
诚邀各领域专家学者、从业者及机构投稿或荐稿
与30余万行业精英分享与共同发展
投/荐稿邮箱:tougao@sinotf.com
金融危机爆发之后,流动性约束被国际金融监管组织纳入金融监管的框架,与资本约束成为银行监管的双重要求,也对货币政策的传导机制产生了新的影响。本文通过引入流动性危机情况下的存款赎回函数,构建理论模型验证了不同的流动性赎回假设下银行风险承担与货币政策的非线性关系,并基于2009年至2014年我国上市银行的年度数据,采用面板门限回归模型验证了流动性约束对货币政策的银行风险承担渠道的门限效应。研究发现,在流动性约束下,货币政策对银行风险承担的影响存在门限效应,货币政策传导的敏感性随着银行流动性风险的上升而提高。敬请阅读。
文/姚舜达(天津财经大学经济学院);朱元倩(中国银监会)
来源:《金融评论》
货币政策目标的实现需要通过银行等金融机构进行传导,货币政策的有效性很大程度上取决于其传导渠道的有效性。
然而,银行等金融机构的理性行为是在金融监管的约束下,以追求利润最大化为目标的,这可能导致银行在货币政策传导中的行为与货币政策调控的初衷有所背离,从而导致货币政策效果减弱或失效,甚至还会导致金融体系的系统性风险,影响金融稳定。
近年来,将金融稳定纳入货币政策目标的讨论也再次步入经济学领域的主流。因此,在金融监管的约束下讨论货币政策的有效性不仅对货币政策的制定具有较大的指导意义,同时也利于从金融监管与货币政策相协调的角度控制金融体系的系统性风险。
国际金融危机爆发后,各国监管当局和国际金融组织纷纷提出了一系列金融改革的规则,在资本约束之外,流动性约束首次被正式提出,并成为与资本约束平行的双重监管体系。
然而,目前从流动性约束的视角考察货币政策传导有效性的文章还不多见。基于此,本文分别从理论分析和实证检验的角度验证流动性约束下我国货币政策的银行风险承担渠道的有效性。
本文的内容安排如下:
第一部分为国内外文献回顾,分析了货币政策的银行风险承担渠道理论及本源性实证研究探讨。
第二部分从金融理论的角度分析流动性约束对银行风险承担渠道的影响;
第三部分建立了理论模型,从数理推导的角度讨论在流动性约束下,货币政策与银行风险承担行为的关系;
第四部分建立实证模型,首次运用门限面板模型捕捉流动性约束下货币政策对银行风险承担的门限效应;
第五部分,对所得实证结果进行分析并得出结论;
第六部分,对全文进行总结并给出相应的政策建议。
一、文献综述
在市场经济中,货币政策传导渠道是指货币政策的变动影响实体经济所通过的途径。西方各经济学派对于货币政策传导渠道的争论源自20世纪30年代。
在凯恩斯宏观经济理论下,该争论逐渐集中到货币渠道和信贷渠道上(Joseph E . Stiglitz and Andrew Weiss , 1981)。货币渠道认为,当货币供应量增加时,利率水平降低,人们所持货币的收益随之减少。在这种情况下,人们会加大利益的搜寻,主要途径是购买企业债券。
此时企业意识到在利率水平降低时自身投资收益为正值,则会扩大债券的发行规模,投资水平也随之增加。信贷渠道自20世纪80年代起受到普遍关注,一般认为有两种作用路径。
一种是货币政策的变动会导致利率变化,直接影响企业的融资成本,从而决定投资规模的大小 (Bernank and Gertler, 1990);
另一种是由于中小企业过度依赖银行信贷资金供应,此时货币政策的变动会对实体经济造成直接冲击。
两种传统货币政策传导渠道基于一个共同的假设,即银行等金融中介是风险中立的。然而,Borio and Zhu (2008) 提出,由于信息不对称和政府隐性保险制度,银行表现出非风险中立性,此时货币政策的传导存在银行风险承担渠道,具体描述为“银行风险认知或风险容忍度对政策利率变化的影响,同时也影响着资产组合定价、价格与非价格条款扩展资金的风险”。
关于货币政策的银行风险承担渠道,学者们主要从以下三个方面对其开展了研究:
