地磁暴对GNSS定位性能与数据质量的影响分析
王柳 楼立志 杨玲 符运日
(同济大学 测绘与地理信息学院, 上海 200082)
[摘 要]全球导航卫星系统(GNSS)在定位、导航和授时中起着至关重要的作用,而地磁暴现象会显著影响GNSS定位性能。为分析地磁暴对GNSS定位性能、观测数据质量及电离层扰动的影响,揭示定位性能下降背后的机制,本文以加拿大地区GNSS观测数据为基础,分析了地磁暴期间的定位误差、总电子含量变化以及周跳特征。结果表明,地磁暴期间,各测站的定位性能受到不同程度的影响;特定时间内,总电子含量显著变化,局部电离层空间活动指数(LISAI)大幅增长,电离层扰动增强;同时,观测数据质量下降,周跳频发,LISAI与周跳发生频率在一定范围内呈现显著的正相关性。本文的研究结果为提升地磁暴条件下的GNSS定位性能提供了有益参考。
[关键词]地磁暴;定位性能;局部电离层空间活动指数(LISAI);周跳
0 引言
全球导航卫星系统(global navigation satellite system,GNSS)作为现代导航与定位技术的重要组成部分,广泛应用于交通运输、农业、测绘和灾害监测等领域[1-3]。在常规条件下,GNSS具有较高的精度和可靠性,但在极端天气条件下,GNSS定位性能会受到显著影响,尤其是在地磁暴期间。地磁暴由太阳活动引发,通过扰动地球磁场,造成电离层的不规则扰动[4]。在磁暴期间,由于大量能量被注入磁层和电离层,电离层的电子密度和总电子含量通常会发生剧烈扰动。这些剧烈的电离层扰动会显著影响无线电信号在电离层中的传播特性,包括信号的幅度、相位、群时延等[5-6]。对于GNSS信号而言,这种影响可能引发周跳频发,甚至导致信号失锁,严重削弱导航定位的精度,从而限制GNSS在实时高精度位置服务中的应用。因此,深入研究地磁暴对GNSS定位性能的影响及其背后的机制,不仅具有重要的理论价值,更对提升GNSS系统在复杂空间环境下的稳定性和可靠性具有重要的实际意义。
近年来,大量研究分析了地磁暴对GNSS定位的影响。文献[7]表明,地磁暴会影响全球不同地区标准单点定位的定位性能。文献[8]评估了2003年万圣节风暴对欧洲地区全球定位系统(global positioning system,GPS)定位的影响,研究结果表明,电离层二阶信号延迟、总电子含量(total electron content,TEC)和磁场共同导致了精密单点定位(precise point positioning,PPP)精度的降低。此外,有研究表明,在电离层闪烁的影响下,标准单点定位(standard point positioning,SPP)的质量显著下降[9]。为了有效监测电离层扰动,学者们开发了一些关键的表征指标。文献[10]提出利用全球GPS网络监测电离层不规则性的方法,其中TEC指数率(rate of TEC index,ROTI)被广泛用于量化电离层电子密度的变化;文献[11]研究了高纬度地区的电离层闪烁现象,发现电离层闪烁对GPS信号的影响显著,特别是在极端空间天气条件下,这一研究为后续利用电离层活动指标监测扰动提供了依据。
地磁暴期间,GNSS观测数据的质量也会受到严重影响,主要表现为周跳现象频发以及定位误差增大。文献[12]对香港地区中等太阳活动条件下多GNSS电离层闪烁和周跳进行研究,发现强电离层闪烁显著增加了GNSS信号的周跳发生率,两者之间存在强相关性,对PPP和实时动态定位(real-time kinematic positioning,RTK)等GNSS应用的定位性能产生严重影响。文献[13]研究进一步表明,活跃的电离层扰动,将会使GNSS信号的质量变差,传统的周跳探测方法将会出现严重的误判和漏判问题。
