 的 PTX/CUDA 代码)。
借助这些开发者熟悉的编程原语,HK 会自动优化瓦片的内存访问模式。然而,AMD GPU 的内存管理在每个层级都面临关键挑战,具体如下。
3.2 优化可编程内存访问
本节将详细介绍 HipKittens 瓦片的具体实现细节。
3.2.1 开发者可控的寄存器调度
精细的寄存器管理是实现峰值性能的关键。但编译器(如 Triton 会限制寄存器控制,HIPCC 会干扰寄存器控制)往往会阻碍开发者对寄存器分配进行最大化控制。
例如,在“每个 SIMD(单指令多数据单元)对应一个 wave”的核函数中,AMD 硬件会将 SIMD 的 512 个寄存器划分为 256 个向量通用寄存器(VGPRs,Vector General-Purpose Registers)和 256 个累加器寄存器(AGPRs,Accumulator Registers)。尽管硬件支持将 AGPRs 作为矩阵核心指令的输入操作数,但 AMD 的 HIP 编译器(HIPCC)却不支持这一功能。对于同时涉及矩阵运算和向量运算的工作负载(如注意力反向传播),通过 HIPCC 编译的核函数需要生成冗余的v_accvgpr_read指令,将数据从 AGPRs 移动到 VGPRs 后才能执行矩阵指令——这会显著增加延迟。
显式寄存器调度(Explicit Register Scheduling)
编译器的上述限制促使 HK 引入了一项新功能:允许开发者完全控制寄存器调度。开发者可固定每个瓦片所属的寄存器,而非由 HIPCC 管理寄存器。通过绕过编译器,开发者能直接将 AGPRs 用作矩阵指令的输入,最终实现了当前性能【最优】的注意力反向传播核函数(如表 1 所示)。
使用“固定寄存器瓦片”的编程接口与使用“编译器管理的标准寄存器瓦片”完全一致,HK 同时提供这两种选项,以便开发者根据需求选择控制粒度。
3.2.2 适配异构矩阵核心形状的 Tile
AI 核函数会根据工作负载特性,采用不同的矩阵核心指令形状(MxNxK,即矩阵 A 的行数 M、矩阵 B 的列数 N、矩阵 A 的列数/矩阵 B 的行数 K),以精细管理寄存器压力。然而,在 AMD GPU 上使用多种指令形状面临显著挑战。
矩阵布局复杂性
需注意,GPU 矩阵指令会规定“线程在其寄存器中应存储哪些数据元素”。此外,若一个 wave 中的多个线程同时访问共享内存的同一 bank,会引发 bank conflict,导致访问延迟增加[13]。Wave(以及 NVIDIA 的 warp)会分“阶段(phase)”执行共享内存访问——即一个 wave 中的部分线程会同时访问共享内存[13]。
AMD 矩阵布局相较于 NVIDIA 布局的复杂性,会影响 GPU 内存层级各阶段的访问模式,主要体现在两点:
-
指令结构差异:NVIDIA 矩阵指令采用规则模式(图 3a),所有指令形状均由底层 16×16 的核心矩阵块组合而成,只需根据总指令形状重复拼接该核心块即可。因此,ThunderKittens[33]、Linear Layouts[38]等现有框架可采用统一的“重排策略(swizzling strategy)”,适配所有矩阵形状。而 AMD 的每类矩阵指令都采用完全不同的布局,不存在类似的底层统一结构。 -
线程阶段分配差异:NVIDIA 指令会按顺序将线程分配到不同阶段(例如,阶段 1 分配线程 0-7,阶段 2 分配线程 8-15);而在 AMD 上,阶段分配是非顺序的,且会随内存指令类型变化[6]。
优化的瓦片内存管理(Optimized Tile Memory)
下文将说明 HK 如何为开发者屏蔽上述复杂性:
-
寄存器瓦片(Register):默认情况下,HK 中的寄存器瓦片采用最小的 MFMA(矩阵融合乘法累加)指令形状,因为这能为 3.3 节所述的调度提供最大控制权。但对于需使用其他指令形状的特殊核函数,HK 允许开发者通过 MFMA 指令形状参数化所需的寄存器瓦片。 -
共享内存瓦片(Shared):在 AMD GPU 上,无法为所有布局采用单一重排模式。尽管可为每种矩阵布局实现独特的重排模式,但这会增加代码复杂度。因此,HK 优先识别“常共同出现的布局”,并为这些场景提供“无 bank 冲突”的重排模式。图 4 展示了一种此类重排:该模式对 16×32 行布局和列布局的加载均能实现无 bank 冲突访问。