一是银行风险承担渠道的识别与效应分析。银行风险承担渠道提出之后,学者们纷纷对各国货币政策是否存在银行风险承担渠道进行验证,Altunbas et al. (2014) 将证券化业务及监管力度等要素考虑在内,引入宏观经济特征变量和银行微观变量对信贷渠道进行控制,从而验证了美国和欧元区银行风险承担渠道的存在性;Ramayandi et al. (2014) 采用四种不同度量银行风险承担的方法,分别验证了亚洲主要经济体中银行风险承担渠道的存在性。
Bonfim and Soares (2014) 使用葡萄牙的银行贷款数据,认为银行的风险承担与货币政策成负相关;Jiménez et al. (2014) 则使用西班牙的银行贷款数据,通过模型分离出银行信贷供给成分的变化,以识别银行风险承担渠道。
国内学者张雪兰和何德旭(2012)、张强等(2013)、刘晓欣和王飞(2013)以及金鹏辉和张翔(2014)分别通过系统GMM、差分GMM和SVAR模型,对我国货币政策的银行风险承担渠道进行了验证。
在此基础上,学者们分别对影响银行风险承担渠道的因素进行了研究,部分学者认为银行风险容忍度与委托-代理问题的严重程度呈正相关,即委托-代理问题越严重,越能激发银行的风险承担 (Freixas et al., 2009; Adrian and Shin, 2010;Acharya and Naqvi, 2012;Dell’ Ariccia et al., 2013)。部分学者认为银行风险承担程度与市场约束(许友传,2009;谭中和粟芳,2011;)、银行资本水平(宋琴和郑振龙,2011;徐明东和陈学彬,2012;张敬思和曹国华,2016)、利率市场化水平(李仲林,2015;项后军等,2016)相关。此外,还有部分学者对银行风险承担的异质性进行了检验。
潘敏和张依茹(2012)发现股权结构不同的商业银行对于宏观经济波动的敏感性存在差异;张中元(2014)指出银行监管与经济体监管的交互会导致银行风险承担的异质性;刘生福(2014)对系统重要性银行与一般银行加以区分,发现系统重要性银行在面对货币政策变动时风险态度更为审慎。
二是资本约束下的银行风险承担分析。银行的理性行为应是在监管约束的条件下追求利润最大化,因此在仅有资本约束的时代,探讨资本约束对银行风险承担渠道的扭曲是一个主要的研究方向。综合已有国内外成果来看,大致存在两种对立观点:
第一种观点认为,资本约束会增强银行风险承担。在资本约束下,银行会不断调整其资产配置,并且随着资本价格的提高银行可能会选择风险更高的业务 (Koehn and Santomero, 1980; Iwatsubo, 2007)。
第二种观点则正好相反,认为资本约束会减弱银行风险承担。Furlong and Keeley (1989) 指出在资本约束下,银行将降低风险资产比例,风险承担随之减弱。
国内学者宋琴和郑振龙(2011)从反向入手,建立银行资本水平与风险承担的数理模型,发现在无资本监管的情况下,银行的破产概率会提高。
田娇和王擎(2015)将资本充足率与核心资本充足率作为资本监管的代理变量,发现两者对银行风险承担具有抑制作用。更进一步,近年来不少研究聚焦于资本约束对银行风险承担的非线性影响,江曙霞和陈玉婵(2012)在Dell’ Ariccia (2010) 的模型中引入法定存款准备金,发现资本约束对于货币政策下的银行风险承担渠道具有门限效应。
郭丽丽和李勇(2014)首先构建在法定存款准备金率和资本充足率双重约束下的商业银行利润函数,随后通过面板门限回归模型检验资本约束与银行风险承担之间存在的门限效应。
张敬思和曹国华(2016)参考宋琴和郑振龙(2011)的模型,并加入资本约束条件,先通过数理推导得出资本水平对银行风险承担的非线性影响,再利用动态面板门限回归模型进行了验证。
三是流动性约束对银行风险承担的影响。近年来,流动性约束已经逐渐被提升至资本约束相同的地位,但是从流动性约束的角度分析银行风险承担的研究仍旧很少,仅Acharya and Naqvi (2012)提出若银行流动性泛滥,银行风险容忍度将提高,在宽松的货币政策下可能会带来金融体系的风险隐患。