针对地磁暴期间电离层扰动带来的定位精度下降问题,研究者们提出了多种应对策略。如选择为无几何组合(geometry-free,GF)设置一个经验性宽松阈值,或者直接停用GF方法以提高GNSS PPP在地磁暴中的性能[14-15]。文献[16]则考虑根据电离层扰动指数ROTI建立GF周跳探测阈值模型,降低周跳误检率,从而提高强磁暴条件下GNSS PPP精度。文献[17]提出GF自适应阈值的周跳检测技术,并将其应用于精密单点定位中,证明了其在地磁暴期间可以有效降低周跳误判率,提升定位稳定性。
虽然已有大量研究揭示了电离层扰动对GNSS定位性能的显著影响,但针对这一复杂现象的定量评估及应对策略的制定仍存在诸多难点。本文研究了2017年9月8日强地磁暴期间加拿大地区的GNSS定位性能变化,结合局部电离层空间活动指数(local ionospheric activity index,LISAI)和周跳数据,系统分析了磁暴对GNSS数据质量和定位精度的影响。研究结果不仅可以为未来提升GNSS系统在复杂空间环境下的适应性提供了依据,也为提升极端空间天气条件下GNSS定位可靠性提供了参考。
1 数据与方法
本文选取加拿大连续运营参考站(continuously operating reference station,CORS)在2017年9月3日至12日共10 d的GPS观测数据,用于磁暴期间的定位性能、电离层扰动和观测数据质量分析。
实验采用GNSS解析定位软件(GNSS analysis and positioning software,GAMP)对加拿大地区不同经度和纬度的部分测站进行伪距单点定位(SPP)、静态PPP(static precise point positioning,SPPP)和动态PPP(kinematic precise point positioning,KPPP)处理,分析磁暴期间的定位性能。
在进行电离层扰动分析时,通过无组合精密单点定位(uncombined precise point positioning,UC-PPP)方式提取区域的斜径总电子含量(slant total electron content,STEC),并利用式(1)进一步转化为垂直总电子含量(vertical total electron content,VTEC):
式中,用IVTEC和ISTEC分别表示VTEC和STEC;z代表电离层穿刺点的天顶角。
随后利用VTEC计算局部电离层空间活动指数(LISAI)[18]。VTEC和LISAI分别是表征电离层电子密度的关键参数以及电离层活动的关键指标。VTEC值越大,电离层中的电子含量越高;VTEC空间变化越大,LISAI值越大,电离层扰动越强烈。
LISAI指标的计算,基于局部区域内VTEC值的空间变化。首先,选择一个参考点,即某个电离层穿刺点(ionospheric pierce point,IPP),然后在该参考点周围的预定义半径范围内,搜索相邻的IPP点,并计算这些相邻IPP点的VTEC值的标准差。标准差越大,表示电离层空间梯度变化越强烈。如果在预定义半径内的IPP数量不足,则逐步扩大搜索半径,直到满足最小IPP数量或达到最大半径限值。通过这种方式计算得到的LISAI指标能够定量反映局部电离层的空间梯度的变化强度,并以此来衡量电离层的活动情况。
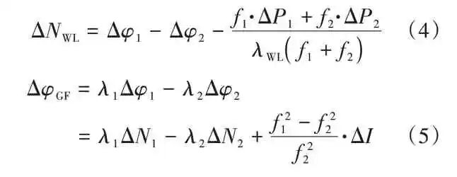
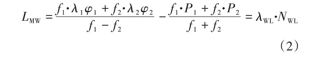
为探讨磁暴期间观测数据质量的变化,对观测数据中的周跳现象进行分析。采用图尔博编辑器(TurboEditor)对GPS双频伪距和载波相位观测值进行了处理,分别构造了墨尔本-维贝纳(Melbourne-Wübbena,MW)组合和GF模型,通过这种组合方式来进行周跳探测[19],可以更为准确地识别磁暴期间观测数据中的周跳现象,从而为后续定位精度和电离层扰动分析提供了高质量的数据支持。其中MW组合的表达式为
