大数跨境
0
0

系统切换:电子口岸代理报关委托系统将于8月25日停止服务

系统切换:电子口岸代理报关委托系统将于8月25日停止服务 海投云贸
2020-08-10
2
导读:助力外贸企业 拓展全球市场
中国电子口岸执法系统“代理报关委托书/委托报关协议”子系统将于2020年8月25日停止服务,目前已更新切换至新执法系统和单一窗口平台,企业请登录新执法系统下“报关代理委托”或单一窗口货物申报模块下“报关代理委托”系统进行业务操作。


1.新执法系统地址:

https://e.chinaport.gov.cn
2.单一窗口地址:
https://www.singlewindow.cn



电子口岸“代理报关委托书/委托报关协议“子系统切换通知


尊敬的电子口岸用户:

为提升用户体验,提高服务能力,数据中心对执法系统中“代理报关委托书/委托报关协议“子系统进行了升级,并已更新至新执法系统和单一窗口平台。


请登录新执法系统(https://e.chinaport.gov.cn/)下“报关代理委托”或单一窗口(https://www.singlewindow.cn)货物申报模块下“报关代理委托”系统进行业务操作。


中国电子口岸执法系统“代理报关委托书/委托报关协议”子系统计划于2020年8月25日停止服务,为此造成的不便,敬请谅解。




新系统登录入口



新执法系统入口


单一窗口入口


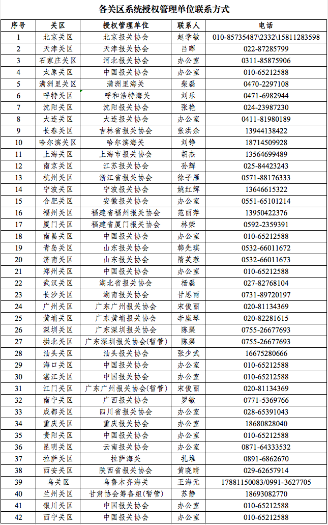
中国报关协会关于《代理报关委托书/委托协议》管理系统更新切换的通知:







附件1:



附件2:



附件3:




来源:本文由关务小二综合自中国报关协会、电子口岸。

【声明】内容源于网络
0
0
海投云贸
浙江海投云贸国际供应链有限公司(简称海投云贸)是全链条贸易综合服务平台,是台州市海投集团控股的省级外贸综合服务示范型企业和省级跨境电商重点服务企业。
内容 797
粉丝 0
海投云贸 浙江海投云贸国际供应链有限公司(简称海投云贸)是全链条贸易综合服务平台,是台州市海投集团控股的省级外贸综合服务示范型企业和省级跨境电商重点服务企业。
总阅读78
粉丝0
内容797