李沂(2014)则认为货币政策的流动性传导离不开流动性调整、银行风险预期、资金使用成本和价格之间的交互。现有关于流动性约束和银行风险承担的研究大多没有考察货币政策的风险承担渠道,而仅仅分析了流动性约束和银行风险的关系。但关于流动性约束对银行风险承担的影响仍存在争议。
一些学者认为,适当的流动性约束能提高银行风险承担的灵活性 (Povel and Raith, 2004; Fonseca et al., 2010)。Viral and Hassan (2012) 从委托-代理问题的角度出发,认为在信息不对称的情况下,银行的流动性水平与其风险承担成正比。
另一些学者认为,银行流动性水平的提高可能会引起“流动性困境” (Myers and Rajan, 1998),即如果银行流动性水平超过一定界限,则会对其风险承担造成影响。贾丽平(2015)认为,流动性波动削弱了货币政策的灵活性,商业银行应重视现金流的预测和分析以降低短、长期流动性风险。
流动性波动带来的显、隐性风险会改变银行的风险认知,即影响银行的风险承担。当前,国内尚没有学者专注于流动性约束对货币政策风险承担渠道的影响进行研究,本文将对这一问题进行拓展。
二、流动性约束下的银行风险承担渠道
本文构建了货币政策传导渠道作用机理如图1所示。从政策工具来看,
一方面,中央银行根据货币政策目标选择货币政策工具,对基础货币和基准利率进行调整;
另一方面,金融监管部门根据金融稳定等目标选择金融监管工具,防范银行体系的风险。
但不论对于货币政策还是金融监管而言,其政策传导都要通过金融机构和金融市场来实现。在以银行主导的间接融资为主的金融体系下,银行不仅是货币政策传导渠道的主要载体,更是金融监管工具的实施对象,同时银行又是以实现利润最大化为理性目标的经营主体。
因此,在金融监管的约束下,银行在自身经营中如何进行风险承担,将成为影响货币政策传导有效性的重要因素,进而对货币政策最终目标实现的有效性产生影响。
货币政策的传导与银行风险承担的交互过程遵循如下的路径:当货币政策的中介目标发生改变后,
一方面,市场通过宏观流动性的变化释放了更多的流动性,同时促使银行调整流动性风险预期,进而改变银行资产配置,对信贷供给产生影响;
另一方面,市场通过引导利率变动,改变资金的使用成本和价格,同时对银行信贷供给产生影响,而银行信贷供给的变化也会进一步影响银行的流动性风险承担。
基于交互过程后的信贷供给,将对国民经济增长产生影响,从而实现货币政策的最终目标。

根据Borio and Zhu (2008、2012) 的观点,银行风险承担渠道的作用机理主要有四个,即估值、收入和现金流效应、利益搜寻效应、央行沟通与反应函数效应以及习惯形成路径。在此基础上,我们将探讨流动性约束下银行风险承担渠道的作用机理。
首先,流动性约束对估值、收入和现金流效应存在扭曲。银行风险承担渠道的估值、收入和现金流效应(Borio and Zhu, 2008)是指利率的降低提高了资产价格、抵押品价值,从而扩大了银行收入,使得银行风险感知能力降低或风险容忍度增加。然而,在流动性约束下,当利率降低时,当前资产价格的上升可能正是资产价格泡沫的累积期,对未来资产泡沫破灭的预期,即未来是否能满足流动性约束的要求将直接影响银行当前的风险容忍度;而当利率上升时,资产价格和抵押品价值可能会出现螺旋式下降,从而极大的降低了银行的风险容忍度,这也是金融危机中金融市场的实际表现。
其次,流动性约束对利益搜寻效应将产生调整。银行风险承担渠道的利益搜寻效应 (Rajan, 2006) 是指宽松的货币政策降低了无风险资产收益率,即投资无风险资产的补偿较低,以激励银行搜寻风险更高的资产。同时,银行存贷款利差减小,使得银行利润率降低,进一步刺激银行“利益搜寻”。这一现象可以归因于短期低利率和目标收益率“粘性”之间的交互。在流动性约束下,高风险的资产往往伴随着低流动性,这种“粘性”的强弱可能会发生转变,影响银行的风险认知和行为导向。例如,当银行的流动性水平较低时,银行可能在搜寻更高风险资产的过程中表现的有心无力。此外,银行之间存在信息不对称、低利率驱动的逆向选择问题,也可能会在流动性约束的影响下进一步放大。
