搜索
首页
大数快讯
大数活动
服务超市
文章专题
出海平台
流量密码
出海蓝图
产业赛道
物流仓储
跨境支付
选品策略
实操手册
报告
跨企查
百科
导航
知识体系
工具箱
更多
找货源
跨境招聘
DeepSeek
首页
>
【专家视角】中南大学张宪|微纳塑料通过扰乱L. rhamnosus葡萄糖代谢抑制胞外聚合物乳酸合成
>
0
0
【专家视角】中南大学张宪|微纳塑料通过扰乱L. rhamnosus葡萄糖代谢抑制胞外聚合物乳酸合成
生态修复网
2025-12-03
6
第一作者:陶梦琦、王吉萍
通讯作者:张宪
其他作者:谢幸儿、彭玉竹、田淇百
通讯单位:中南大学
论文DOI:10.1016/j.jhazmat.2025.140183
图文摘要
成果简介
近日,中南大学张宪副教授团队在环境领域著名学术期刊Journal of Hazardous Materials上发表了题为“Micro-nanoplastics inhibit extracellular polymeric substance and lactate synthesis via perturbing glucose metabolism of Lacticaseibacillus rhamnosus”的研究论文。该研究基于体外消化(IVD)模拟与多组学联合分析技术,揭示了经模拟消化的微纳塑料(MNPs;特别是150 nm 聚对苯二甲酸乙二醇酯(PET))可通过抑制中心碳代谢通路中关键基因(如galK、bglA)与相关代谢物水平,从而干扰L. rhamnosus的葡萄糖代谢-产物合成轴。研究从代谢调控角度阐明了该菌株胞外聚合物(EPS)与乳酸合成受阻的分子机制,为评估MNPs对肠道益生菌功能的负面效应提供了理论依据,也为深入探究此类污染物健康风险研究提供了新视角。
全文速览
MNPs广泛存在于多种生态系统,可通过多种暴露途径在人体胃肠道中富集,进而威胁肠道稳态。然而,MNPs是否以及如何对肠道益生菌产生生理毒性,目前尚不明确。本研究以L. rhamnosus为研究对象,采用IVD模拟MNPs的消化过程,显示MNPs能够抑制细菌生长及其EPS和乳酸的合成。该毒性效应具有材料组成依赖性(PET > 聚苯乙烯 > 聚氯乙烯),在纳米尺度下更为显著,且随浓度升高而增强。在抑制效应最强的条件下(150.0 nm、250.0 mg/L PET的IVD处理),扫描电镜结果显示,L. rhamnosus分泌的EPS会与MNPs颗粒结合并黏附于菌体表面,可能导致物理阻塞和细胞膜损伤。转录组学与代谢组学联合分析表明,经IVD处理的PET纳米塑料(PET-NPs)显著下调核心基因(如galKlog2FC = −5.40;bglAlog2FC = −6.58),并降低中心碳代谢通路中多个关键节点(包括磷酸转移酶系统、糖酵解途径、三羧酸循环、磷酸戊糖途径和氧化磷酸化)的代谢物水平,从而损害葡萄糖摄取/代谢及能量生成,最终限制EPS和乳酸合成所需的前体物质供给。本研究揭示了MNPs通过抑制中心碳代谢破坏葡萄糖代谢-产物合成轴的作用机制,为MNPs对益生菌代谢的抑制作用提供了有力证据,也为评估MNPs污染潜在健康风险提供了机制性见解。
引言
MNPs作为一种新兴环境污染物,可经口摄入进入人体胃肠道,诱发肠道菌群失调等多种生理紊乱。然而,现有研究多集中于菌群整体变化,对MNPs与单一关键益生菌在分子层面的直接相互作用机制仍缺乏深入解析。为弥补这一知识缺口,本研究采用体外单菌模型结合IVD模拟技术,该策略可有效排除宿主因素的干扰,便于精确控制变量,从而直接探究MNPs对特定细菌的生理影响。益生菌分泌的EPS和乳酸等代谢物对维持肠道健康至关重要,然而MNPs是否以及如何抑制这些关键代谢物的合成仍知之甚少。此外,鉴于葡萄糖代谢作为细菌能量代谢与多种代谢物(包括EPS和乳酸)合成的核心枢纽,因此本研究提出核心科学问题:MNPs是否通过扰乱细菌的葡萄糖代谢,进而抑制EPS和乳酸的合成?为此,本研究通过IVD模拟与体外单菌培养体系,结合转录组学与代谢组学,并借助外源葡萄糖补充实验验证葡萄糖代谢的关键作用(图1),系统阐明了MNPs抑制L. rhamnosus益生功能的分子机制,为理解环境污染物与肠道菌群间相互作用提供了新范式。
