心力衰竭(HF)作为心血管领域复杂且高发的临床综合征,备受医学界关注,其中射血分数降低的心力衰竭(HFrEF)因病理生理机制明确、治疗策略多样,成为研究热点。螺内酯、依普利酮等盐皮质激素受体拮抗剂(MRA)作为 HFrEF 治疗的基石,可精准抑制受体过度激活,改善预后、降低风险,且其应用范围正随着研究深入不断拓展。
近期,在第 74 届美国心脏病学会科学年会(ACC.25)上,莫桑比克爱德华多·蒙德拉内大学的 Albertino Damasceno 教授将围绕「MRA 在 HF 患者中的治疗进展」这一主题进行重点介绍。
一、从辅助到主流:MRA 药物在 HF 治疗中的地位提升
Albertino Damasceno 教授在开场中回顾了醛固酮的发现与研究历程[1]。
1、醛固酮的发现与命名:
1952 年,科学家在肾上腺髓质中首次发现醛固酮,当时被称为「电解质皮质素」。
两年后,经科学界商讨,正式将其命名为「醛固酮」。
1956 年,科研人员从HF患者的尿液中成功分离出醛固酮,并在实验室条件下实现合成,为后续研究奠定了基础。
2、药物研发的起步与突破:
1972 年,第一代 MRA 的药代动力学及药效学特性被详细阐明,成为该类药物研究的重要里程碑。
1999 年,RALES 研究公布突破性成果:螺内酯显著降低了 HFrEF 患者的死亡率,推动了醛固酮拮抗剂的临床应用。随着研究的推进,药物研发逐步展开。
3、应用范围的扩展:
2003 年,EPHESUS 试验表明,依普利酮可有效降低心肌梗死后 HF 患者的死亡率。
2010 年,EMPHASIS HF 研究证实了依普利酮在轻度 HF 患者中降低死亡率和住院率的潜力。
4、新阶段和深入研究:
2013 年,第三代 MRA——非奈利酮在 HFrEF 患者中的 IIa 期研究展示了良好前景。2014 年,TOPCAT 试验[2]显示螺内酯未能改善 HFpEF(射血分数保留的心力衰竭)患者的主要终点指标(危险比 0.90,95% CI 0.73~1.12,P = 0.335)。
2016 年,ARTS-HF 研究表明,非奈利酮在 HFrEF 患者中可显著改善 NT-proBNP 水平并减少不良事件。
2022 年,启动了非奈利酮的 III 期研究(FINEARTS-HF 试验)。
Albertino Damasceno 教授进一步阐述道,2023 年,欧洲心脏病学会(ESC)对其 2021 年发布的急性和慢性HF诊断与治疗指南进行了重要更新:
在针对射血分数轻度降低(HFmrEF)和 HFpEF 患者的管理建议中,利尿剂和钠-葡萄糖协同转运蛋白 2 抑制剂(如达格列净、恩格列净)被明确列为 I 类推荐药物,用于处理液体潴留和改善患者预后。
对于 MRA 及其他药物(如血管紧张素转换酶抑制剂/血管紧张素受体脑啡肽酶抑制剂/血管紧张素II受体拮抗剂、β-受体阻滞剂),则给出了 IIb 类推荐。
此外,指南未明确指出适用于 HFpEF 患者的具体 MRA 药物,这反映出当前临床实践中对这类患者药物选择的谨慎态度。
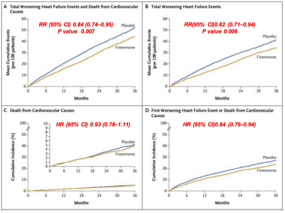
Albertino Damasceno教授特别指出,2024 年 9 月,《新英格兰医学杂志》(NEJM)发表了一项具有里程碑意义的 FINEARTS 研究[3]。该研究采用随机双盲设计,研究对象为左心室射血分数(LVEF)为 40% 或以上的 HF 患者。患者按 1:1 的比例随机分配至非奈利酮组(每日最大剂量 20~40 mg)或安慰剂组,两组均接受常规治疗。研究的主要终点是 HF 事件恶化的综合指标,包括首次或复发的非计划住院治疗以及因 HF 导致的紧急就诊情况。
研究结果表明(如图 2),非奈利酮在降低 HF 事件恶化和心血管原因死亡的综合指标方面取得了显著成效,风险相对降低了 16%。具体而言,非奈利酮不仅减少了 HF 事件恶化的总数,还降低了首次 HF 恶化及心血管事件导致的死亡风险,尽管对心血管原因死亡本身没有直接影响。这一发现为非奈利酮在 HF 和轻度降低或保留射血分数患者中的应用提供了有力的证据支持。
图 1:TOPCAT 试验结果
图 2:FINEARTS 研究结果
二、FINEARTS-HF 研究新探:非奈利酮在 HFmrEF/HFpEF 中表现如何?