再次,流动性约束对央行沟通与反应函数效应的干扰。银行风险承担渠道的央行沟通与反应函数(Borio and Zhu, 2012)效应可以从两方面说明:一是“透明度效应”,是指央行货币政策透明度的提升将减少市场的不确定性,压缩风险溢价,进而释放银行的风险预算,增强风险承担。二是“保险效应”,如果央行将采取宽松的货币政策来应对负面冲击成为了一致性预期,那么银行风险承担也会增强。对于上述两种效应,流动性约束的存在都将成为影响银行风险预算的重要因素,对该效应的实现形成干扰。
最后,流动性约束将强化习惯形成路径(含一部分预期效应)。该机理源于资产定价模型在长期低利率时期预测高信用利差 (Longstaff and Schwartz, 1995; Dufresne et al., 2001; Altunbaş et al., 2010),强调历史习惯对于投资者(银行)风险承担的影响。Campell and Cochrane (1999)指出,在经济扩张时期,若消费水平恢复到相对正常水平,投资者(银行)会产生风险厌恶。因此,宽松的货币政策配合实体经济的发展,可能会降低投资者(银行)的风险厌恶。同理,当经济经历了长期的低风险、低利率环境,投资者(银行)对未来的预期可能保持乐观。然而,在低利率环境下宏观流动性的充裕可能会进一步加剧投资者的过分乐观,从而对该预期形成强化。
综合上述,流动性约束的存在,对货币政策的风险承担渠道产生了一定的影响。下文将分别从理论模型和实证分析的角度对该影响进行验证。
三、理论模型
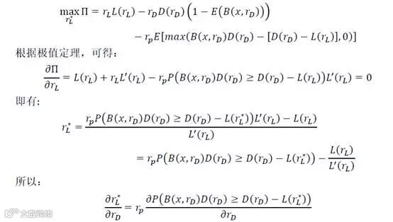
本文参考Acharya et al. (2012) 的模型,引入与货币政策相关的存款赎回函数,构建了考虑流动性危机情况下的理论模型。假设货币政策变量为存款利率rD,则银行存款为利率rD的函数D(rD),满足D’(rD)>0,即利率越高,存款越多;假设银行贷款利率为rL,银行贷款为贷款利率的函数L(rL),满足L’(rL)<0。假设银行存款的流失率与货币政策相关B(x,rD),其中x是描述存款流失的随机变量,满足0<B(x,rD)<1,则存款流失的数量为B(x,rD) D(rD),可使用的现金为D(rD)- L(rL),如果B(x,rD) D(rD)> D(rD)- L(rL),银行将面临流动性危机,银行将不得不花费高额成本弥补流动性缺口,假设该成本是缺口的rp倍,满足rp>rL>1。
基于以上假设,银行利润由三个部分组成:银行贷款的收益、银行存款的利息支出、流动性缺口的成本。银行将基于货币政策的变化,基于对存款流失率的预测,进行贷款定价从而实现利润的最大化,即:



(1)存款流失率与货币政策正相关
货币政策紧缩时,存款流失严重,随着存款利率的上升,银行最优的贷款利率也随即上升,贷款减少,紧缩货币有效。
货币政策宽松时,存款流失减少,随着存款利率的下降,银行最优的贷款利率也随即下降,贷款增加,宽松货币有效。
(2)存款流失率与货币政策负相关
货币政策紧缩时,存款流失减少,存款增多,随着存款利率的上升,银行最优的贷款利率相反会下降,贷款也随着存款的增多而增多,紧缩货币政策失效。
货币政策宽松时,存款流失增加,存款减少,随着存款利率的下降,银行最优的贷款利率相反会上升,贷款也随着存款的减少而减少,宽松货币政策失效。
四、实证模型
上述理论模型显示,货币政策对银行风险承担的影响在流动性约束下呈现出非线性特征,即不同的流动性水平可能对货币政策的银行风险承担渠道产生不同程度的影响。下文将构建实证模型对该影响进行分析。
(一)模型设计