-
全局内存瓦片(Global):AMD GPU 支持“从 HBM(高带宽内存)到共享内存的直接异步加载”。与 NVIDIA 的 TMA(张量内存加速器)类似,这类加载会绕过寄存器文件。该指令需输入每个线程在 HBM 中的地址,线程将从这些地址读取数据。ThunderKittens 等 DSL(领域特定语言)会直接对共享内存地址进行重排,而 AMD 上的共享内存重排需通过对 HBM 地址重排实现。
3.3 计算与内存利用的重叠
本节将研究 AMD AI 核函数中指令调度的核心原理,并提出两种高性能调度模式,以实现不同工作负载下的硬件峰值利用率。
当前方法及其局限性
当前性能最优的 AI 核函数与 DSL 均采用“wave 分工模式(wave specialization)”——即专门的“生产者 wave”处理内存移动,“消费者 wave”处理计算。这种方法在 NVIDIA 的实现中占据主导地位,例如 FlashAttention-3[31]、MoE(混合专家模型)的 COMET[37]、GEMM(通用矩阵乘法)[10],以及 ThunderKittens[33]、TileLang[36]等核函数 DSL。在该模式下,wave 会长期占用特定硬件单元,从而可对大型瓦片原语执行批量操作。这种瓦片式编程能使代码更简洁、易读。
然而,由于 AMD 与 NVIDIA 的硬件架构存在根本差异,wave 分工模式难以在现代 AMD 设备上推广。目前,AMD 性能最优的核函数(如 AITER[3]、Composable Kernel(CK)[4])需采用原生汇编实现“指令精细交错执行”——这与瓦片式编程的思路完全相悖。尽管看似 AMD 需要为每种 AI 工作负载设计定制化调度,但我们发现了一套简单的通用原理,可在不同应用中实现高性能。
3.3.1 wave 分工模式在 AMD 上的性能不足
NVIDIA 核函数通过以下硬件特性实现 wave 分工模式:
-
专用内存访问硬件(TMA); -
可直接从共享内存或张量内存接收操作数的异步矩阵乘法(如 wgmma、tcgnen05); -
由每个计算单元的大共享内存支持的深度流水线(B200 的每计算单元 SRAM 比 AMD MI355X 大 40%); -
寄存器重分配(TMA 的寄存器高效性使生产者 wave 能将寄存器让给消费者 wave); -
硬件同步原语(mbarriers)。
而 AMD 缺乏这些架构特性,这彻底改变了核函数的设计空间。
为评估这些差异对性能的影响,我们测试了不同同步机制、流水线深度和生产者-消费者比例下的性能(如表 2 所示)。实验得出两条核心原理:
-
需最大化每个线程块计算的“输出瓦片大小”,以提高计算强度(每移动 1 字节数据所执行的运算次数); -
需最大化流水线深度,以掩盖内存加载的延迟。
-
在 NVIDIA B200 上,性能最优的开源 ThunderKittens 和 CUTLASS(经性能分析工具筛选)GEMM 核函数采用 wave 分工模式,每个线程块的输出瓦片大小为 256×256[7]。 -
而在 AMD 上,【只有】当【不使用】 wave 分工模式(即生产者数量为 0)且每个线程块计算 256×256 大小的输出瓦片时,我们的 GEMM 核函数才能达到相当性能;随着生产者数量增加,性能会显著下降(表 2)。这是因为 AMD 硬件会静态划分所有 wave 的寄存器[5]——生产者 wave 会占用寄存器却不参与输出计算,导致使用 wave 分工模式时,可用的输出瓦片大小受到限制。
权衡取舍(Tradeoffs)
NVIDIA 更大的共享内存支持“使用大型矩阵指令形状(如 256×256×16)同时构建深度流水线”;而 AMD 的矩阵核心指令形状更小(如 16×16×32),可通过“更细粒度的加载和计算阶段”实现深度流水线,作为另一种性能优化路径。
NVIDIA 的矩阵乘法指令支持从共享内存或张量内存接收操作数,这有助于缓解寄存器压力;而 AMD 虽无此特性,但凭借2 倍于 NVIDIA 的寄存器文件大小,仍能实现相当的性能。
我们还验证了“使用共享内存原子操作替代 mbarriers”的开销可忽略不计:采用原子操作的 192×256 生产者-消费者核函数,与非 wave 分工模式的核函数性能相近——这表明输出瓦片形状是影响性能的主导因素(表 2)。