Albertino Damasceno 教授指出,自 FINEARTS 研究结果公布以来,已有多篇分析文章进一步探讨了该研究的各个方面,为临床实践提供了更多见解。研究在细分射血分数范围时,纳入了 HFmrEF 和 HFpEF 患者群体。
结果显示[4-5]:
1、FINEARTS-HF 的预定分析
射血分数谱系覆盖:在射血分数轻度降低或保留的HF患者中,非奈利酮展现出了降低心血管死亡及 HF 事件恶化风险的显著效果,且该效果与 LVEF 无显著关联。
对 KCCQ 评分的积极影响:非奈利酮不仅有效减少了 HF 事件的发生,还显著改善了射血分数轻度降低或保留患者的整体健康状况,这一改善在基线时 KCCQ-TSS(堪萨斯城心肌病问卷-总体症状评分)较低的患者中尤为明显。
长期益处评估:长期服用非奈利酮预计可使 HFmrEF 或 HFpEF 患者的无事件生存期延长最多达3年。
肥胖因素的影响:在 HFmrEF 或 HFpEF 患者中,非奈利酮的益处不受基线体重指数(BMI)的影响,且可能对 BMI 较高的患者产生更为显著的治疗效果。
2、FINEARTS-HF 的次要分析
肾脏相关结果:尽管非奈利酮初期可能导致估算肾小球滤过率(eGFR)的较大幅度下降,但长期来看,其与安慰剂相比,在慢性 eGFR 斜率上并无显著差异。此外,非奈利酮还促进了早期且持续的白蛋白尿减少,并降低了新发微量和大量蛋白尿的风险。
血清钾水平与临床结果:非奈利酮的使用与更频繁的高钾血症及较少见的低钾血症相关。然而,通过遵循研究方案中的监测与剂量调整指导,即使在血清钾水平升至 5.5 mmol/L 以上的患者中,非奈利酮的临床益处依然得以维持。
PREDICT-HFpEF 模型风险评估:研究结果显示,PREDICT-HFpEF 模型在预测风险方面表现出良好的校准度和区分度。同时,患者的基线风险水平并未影响非奈利酮的治疗益处。
性别差异:非奈利酮在男性和女性患者中的耐受性相似。
房颤状态的影响:无论患者是否伴有房颤,非奈利酮的疗效均保持一致。值得注意的是,新发房颤与后续不良结果的显著高风险相关。
三、非奈利酮疗效迅速,但经济压力待解!
Albertino Damasceno 教授特别提及,非奈利酮在治疗 HF 方面表现出了极为显著且迅速的效果。在短短 28 天内,其积极影响便已显现,两条疗效曲线从起始阶段就出现了明显分离。至 30 天时,非奈利酮在复合终点上的疗效已达到统计学显著降低水平,且这种效果在后续观察中持续稳定。
基于 FINEARTS-HF 试验结果,Albertino Damasceno 教授认为非甾体类 MRA,特别是非奈利酮,有望成为治疗 HFmrEF/HFpEF 患者的关键手段,并正逐步被纳入相关治疗指南和推荐疗法中。然而,其高昂的治疗成本成为一大挑战。据估算,每位患者每年治疗费用约 7000 美元,这对多数医疗系统构成沉重负担[6]。
此外,Albertino Damasceno 教授特别提到 TOPCAT 研究中俄罗斯和格鲁吉亚患者亚组的治疗效果较弱,可能与这些地区患者事件发生率显著较低(每 100 位患者年仅 2.4 次,而其他地区为 14.7 次)以及更多患者体内存在无法检测到的螺内酯代谢物(比例高达 30%,而其他地区仅为 3%)有关。
Albertino Damasceno 教授进一步分析指出,若排除 TOPCAT 研究中俄罗斯和格鲁吉亚的患者数据,剩余结果与 FINEARTS 试验高度一致。基于此,他认为在 HFmrEF/HFpEF 患者中广泛推广非奈利酮可能加剧医疗系统经济压力,且其与传统甾体类 MRA 相比的增量效益尚不明确。
因此,针对非甾体类与甾体类 MRA 进行随机对照试验在当前 HF 患者群体中尤为迫切,这将有助于更科学地评估非奈利酮的疗效与成本效益,为临床决策提供依据。
图片来源:讲者 PPT
策划制作
策划:cc
投稿:shichang@dxy.cn
题图来源:站酷海洛