式中,f1和f2是L1和L2的频率;λ1和λ2是L1和L2的载波波长;φ1和φ2是载波相位观测值;P1和P2是伪距观测值;λWL是宽巷波长;NWL是宽巷模糊度。其中λWL=c/(f1-f2)≈0.86 m,NWL=N1-N2,N1、N2为L1、L2波段的相位模糊度,c为GNSS信号在真空中的传播速度。
无几何模型的表达式为
I为L1波段上的电离层延迟改正量,单位为m。
进一步对上述模型前后相邻间的历元做差,可构造的公式为
式中,Δ表示单次差分算子,由于历元间差分消除了大部分电离层延迟误差,因此,
通常可忽略不计,公式(4)、(5)即为进行周跳探测的统计量[20]。
2 实验结果与分析
2.1 磁暴及定位性能分析
2017年9月6日,相继爆发了两次太阳耀斑,其造成的影响经过一段时间的传播到达地球附近,在9月7—8日期间形成强磁暴。此次强磁暴的过程如图1所示。横轴为磁暴发生前后的时间表示,纵轴为地磁活动指数:全球K指数(planetary k-index,Kp)Kp和磁暴时段扰动指数(disturbance storm-time index,Dst)Dst。
图1 2017年9月6日至8日地磁活动指数
从图1中可以看出,从2017年9月7日21∶00开始,Kp指数明显增加,达到最大值8;Dst指数明显下降,下降期间最小值达到-148 nT,表明这是一次典型的强磁暴现象。
实验利用加拿大CORS站中的STJO、SASK、BAKE三个测站的GPS观测数据,进行SPP、SPPP与KPPP实验。时间选用2017年9月8日(磁暴期)和9月6日(平静期)。
图2显示了SASK测站在磁暴期间与平静期不同定位方法下的定位误差的时间序列图。图2中,蓝色、绿色、红色分别表示东向、北向和天向的定位误差。
图2 SASK测站东、北、天三方向定位误差时序图
从图2中可以看出,磁暴发生期间,三种定位方法均受到了不同程度的影响。其中,SPP的定位误差显著增大,尤其是在天向误差方面最为明显;SPPP的整体误差较小,但其收敛时间明显延长;而KPPP则在特定时间段(Dts指数较低,磁暴较强的阶段)内定位误差急剧增大。这表明,地磁暴发生时会对GNSS定位性能造成显著干扰,影响定位的精度和收敛特性。
为进一步验证磁暴对GNSS定位精度的影响,表1统计了SASK、STJO、BAKE三个测站在平静期和磁暴期分别采用不同定位处理方法后的东、北、天三方向的均方根误差(root mean square error,RMSE)。
表1 各测站SPP、SPPP、KPPP在东、北、天三方向的均方根误差单位:m
从表1中可以看出,STJO测站在地磁暴期间的定位结果相对稳定,而SASK和BAKE测站的定位结果受磁暴影响较大。SPP模式下,各测站的定位误差在磁暴期间显著增大,尤其是在天方向,表现出较强的不稳定性。此外,KPPP模式下的定位误差也呈现出相同的规律,其中BAKE测站在天方向的均方根误差更是从0.575 m显著增大至1.239 m,表明磁暴活动对测站的动态高精度定位产生了显著影响。
2.2 磁暴期间的电离层扰动分析
在前面实验分析的基础上得出结论:地磁暴期间各测站的定位性能均受到不同程度的影响,尤其是在动态精密单点定位模式下,误差显著增加。为进一步探究定位性能下降的机理,本节对加拿大地区不同时间的LISAI指数进行了详细分析,以揭示地磁暴期间的电离层扰动与定位性能之间的关系。实验基于加拿大CORS网的观测数据,分析地磁暴发生前后的电离层扰动特征,并通过LISAI进行表征。
图3为加拿大地区CORS网在平静期和磁暴期这两天不同时刻,电离层穿刺点处的LISAI空间分布图。图中选取了0∶00∶00、2∶00∶00、4∶00∶00和6∶00∶00四个时刻。穿刺点的颜色从蓝色到红色渐变,颜色越接近红色,表示LISAI数值越大,电离层扰动越强。
图3 加拿大地区2017年9月6日(平静期)和8日(磁暴期)LISAI分布