从国内对资本约束下银行风险承担渠道进行研究的实证模型来看,动态面板模型最为常用,其中可分为系统GMM(张雪兰和何德旭,2012;代军勋和李俐璇,2016) 和差分GMM(徐明东和陈学彬,2012;沈沛龙和王晓婷,2015);静态面板模型集中在固定效应模型(方意等,2012;牛丽娟,2015)和随机效应模型(韩博和霍强,2016;刘青云,2017)的选择上。此外,还有由VAR模型衍生出的各类子模型(金鹏辉等,2014;孙建雅等,2014)。近年来出现的面板门限回归模型(江曙霞和陈玉婵,2012;郭丽丽和李勇,2014;张敬思和曹国华,2016)为银行风险承担渠道带来了全新研究视角。
从模型功能来看,动、静态面板模型和VAR模型及其衍生子模型大多研究银行风险承担渠道的存在性及其与货币政策的相关性问题,而难以进一步验证非对称效应与最优区间等问题。鉴于此,本文借鉴Hansen (1999) 提出的面板门限回归模型(Panel Threshold Regression Model)的研究思路,试图捕捉流动性约束对货币政策银行风险承担渠道的非线性影响。
面板门限回归模型的关键在于对门限值的估计,Hansen (1999) 的做法是将门限变量的每个数值分别代入模型进行回归,得到残差平方和最小的即为门限值。我们将面板门限回归模型应用于验证流动性约束下货币政策的银行风险承担渠道的门限效应。鉴于此,本文的面板门限回归模型可描述为:

其中LIQ为门限变量,反映银行的流动性约束。λ为流动性约束的门限值,I(LIQ≤λ)表示当LIQ≤λ时,值为1;当LIQ>λ时,值为0。RISKit为被解释变量,代表银行风险承担;Mit为核心解释变量,代表货币政策代理变量;Xit为控制变量,代表影响银行风险承担的其他变量;εit为残差项。
(二)变量设计
1.被解释变量
从银行风险承担的本质来看,预期违约概率EPD应是首选指标,但考虑到EPD数据基本不可得,仅有牛晓健和裘翔(2013)通过手工计算得出。Z-score值仅反映银行破产风险而非风险承担(Agoraki et al., 2011),贷款损失准备金是银行预留以应对坏账,但央行在危机来临时出手救助可能性很大(王周伟和王衡,2014),使得该指标不够准确。不良贷款率(NPL)作为银行风险承担的代理变量时,资产负债表渠道会产生干扰,存在被动稀释现象。鉴于此,本文选择加权风险资产比率RRWA作为银行风险承担的主要代理变量,反映银行对事前风险的主动风险承担;不良贷款率NPL作为稳健性检验的辅助代理变量,反映银行对事后风险的被动风险承担。
2.核心解释变量
为增强模型的可行性与解释力,并考虑数据可得性,本文自行计算流动性比率LIQ来模拟银行受到的流动性约束;参考江曙霞和陈玉婵(2012)的研究,货币政策的代理变量选取法定存款准备金率RR、一年期贷款基准利率RATE。
3.控制变量
本文主要从宏观经济特征和影子银行发展角度选取控制变量。宏观经济特征代理变量包括GDP年增长率GW和房地产投资年增长率House;同时考虑影子银行的发展所带来的影响,选取影子银行规模Shadow作为代理变量。

(三)样本与数据
基于数据可得性,本文数据来自我国20家上市银行2009至2014年的年度平衡面板数据,共960个数据。其中样本银行为数据相对完整的上市银行,包括工商银行、中国银行、建设银行、交通银行、中信银行、华夏银行、民生银行、兴业银行、平安银行、上海浦东发展银行、浙商银行、北京银行、锦州银行、上海银行、江苏银行、南京银行、宁波银行、徽商银行、重庆银行和郑州银行。
考虑到本文主要讨论金融危机之后流动性约束加强后我国银行体系的风险承担,以及自2009年起影子银行的发展所带来的影响,因此数据期限选自2009年。本文银行数据主要来源于Bankscope数据库、国泰安数据库以及各家银行公开披露的年报。宏观经济特征数据和影子银行规模数据来源于中国人民银行网站、国家统计局网站和Wind数据库。个别缺失数据采用线性插值法予以补充。本文基于Stata13.1MP完成实证分析过程。具体指标的描述性统计结果如下表所示:

五、实证分析
(一)门限效应检验