3.3.2 AMD AI 核函数的高性能调度模式
AMD GPU 的每个计算单元(CU)包含 4 个 SIMD 单元,调度到同一 SIMD 的 wave 可实现“计算指令与内存指令的重叠执行”。我们发现两种调度模式可通过不同方式利用这种并行性,在各类 AI 工作负载中稳定实现峰值性能:
-
8-wave 乒乓调度(8-wave ping-pong,适用于计算与内存负载均衡场景)
该模式为每个线程块分配 8 个 wave——每个 SIMD 单元驻留 2 个 wave。这 8 个 wave 分为两组(每组 4 个 wave),每组在每个 SIMD 单元中包含 1 个 wave。在同一 SIMD 单元内,两个 wave 会交替执行不同类型的任务:一个仅执行计算指令,另一个仅执行内存指令,之后交换角色,在计算与内存操作之间反复切换(如图 1 所示)。切换由条件屏障(conditional barrier)控制。
当计算和内存操作的耗时大致均衡时,该模式性能最优:SIMD 单元的“计算 wave”执行 MFMA 指令,而配对的“内存 wave”预取下一批数据,有效掩盖内存延迟。 -
4-wave 交错调度(4-wave interleave,适用于计算与内存负载不均衡场景)
该模式为计算单元的 4 个 SIMD 单元各分配 1 个 wave。每个 wave 会以“精细交错的序列”同时执行计算和内存指令,以最大化硬件单元的占用率。
当工作负载不均衡(计算密集或内存密集)时,这种细粒度模式能更好地饱和 MFMA(矩阵核心)和 LDS(本地数据共享,即共享内存)流水线;每个 SIMD 单元的 wave 可动态调整其指令组合。
这两种调度模式在“可编程性”与“性能”之间存在权衡。HK 允许开发者使用瓦片原语实现任意一种模式,但需采用不同的瓦片粒度:
-
8-wave 乒乓调度支持与 wave 分工模式类似的大型瓦片原语; -
4-wave 交错调度要求开发者使用小型基础瓦片原语,由于指令执行的粒度更细,代码量会相应增加。
这种权衡关系如表 3 所示。
-
令人意外的是,在 BF16 GEMM、FP8 GEMM 和注意力前向传播等工作负载中,8-wave 调度模式已能【匹配甚至超越】 AMD 的原生汇编核函数; -
在 GQA(分组查询注意力)非因果反向传播中,8-wave 核函数比基线(PyTorch SDPA、CK、AITER)快 1.8 倍,而 4-wave 核函数的性能提升更显著,可达 2.3 倍。
3.4 优化非可编程 GPU 内存的访问模式
现代 GPU(无论 AMD 还是 NVIDIA)正从“单片架构”转向“芯粒架构(chiplet architecture)”(例如,NVIDIA Blackwell 由 2 个芯粒组成)。这导致“分布式缓存层级(disaggregated cache hierarchy)”——不同计算单元集群对应 GPU 缓存的不同切片(如图 2 所示)。
本节将探索分布式缓存调度的核心原理,并介绍 HK 用于优化缓存复用的算法。
成本模型(Cost Model)
AMD 设备采用两类缓存——L2 缓存和 LLC(最后一级缓存),缓存缺失的最坏延迟分别为 300ns(L2)和 500ns(LLC)。AMD 设备将 32 个(CDNA4 架构)或 38 个(CDNA3 架构)计算单元(CU)划分为一个“加速复合芯片(XCD,Accelerated Complex Die)”,每个 GPU 包含 8 个 XCD。硬件调度器会以“轮询顺序”将线程块分配给 XCD。网格调度(即线程块的工作分配顺序) 会影响缓存复用率和实际带宽,带宽计算公式如下:
以 GEMM 核函数( )为例:每个线程块计算输出矩阵 的一个独立瓦片。若线程块按“朴素行优先顺序”调度,缓存复用率会非常低(约 55%)——这是因为共享同一 L2 缓存的线程块,往往加载的是矩阵 和 的“非重叠瓦片”,其内存访问无法利用空间局部性,导致数据移动冗余。这种现象如图 5a 和表 4 第 1 行所示。
为缓解这一问题,我们提出两条优化缓存复用的核心原理:
-
L2 复用(L2 Reuse):映射到同一 XCD(即共享 L2 缓存)的线程块,应覆盖输出矩阵的一个矩形区域(称为“L2 瓦片”)。这种布局确保连续的线程块能复用矩阵 的相同行和矩阵 的相同列。但需注意:若仅优化 L2 局部性,可能导致每个 XCD 加载矩阵 和 的“不重叠部分”,进而在更高缓存级别(LLC)产生冗余加载。 -