从图3可以看出,9月6日期间,电离层状态相对平稳,各时刻的总电子含量分布变化较小,LISAI指数维持在一个较低水平,表明电子密度的时空变化较小、电离层扰动强度低,电离层穿刺点分布较为均匀。然而,随着地磁暴的发生,9月8日这一天LISAI指数的时空变化明显增强,尤其是在0 h和2 h,LISAI指数达到高值,表明该时间段内电离层密度梯度变化剧烈,电离层扰动增强。随着时间推移,LISAI指数有所回落,但仍然高于平静期水平,表明电离层尚未完全恢复至平静状态,扰动持续时间较长。
进一步结合地磁指数分析发现,当地磁指数Dst较小时,LISAI指数较大,电离层扰动增强。这一现象说明磁暴的发生导致了电离层异常增强,影响了GNSS信号的传播路径,进而影响了GNSS的定位性能。该结果验证了LISAI指数对电离层扰动的敏感性,并进一步揭示了磁暴对GNSS定位性能的影响机制。
2.3 磁暴期间的数据质量分析
本节对地磁暴发生前后的GNSS观测数据质量变化进行分析,重点研究了SASK测站的周跳特征,以分析地磁暴对观测数据质量的影响。图4展示了SASK测站在平静期和磁暴期的周跳时序变化情况。横轴表示时间,纵轴表示周跳数,红色和蓝色分别对应磁暴期和平静期的周跳数分布。
图4 SASK测站周跳数时序图
结合2.1节及2.2节的内容,由图4可以看出,在地磁暴期间,SASK测站的周跳数量显著增加,尤其在KPPP定位精度显著下降的时段,周跳现象急剧增多。相比之下,平静期的周跳数量保持在较低水平。说明地磁暴的发生对GNSS信号传输产生了显著影响,导致观测数据质量下降,进而影响了测站的定位性能。
基于以上实验分析,可得出结论:地磁暴不仅会增强电离层扰动,改变电离层电子密度分布,还会影响GNSS观测数据质量,增加周跳数量,从而降低GNSS定位的稳定性和精度。
为进一步探究电离层扰动与GNSS观测数据质量之间的关系,实验对加拿大地区磁暴前后10 d的数据进行了统计分析。图5展示了不同LISAI指数区间下周跳发生概率(即同一历元下所有测站的周跳卫星数与总观测卫星数之比)以及IPP数量的统计结果。
图5 不同LISAI指数区间下的周跳发生率与IPP数量统计
从图5(b)可以看出,LISAI指数在大多数时间内分布于较低值区间,表明在这段时间内,电离层在大部分时间处于较为平稳的状态。而图5(a)则表明,在LISAI指数较高的时段,周跳发生的概率也显著增加,周跳发生频率与LISAI指数之间存在明显的正相关性。这一结果表明,当电离层活动增强时,GNSS信号的稳定性下降,观测数据质量恶化。
3 结束语
本文基于加拿大地区CORS站的观测数据,针对2017年9月8日发生的强地磁暴事件进行系统性分析,揭示了地磁暴活动对定位性能、电离层扰动以及观测数据质量的影响,研究结果可为后续改进磁暴期间GNSS定位性能提供重要参考,主要结论如下:
1)地磁暴期间,GNSS测站的各定位模式均受到了不同程度的影响。与平静期相比,SPP模式的定位误差增大;SPPP模式的收敛时间延长;KPPP模式在特定时间段内误差急剧增大,地磁暴对精密定位模式的影响尤为显著。
2)磁暴发生后,LISAI指数大幅增长,虽在一定时间内有所回落,但仍高于正常水平,电离层总电子含量时空分布发生显著变化,对GNSS信号传播产生了不利影响。
3)以SASK测站为例,周跳频发的时间段与KPPP模式下定位精度下降的时间段高度一致,观测数据质量恶化导致了定位性能下降。
4)电离层指标LISAI与周跳发生率之间存在显著的正相关关系,为提升地磁暴条件下GNSS定位性能提供了新的思路与潜在途径。
参考文献
[1]何秀凤,高壮,肖儒雅,等.InSAR与北斗/GNSS综合方法监测地表形变研究现状与展望[J].测绘学报,2022,51(7):1338-1355.
[2]姜卫平,梁娱涵,余再康,等.卫星定位技术在水利工程变形监测中的应用进展与思考[J].武汉大学学报(信息科学版),2022,47(10):1625-1634.
[3]张小红,胡家欢,任晓东.PPP/PPP-RTK新进展与北斗/GNSS PPP定位性能比较[J].测绘学报,2020,49(9):1084-1100.