图1. MNPs对L. rhamnosus影响的实验设计示意图
图文导读
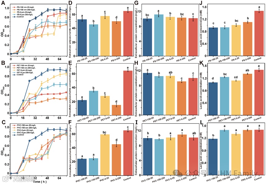
细菌生长曲线表明,经IVD处理的MNPs对L. rhamnosus的生长具有显著抑制作用,且该抑制效应呈材料组成依赖性与粒径相关性,其中PET毒性最强,PVC最弱(图2)。胞外多糖和胞外蛋白的测定结果显示,MNPs暴露可显著干扰菌体的关键代谢途径,降低其EPS合成能力。乳酸产量的同步降低也证实MNPs对菌体整体代谢活性产生了实质性抑制。综上,经IVD处理的MNPs可从生长、分泌及代谢三个层面对L. rhamnosus的生理功能施加多重抑制作用。
图2. 不同PS-、PET-和PVC-MNPs对体外模拟肠道环境中L. rhamnosus生长情况(A-C)、胞外多糖(D-F)、胞外蛋白质(G-I)和乳酸(J-L)合成的影响
基于前述三种IVD处理MNPs对L. rhamnosus生长、胞外多糖、胞外蛋白及乳酸代谢的抑制作用,本研究选取毒性最强的PET-NPs进行后续研究。外源葡萄糖补充实验显示,葡萄糖的添加能有效缓解PET-NPs所引起的生长抑制,使菌体生物量恢复至对照组水平,并伴随对数期与稳定期的延长,提示菌体对经IVD处理后PET-NPs可能产生了适应性响应(图3)。胞外多糖、蛋白及乳酸合成量分析结果表明,尽管葡萄糖的补充可显著提升三者的产量,其恢复程度仍存在差异。以上结果说明,外源葡萄糖的补充有助于重新引导细胞碳代谢流,从而在一定程度上缓解PET-NPs所引起的多重生理抑制效应。
图3.外源葡萄糖补充对PET-NPs对L. rhamnosus的(A)生长情况、(B)胞外多糖浓度、(C)胞外蛋白质浓度和(D)乳酸浓度影响
基于前述实验结果(图2-3),本研究设立三个研究组以深入探究相关机制:A组为暴露于经IVD处理后的PET-NPs(150.0 nm,250.0 mg/L)且不添加外源葡萄糖的实验组;B组在相同PET暴露条件下补充20.0 g/L外源葡萄糖;C组作为未处理对照组,不添加任何MNPs。
扫描电镜结果(图4)显示,PET-NPs(A组)导致菌体出现明显皱缩与形态变形,细胞壁粗糙不平并伴有不规则凹陷,局部可见膜结构破裂及内容物泄漏。外源葡萄糖的补充(B组)虽未能使菌体形态完全恢复,但一定程度上缓解了PET-NPs引起的膜结构损伤,并增强了菌体与PET-NPs之间的界面相互作用。
图4.(A-B)对照组处理条件下、(C-D)PET-NPs处理组条件下和(E-F)PET-NPs+20.0 g/L外源葡萄糖组菌株细胞形态的代表性电子显微照片,放大倍数分别为10倍和20倍
转录组学分析结果(图5A-F)显示,在PET-NPs暴露条件下(A vs C组)共鉴定到1647个差异表达基因,其中与碳摄取、能量代谢及胞外产物合成相关的基因表达受到显著抑制。外源葡萄糖补充后(A vs B组),差异基因数量显著减少至39个,表明葡萄糖干预有效缓解了PET-NPs引起的大部分转录水平紊乱。GO富集分析进一步表明,PET-NPs主要干扰碳水化合物代谢、跨膜运输及ATP合成等关键生物过程,而葡萄糖补充则使差异基因主要富集于肽类合成与转运等修复相关通路。在代谢组层面(图5G-J),PET-NPs暴露使A组(相较于C组)出现1351种差异代谢物,其中中心碳代谢中间体(如D-葡萄糖、ATP)及多种氨基酸衍生物显著积累。葡萄糖干预后,上述代谢扰动有所缓解。基于正交偏最小二乘判别分析(OPLS-DA)模型的变量重要性投影(VIP)评分,研究进一步筛选出前50位关键代谢标志物,其分布呈现明显的组间聚类分离,其中部分在PET-NPs暴露组中特有的代谢紊乱在葡萄糖干预后得到缓解。
图5. A组与C组、A组与B组、B组与C组比较中(A-C)差异表达基因的散点图、(D-F)生物过程、细胞周期、分子功能类别中显著富集的前10个GO术语和(G-I)差异代谢物的火山图。(J)根据OPLS-DA模型的VIP评分筛选并排序的前50种差异代谢物
