1、 引言
本案例通过力-热耦合分析方法,探究圆形激光载荷作用下玻璃板的温度分布及应力响应特性。通过开发定制化子程序生成激光热源,并结合温度-位移耦合分析步,建立高精度有限元模型,最终实现对温度场与应力场的多物理场耦合求解与结果分析。
2、 几何模型与材料参数
(1) 模型构建:建立三维实体模型模拟玻璃板,尺寸为178×127×0.3(需根据实际场景设定具体参数),
图1模型构建
(2) 材料属性:定义玻璃板的热物理参数(如导热系数、比热容、热膨胀系数)与力学参数(如弹性模量、泊松比),考虑材料属性随温度的非线性变化(如需)。
图2 材料属性构建
3、 激光热源子程序开发
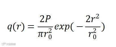
(1) 热源特性:采用高斯分布模拟圆形激光束,功率密度函数为:
其中,P为激光功率,r0为光斑半径,r为径向坐标
(2) 子程序实现:基于ABAQUS的用户子程序接口(如DFLUX或HETVAL),编写 Fortran/Python程序生成动态加载的圆形激光热源,通过时间-空间函数控制热源移动轨迹(如需模拟扫描过程)。
图3 使用荷载子程序
4、 计算结果与分析
(1) 温度场分布特征
1. 云图可视化:通过后处理软件显示不同时刻的温度场云图,典型结果包括:激光光斑中心区域出现局部高温峰值,温度梯度沿径向快速衰减;随时间延长,热扩散导致高温区域扩大,稳态时形成稳定温度分布。
2. 数据提取:提取特征点(如光斑中心、边缘)的温度 - 时间曲线,分析升温速率与峰值温度随激光功率 / 作用时间的变化规律。
图7 温度云图可视化
(2) 应力场响应规律
1. 热应力机制:温度梯度引发热膨胀失配,导致玻璃板内部产生 热应力,典型应力模式包括:
光斑中心区域出现压应力,边缘区域出现拉应力(需结合材料热膨胀特性判断);
瞬态过程中可能产生动态应力波动,需关注应力峰值位置与疲劳损伤风险。
2. 结果展示:通过应力云图识别高应力区域(如几何突变处或光斑边缘),提取主应力、等效应力(如von Mises应力)分布,评估材料失效风险(如开裂阈值)。
图8应力云图可视化
(3) 参数敏感性分析
对比不同激光功率、光斑尺寸、作用时间下的温度场与应力场差异,总结关键参数对结果的影响规律,为激光加工工艺优化提供理论依据。
5、 结论与拓展应用
(1) 结论:力-热耦合分析可有效揭示激光与玻璃板相互作用的多物理场行为,温度场的时空分布直接决定应力场的演化特征,高应力区域需通过工艺调整(如激光功率调制、冷却措施)降低损伤风险。
(2) 拓展:本方法可延伸至其他激光加工场景(如切割、焊接、表面处理)或材料类型(如金属、陶瓷),通过调整热源模型与边界条件实现跨领域应用。
附件:本案例中的abaqus模型文件(包括cae、odb和激光子程序)
▼ 附件内容扫描下方二维码获取 ▼
或点击文末阅读原文了解详情
// 热门活动推荐
--END--