[4]GONZALEZ W D,JOSELYN J A,KAMIDE Y,et al.What is a geomagnetic storm?[J].Journal of Geophysical Research:Space Physics,1994,99(A4):5771-5792.
[5]吴志文,詹艳春,唐国礼,等.不同地磁暴强度下非差非组合PPP定位性能分析[J].测绘科学,2024,49(1):41-49.
[6]ZAKHARENKOVA I,CHERNIAK I.Effects of storm-induced equatorial plasma bubbles on GPS-based kinematic positioning at equatorial and middle latitudes during the September 7-8,2017,geomagnetic storm[J].GPS Solutions,2021,25(4):132.
[7]LI Q,SU X,XU Y,et al.Performance analysis of GPS/BDS broadcast ionospheric models in standard point positioning during 2021 strong geomagnetic storms[J].Remote Sensing,2022,14(17):4424.
[8]BERGEOT N,BRUYNINX C,DEFRAIGNE P,et al.Impact of the Halloween 2003 ionospheric storm on kinematic GPS positioning in Europe[J].GPS solutions,2011,15:171-180.
[9]DEMYANOV V V,ZHANG X,LU X.Moderate geomagnetic storm condition,WAAS alerts and real GPS positioning quality[J].Journal of Atmospheric Science Research,2019,2(1):10-23.
[10]PI X,MANNUCCI A J,LINDQWISTER U J,et al.Monitoring of global ionospheric irregularities using the worldwide GPS network[J].Geophysical Research Letters,1997,24(18):2283-2286.
[11]LINTY N,MINETTO A,DOVIS F,et al.Effects of phase scintillation on the GNSS positioning error during the September 2017 storm at Svalbard[J].Space Weather,2018,16(9):1317-1329.
[12]LUO X,LIU Z,LOU Y,et al.A study of multi-GNSS ionospheric scintillation and cycle-slip over Hong Kong region for moderate solar flux conditions[J].Advances in Space Research,2017,60(5):1039-1053.
[13]ZHAO D,HANCOCK C M,ROBERTS G W,et al.Cycle slip detection during high ionospheric activities based on combined triple-frequency GNSS signals[J].Remote Sensing,2019,11(3):250.
[14]ZHANG X,GUO F,ZHOU P.Improved precise point positioning in the presence of ionospheric scintillation[J].GPS Solutions,2014,18:51-60.
[15]RODRÍGUEZ-BILBAO I,RADICELLA S M,RODRÍGUEZCADEROT G,et al.Precise point positioning performance in the presence of the 28 October 2003 sudden increase in total electron content[J].Space Weather,2015,13(10):698-708.
[16]LUO X,DU J,LOU Y,et al.A method to mitigate the effects of strong geomagnetic storm on GNSS precise point positioning[J].Space Weather,2022,20(1):e2021SW002908.
[17]SU X,ZENG J,ZHOU Q,et al.Initial study of adaptive threshold cycle slip detection on BDS/GPS kinematic precise point positioning during geomagnetic storms[J].Remote Sensing,2024,16(10):1726.
[18]BLEWITT G.An automatic editing algorithm for GPS data[J].Geophysical Research Letters,1990,17(3):199-202.
[19]YANG L,FU Y,ZHU J,et al.GNSS ionospheric integrity monitoring based on RBF-NN:constructing single-epoch snapshot GIVD and GIVE maps[J].Journal of Geodesy,2024,98(4):31.
[20]GENG W,HUANG W,LIU G,et al.The distribution characteristics of GPS cycle slip over the China mainland and adjacent region during the declining solar activity (2015—2018) period of solar cycle 24[J].Radio Science,2021,56(5):1-15.
[中图分类号]P228.4
[文献标识码]A
[文章编号]1007-3000(2025)08-1218-07
引文格式:王柳,楼立志,杨玲,等.地磁暴对GNSS定位性能与数据质量的影响分析[J].北京测绘,2025,39(8):1218-1224.
[收稿日期]2025-03-10
[基金项目]国家自然科学基金(42274030)
[作者简介]
王柳(1998—),女,安徽宿州人,硕士在读,研究方向为GNSS数据处理与质量控制。
E-mail: LiuWang@tongji.edu.cn
[通信作者]楼立志,E-mail:llz@tongji.edu.cn