门限效应检验与传统假设检验的不同在于,原假设成立时无法得到门限估计值,使得传统检验的F统计量在大样本情况下不符合标准“卡方分布”(江曙霞和陈玉婵,2012)。Hansen (1996) 提出自助抽样法(Bootstrap)得到渐近P值,从而实现对零假设的统计检验。Hansen (1999) 进一步提出LR(极大似然率)统计量来构造原假设成立的渐近有效置信区间“接收域”。对于单门限、双门限和三面板门限回归模型,检验的原假设分别为H0(不存在门限值)、H1只存在一个门限值)、H2(存在两个门限值)。本文先进行门限效应检验,并将门限检验值设为三个,判断门限效应的存在性。门限效应检验结果如表3、表4所示,门限值极大似然估计(LR)检验图如图2所示。
如表3所示,以法定存款准备金率RR为货币政策代理变量、流动性比率LIQ为门限变量的模型中,单门限检验下由自举法(Bootstrap)得到的与F值相对应的P值为0.0000,在1%的显著性水平下显著;双门限和三门限检验下该P值分别为0.4467和0.5700,在10%的显著性水平下均不显著。由此可知,在1%的置信水平下,该模型存在门限效应,且只有一个门限值。

如表4所示,以一年期贷款基准利率RATE为货币政策代理变量、流动性比率LIQ为门限变量的模型中,单门限检验下由自举法(Bootstrap)得到的与F值相对应的P值为0.0000,在1%的显著性水平下显著;双门限和三门限检验下该P值分别为0.7233和0.4600,在10%的显著性水平下均不显著。由此可知,在1%的置信水平下,该模型存在门限效应,且只有一个门限值。


在图2中,横轴为门限变量流动性比率LIQ,纵轴为LR值,虚线为95%的显著性参考线。左图是以法定存款准备金率RR为货币政策代理变量的模型的门限检验图,右图是以一年期贷款基准利率RATE为货币政策代理变量的模型的门限检验图。图中曲线落入参考线以下的部分说明门限值显著存在,且均为单门限。
(二)模型估计结果及分析
为更进一步分析流动性约束对货币政策的银行风险承担渠道的影响,根据以上门限效应的检验结果,本文构建单面板门限回归模型进行估计,回归结果如表5、表6所示。


通过表5、表6可以发现,总体来看,在以法定存款准备金率RR、一年期贷款基准利率RATE分别为货币政策代理变量的模型中,法定存款准备金率和一年期贷款基准利率的变动对银行风险承担的影响均显著为负,即宽松货币政策可能提高银行的风险承担,这一结论也与大多数研究相符(方意等,2012; Dell’ Arricia et al., 2013)。从控制变量来看,GDP年增长率和房地产投资年增长率对银行风险承担表现出显著正相关,这与郭丽丽和李勇(2014)得到的结论一致。影子银行的发展对银行风险承担同样具有显著正效应,也与胡利琴等(2016)得到的结论一致。
进一步分析可以发现,流动性约束对于货币政策的银行风险承担渠道确实存在门限效应,且银行的货币政策传导的敏感性随着流动性水平的提高而减小。以法定存款准备金率为货币政策代理变量时,当流动性比率低于14.47%时,法定存款准备金率的系数为-2.5871;而流动性比率高于14.47%时,法定存款准备金率的系数为-2.3243。以一年期贷款基准利率为货币政策代理变量时,当流动性比率低于14.69%时,一年期贷款基准利率的系数为-8.5087;流动性比率高于14.69%时,一年期贷款基准利率的系数为-7.8119。
(三)稳健性检验
为了保证结果的可靠性,本文从三个方面对实证结果进行稳健性检验:首先,为避免内生性问题,本文采用内生解释变量的滞后1期作为工具变量,并运用GMM方法进行估计,在10%的显著性水平上通过Hansen Test的过度识别检验。其次,我们从样本中剔除国有银行(工商银行、中国银行、建设银行和交通银行),对剩下的上市银行重新进行估计,发现与原样本回归结果相似,门限值略有提高,两个货币政策代理变量的回归系数的绝对值均略有增大,这也与江曙霞和陈玉婵(2012)所得的实证结果一致。我们认为该结果可归因于规模差异,即中小型股份制银行、城商行和农商行的资金来源相对匮乏,对于货币政策的变动更为敏感。最后,采用不良贷款率NPL作为银行风险承担代理变量重新进行门限估计,也印证了以上大部分结论。