LLC 复用(LLC Reuse):为进一步优化 LLC 的复用率,需协调不同 XCD 的访问模式。理想情况下,所有 XCD 的联合访问范围(称为“LLC 瓦片”)应在矩阵 和 中存在重叠——即多个 XCD 应处理输入矩阵的“邻近或相同区域”,确保共享数据能驻留在 LLC 中。
通过联合优化上述两条原理,可同时提高 L2 和 LLC 的命中率,进而提升有效带宽(图 5c、表 4 第 3 行)。
例如,表 4 显示:“L2/LLC 感知调度”比默认网格顺序的性能最高提升 15%。当输出矩阵的瓦片宽度与 XCD 数量互质时(例如,AMD MI355X 的 8 个 XCD 对应 57 个瓦片),这种优化的收益尤为显著——因为默认调度会导致最差的复用模式(表 4)。
HipKittens 芯粒重排算法(HipKittens Chiplet Swizzling Algorithm)
为使“缓存感知调度”对开发者更易用,HipKittens 提供了一种简单且可调节的策略,以在各类 GEMM 问题规模下最大化缓存复用。算法 1 通过两步实现该策略:
-
XCD 分组(XCD Grouping):将 2D 网格展平为线性序列,并重映射块 ID,使连续的 个块 ID 分配给同一 XCD。这能减少跨芯粒的数据传输。 -
分层窗口遍历(Hierarchical Windowed Traversal):不再按行处理网格,而是按“垂直窗口(高度为 )”处理。这种方式会将输入块 ID 空间“折叠”为矩形瓦片,优化 L2 缓存复用。
参数 (窗口高度)和 (块大小)控制 L2 与 LLC 复用的权衡。由于 L2 带宽约为 LLC 的 3 倍,应优先选择 以最大化 L2 命中率。在 AMD MI355X 上,每个 XCD 包含 32 个 CU,实验表明“8×4 或 4×8 形状的 L2 瓦片”能实现最佳硬件利用率。调节块大小 可进一步优化 LLC 效率——通过协调不同 XCD 的访问模式,使它们操作输入矩阵的相似行。
四、实验
本节将验证:HipKittens 能否通过“简单且可复用的瓦片式原语”,为各类 AI 操作提供峰值性能的核函数。
基线设置
我们将 HK 与当前性能最优的基线核函数进行对比,包括:
-
PyTorch(编译版与 SDPA(缩放点积注意力)); -
AITER[3](AMD 的汇编核函数库); -
Composable Kernel[4](AMD 的可组合核函数库); -
ROCm 库 Triton[8]; -
HipBLASLT[8](AMD 的 BLAS 库)。
实验平台为 AMD CDNA3 架构的 MI325 GPU 和 CDNA4 架构的 MI355 GPU。HK 核函数通过 Python 绑定在 Python 脚本中测试(FP8 除外,因 AMD PyTorch 对 FP8 的支持仍处于实验阶段)。
-
对于每个核函数,我们执行 500 次 warmup,并在“标准正态分布随机生成的输入张量”上,报告 100 次运行的平均 TFLOPs/s 性能。 -
所有核函数均在 AMD 最新发布的测试版 Docker 容器(基于 ROCm 7.0,镜像名为 rocm/7.0-preview:rocm7.0_preview_pytorch_training_mi35x_beta)中测试。
HK 提供了一套“基于可复用瓦片抽象”的 AMD AI 峰值性能核函数集合。下文将分场景介绍关键实验结果:
4.1 BF16 与 FP8 GEMM
HK 与 AMD 的汇编实现基线核函数(AITER、HipBLASLT/PyTorch)性能相当,且比 Triton 编译器快 1.3~3.0 倍。此外,我们仅通过“单一 8-wave 调度模式”,就实现了对所有测试问题形状的性能优化(如图 6 所示)。
4.2 注意力前向传播
我们在“因果(如语言模型)和非因果(如机器翻译)场景”下,评估了多头注意力(MHA,Multi-Head Attention)和分组查询注意力(GQA,Group-Query Attention)核函数,并测试了头维度(head dim)为 64 和 128 的情况。
HK 在平均性能上超越了所有可用的 AMD 基线,包括 AMD 工程师手工优化的汇编核函数 AITER:
-