转录组学与代谢组学联合分析显示(图6),PET-NPs暴露显著扰动了L. rhamnosus的葡萄糖代谢核心通路,包括糖酵解/糖异生途径、磷酸戊糖途径和三羧酸循环。该扰动表现为基因表达与代谢物积累之间存在显著相关性。共现网络分析进一步表明,在A vs C组中构建了一个以葡萄糖-6-磷酸、柠檬酸等关键代谢物与gapA、gnd、ldh等糖代谢基因为核心节点的密集关联网络。外源葡萄糖补充后(A vs B组),该网络规模与连接数显著下降,核心节点进一步转向与胁迫适应相关的基因,表明葡萄糖干预在一定程度上缓解了PET-NPs所引起的代谢网络扰动,促使菌体代谢状态由应激响应向稳态恢复。综上,经IVD处理的MNPs通过破坏葡萄糖代谢网络完整性引发多层面生理毒性,而补充葡萄糖有助于在系统层面重塑代谢稳态。
图6.分别对 A与C、A与B、B与C三组配对比较进行的(A-C)KEGG通路富集分析 和 (D-F)基因-代谢物关联网络分析
综合表型、形态学与多组学分析结果,本研究阐明了经IVD处理MNPs通过破坏葡萄糖代谢网络,引发“中心碳代谢抑制-前体供应失衡-功能代谢受阻”的级联抑制作用机制(图7)。
图7. MNPs诱导的L. rhamnosus葡萄糖代谢显著抑制机制图
小结
本研究通过整合表型、转录组与代谢组学分析等,系统阐明了经IVD处理的MNPs通过负向调控葡萄糖代谢,从而扰乱肠道益生菌L. rhamnosus合成EPS与乳酸的作用机制。外源葡萄糖的补充实验进一步验证了该机制,并表明菌体对MNPs胁迫的耐受性高度依赖于其葡萄糖代谢网络的完整性。鉴于葡萄糖与中心碳代谢在肠道菌群中的基础性作用,MNPs可能对代谢适应力较弱、依赖特定代谢途径的共生或益生菌造成更显著的功能性抑制,从而破坏菌群结构稳定并诱发微生态失调。本研究为理解MNPs污染通过干扰代谢通路影响肠道菌益生功能提供了重要的机制框架。
作者介绍
第一作者:陶梦琦,
中南大学湘雅公共卫生学院,硕士研究生,主要研究方向为环境健康与污染防治,以第一作者在Journal of Hazardous Materials发表SCI论文1篇。
第一作者:王吉萍,
中南大学湘雅公共卫生学院,硕士研究生,主要研究方向为环境暴露-人体微生物组-健康效应,以第一作者在Journal of Hazardous Materials 与Science of the Total Environment 发表SCI论文各1篇。
通讯作者:张宪,
博士,中南大学湘雅公共卫生学院劳动卫生与环境卫生学系副教授、硕士研究生导师。多年从事环境健康与污染防治的基础研究,研究方向包括环境暴露-人体微生物组-健康效应、环境污染-微生物修复等。目前,主持国家自然科学基金青年基金和湖南省自然科学基金青年/面上项目等,以第一/通讯作者在Water Research、Chemical Engineering Journal、Journal of Hazardous Materials和Journal of Environmental Management等国际学术期刊发表论文数十篇。
联系方式:zixuange2010@126.com
文章来源
:
JHM Family
免责声明:
推送文章及图片系网络转载,版权归原作者和原出处所有。部分文章因转载众多,仅标明转载来源,若涉及版权问题,请联系我们。
【声明】内容源于网络
0
0
生态修复网
生态修复网成立于2011年,是我国生态建设与环境治理修复领域具有行业影响力和公信力的网络媒体,为“生态修复、生态产业、生态人居"三大生态工程体系提供政策市场、技术交流、人才培养、产业转化等服务,助力国家实现资源高效利用和可持续发展目标。
内容
6741
粉丝
0
关注
在线咨询
生态修复网
生态修复网成立于2011年,是我国生态建设与环境治理修复领域具有行业影响力和公信力的网络媒体,为“生态修复、生态产业、生态人居"三大生态工程体系提供政策市场、技术交流、人才培养、产业转化等服务,助力国家实现资源高效利用和可持续发展目标。
总阅读
2.1k
粉丝
0
内容
6.7k
在线咨询
关注