六、结论与政策建议
本文基于面板门限回归模型,对流动性约束下货币政策对银行风险承担的门限效应进行了检验,得到了如下结论:
一是货币政策对银行风险承担的影响显著为负相关,但流动性约束对该影响存在门限效应。具体来看,当银行流动性较为充裕,即流动性风险较低时,货币政策敏感性较低,此时多采用紧缩的货币政策,但银行风险承担上升较慢;当银行流动性水平较低,即流动性风险较高时,货币政策敏感性较高,即实施宽松的货币政策时,银行风险承担上升较快。
二是宏观经济环境、房地产市场状况及影子银行的发展都会对货币政策的银行风险承担渠道产生影响。其中,良好的宏观经济形势会激发银行风险承担,可以认为这是“习惯形成路径”机理作用的结果;房地产业的快速发展同样会扩大银行的风险承担,当前银行信贷向房地产市场过度集中正是形成这一风险承担的主要来源;同时,影子银行的爆发式增长,将放大商业银行的风险承担,影响货币政策的有效性。
中国银监会于2015年9月发布了修改后的《商业银行流动性风险管理办法(试行)》,这标志着我国银行业进入流动性约束的新阶段,流动性约束将对货币政策的银行风险承担渠道产生实质性的影响,影响货币政策的有效性。为了提高货币政策传导的有效性,基于本文面板门限回归模型的检验结果,我们提出以下政策建议:
一是识别和监测影子银行,防范影子银行对货币政策的过度传导。在正规金融体系受到较为严格监管的情况下,我国影子银行体系一度呈现爆发式增长的局面,在替代正规金融体系提供融资需求的同时,也为金融体系埋下了巨大的风险隐患。模型结果也显示,影子银行与正规金融体系是相互交织的,在货币政策传导渠道中,影子银行的规模对银行的风险承担存在正向作用。
也即,当经济下行,实施宽松的货币政策时,大规模影子银行体系会加大银行体系的风险承担,从而进一步推升整个金融体系的风险。因此,有效的识别和监测影子银行,分析影子银行对正规金融体系所产生的影响,将影子银行体系阳光化,是制定行之有效的货币政策的前提条件,有利于调节货币政策使其在实现货币政策目标的同时有效控制金融风险。
二是结合银行的微观流动性状况,防范流动性约束对货币政策的稀释作用。保持充足的流动性水平,既是银行满足流动性约束的监管外在要求,也是银行实现可持续经营的内在基础。然而,模型结果显示,银行的微观流动性状况,决定了银行风险承担的程度,从而影响了银行作为金融中介对货币政策的传导效力。因此,在制定行之有效的货币政策时,不仅要关注M2等宏观流动性指标,也应将流动性比例、流动性覆盖率等表征银行微观流动性状况的金融监管指标纳入考量中,如果银行微观流动性水平较低,在制定宽松货币政策时就不宜释放过多的宏观流动性,防止银行承担的风险提升过快,从而推动资产价格的迅速上涨,进而带来更多的金融风险隐患。
三是制定逆周期调整的金融监管政策,在维护金融稳定中充分考虑经济周期的波动。银行业的经营自身就带有顺周期效应,一刀切的金融监管标准将进一步加剧这一顺周期效应。从资本约束的视角来看,经济状况下行时,银行的惜贷行为将加剧经济的下行,而资本约束将导致银行更加惜贷,这也是在货币政策传导中存在门限效应的重要原因之一。因此,在建立金融监管规则时,也应充分考虑金融周期的波动,在经济周期上行阶段实施更加严格的金融监管,防范风险的集聚,在经济周期下行阶段实施更加宽松的金融监管,给银行释放更多的调整空间。

喜欢这篇文章,就去置顶支持我们! 步骤见下图☟
长期坚持提供干货不易,如文章引起大家共鸣、对大家有帮助,请大家赞并转发,以支持我们提供更多干货,谢谢。
专注十年,持续打造全面有价值的贸易金融知识库
23亿票据诈骗案全国金融工作会议39大产业链全景图讨贷+讨债供应链金融发展现状牛锡明虚拟货币保理产品设计供应链金融信贷大增、M2反降中国风险之辩供应链金融风险管理系列之代理采购篇国际贸易融资信用风险通道业务外汇局更新法规目录金融科技与保理融资租赁骗贷警示录信用证下保单正本份数保理融资渠道
更多关键词,请到公众号对话框输入,获取更多干货。
商务合作请添加微信:sinotf(备注合作事由)