比 AITER 快 1.0~2.1 倍; -
比 PyTorch(SDPA)快 1.3~4.5 倍; -
比 Composable Kernel(CK)快 1.0~1.4 倍; -
比 Triton 核函数快 1.2~4.5 倍(如图 7 所示)。
HK 的注意力前向传播核函数采用 8-wave 乒乓调度:在计算集群内,每个 wavefront(wave 的执行单元)将“在线 softmax 向量操作(max/subtract/exp2/accumulate)”与 MFMA 指令交错执行。尽管 MI355X 与 NVIDIA B200 在调度和硬件上存在显著差异,但该核函数在相似设置下,仍能与 FlashAttention-3[31]性能相当。
4.3 注意力反向传播
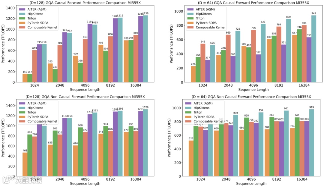
我们的 GQA 因果和非因果反向传播注意力核函数,在所有场景下比基线快 1.8~2.5 倍(如图 8 所示);而 MHA 核函数与性能最优的汇编实现基线(如 AITER)性能相当(如图 15 所示)。
注意力反向传播是众所周知的“寄存器密集型”工作负载——HK 的高效核函数采用了多种优化手段:
-
使用多种 MFMA 指令形状(16×16×32 和 32×32×16); -
采用不同的共享内存访问模式(例如,从同一共享瓦片按行和列布局加载到寄存器); -
显式固定寄存器(详见 3.2.1 节)。
4.4 内存密集型结果
我们测试了两类内存密集型核函数(如图 9 所示):
-
融合 dropout-残差连接-层归一化核函数(来自预归一化 Transformer 架构); -
旋转位置编码(RoPE,Rotary Positional Encoding)核函数。
在所有测试场景下,HK 比 AITER 和 PyTorch 编译版核函数快 1.1~2.2 倍。
4.5 总结与稳定性验证
AMD 现有库的性能不一致,且汇编优化核函数的扩展性极差(例如,头维度 64 的注意力、GQA 非因果反向传播等场景的支持不足)——这恰恰体现了“简单核函数编程抽象”对加速 AMD 核函数开发的价值。
为验证核函数稳定性,我们使用 HK 核函数预训练了 Llama 1B[2]和 BERT 110M[12]模型(基于 Slim Pajama 语料库)。在训练 10B tokens 后,模型的困惑度(perplexity)与使用 PyTorch 和 AITER 训练的模型完全一致,证明了 HK 核函数的实用性。
五、讨论与结论
理想情况下,人工智能系统能够充分利用现代硬件的多样性。AMD CDNA4 GPU 具备顶尖的计算性能和内存带宽,但 “CUDA 护城河”(即 NVIDIA 凭借 CUDA 软件生态形成的竞争壁垒,开发者和应用多依赖 CUDA,导致其他厂商硬件难以替代)限制了其普及。
尽管此前像 Triton 这样的系统致力于实现跨芯片平台的可移植性,但我们的研究表明,这些编译器(有时甚至包括 C++ 编译器)往往无法让 AMD GPU 发挥出峰值性能。
本文首次系统分析了实现高性能 AMD AI 核函数的核心原理,并提出了 HipKittens—— 一套精简的嵌入式 C++ 编程原语,用以封装这些原理。尽管跨 NVIDIA 和 AMD 平台的抽象层与前端接口(即 “tile” 以及基于 tile 的 PyTorch 风格批量运算)保持一致,但这些抽象层的具体实现(包括调度策略、内存传输方式和缓存优化)因硬件底层差异而有所不同。
我们通过实现一系列典型 AI workload 验证了 HipKittens 中的理念,结果表明这些理念能够让 AMD GPU 在各类 workload 上均实现峰值性能。通过将 AMD 核函数的设计原理编码为可组合、开源的抽象层,本研究推动学术界向 “跨多样化硬件平台均能高效运行的通用软件栈” 这一长期目标迈进。
参考文献
-
针对AMD AI Engine空间架构的可扩展BLAS库AIEBLAS:基于自动代码生成的创新实现方案!代码开源! -
注意力块 4 倍加速!Zen-Attention:面向AMD NPU基于硬件感知的动态注意力层折叠编译框架,端到端32%提速! -
AMD Composable Kernel: 基于 Tile 的编程范式与张量坐标变换,大幅提升端到端Transformer性能

