
要说现在国内什么最火,那肯定是布洛芬。
自从疫情放开之后,以前的小透明布洛芬就成为了顶流,全国一天能消耗4亿片。家中要是不备上两盒,就感觉心里没底。

如今更是一药难求,而抢购、缺货等词条也屡上热搜。
在不少城市,面对市民的询问,“没了”、“缺货”、“卖完了”是药店的常态。
在电商平台,限时抢购的布洛芬、对乙酰氨基酚等热门产品,基本一上架秒被抢空。

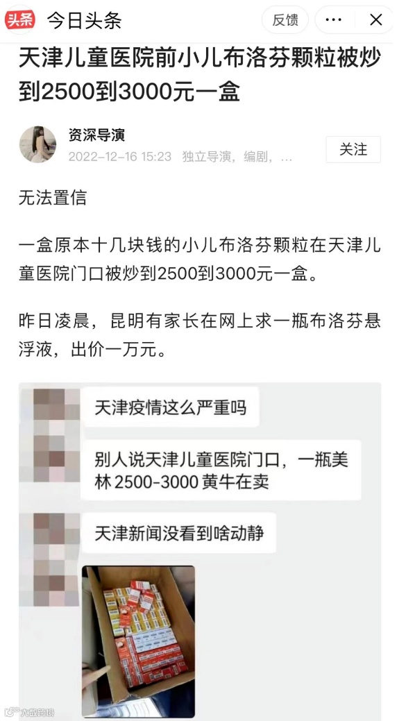
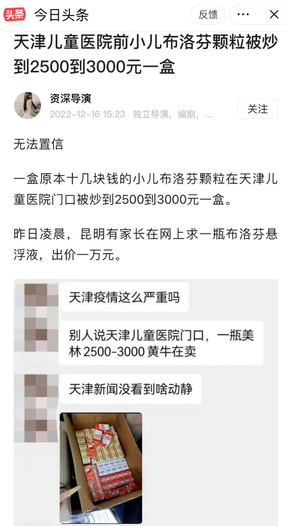
甚至还有的网友表示,一瓶在国内三甲医院售价为13.17元人民币的布洛芬混悬液(美林),竟被卖到2500元甚至3000元人民币以上的天价。


不少人开始寻求海外购药,海外华人们也纷纷开始寄药回国。
代购们更是早早就下场,狂囤各种退烧药、维生素C等等,网友爆料称有的代购甚至直接到Costco,上小车把泰诺全部搬空。

一时间,加拿大、美国、日本、澳大利亚等地的媒体都有报道,最近很多超市和药房的非处方药都被抢购一空。
所到之处,片药不留。



但其实中国是布洛芬的生产大国,相关企业多达500多家,而且原料也很够,那怎么还会出现买不到药的情况呢?
布洛芬
布洛芬又名“异丁苯丙酸”,为解热镇痛类的非甾体抗炎药,其消炎、镇痛、解热作用效果良好,与一般的消炎镇痛药相比,它的作用强而副作用小。

而且该药在全世界范围内得到广泛应用,成为全球最畅销的非处方药之一,和阿司匹林、扑热息痛、安乃近一起并列为解热镇痛药四大支柱产品。
据了解,全球最大的布洛芬原料药生产企业为新华制药、亨迪制药和巴斯夫,前三名有两家都在中国。

按照布洛芬缓释胶囊0.3g/片来算,光是这两家药企的产能,每年就可以生产383亿颗布洛芬胶囊。
如果再加上其他公司的布洛芬原料产能,供应全球都不是问题。
布洛芬的主要原料是氯化亚砜,在药企拿到原料后,最多3天就能把布洛芬生产出来,既然产能跟原材料都不缺,可为什么布洛芬现在还是买不到货呢?

其实深扒下这几年布洛芬的进出口数据,大家就能够明白了。之前疫情不是很严重的时候,国内生产的布洛芬绝大多数都出口国外。
《中国布洛芬原料药市场分析报告》数据显示,2021年,中国布洛芬国内需求量仅为1722.60吨,但总产能1.4万吨,约占全球产能的1/3,产品主要用于出口。

虽然中国有将近500家药企有资质可以生产,但这种药价格不贵,毛利率不高,与其花巨资投入生产线,到头来还是亏本的买卖,药企当然要好好考虑才行。
更值得一提的是,药厂跟其他行业不同,如果内部员工感染了新冠,就会导致生产线一直缺人,但这种招人不是说随随便便找就行的,是有一定门槛的。

但随着目前国内对布洛芬需求的进一步加大,很多药企目前已经加班加点保供应,产能方面也会陆续能跟上,作为龙头老大的新华制药就表示,确保12月底前实现布洛芬等重点药品的产能翻番。

当然了,虽然布洛芬是此轮疫情推荐率和使用率最高的退烧药,但其他药物也可以达到类似的效果。
比如乙酰氨基酚,仅以安徽丰原药业每年5000吨的对乙酰氨基酚产能来计算,一年就可以生产250亿颗0.2g的对乙酰氨基酚片。如果把这些药分给全国14亿人,每个人至少可以分到十几颗。

根据国家药监局数据,中国已经上市的退热、止咳、抗菌、抗病毒等四类药品共有194种,涉及批准文号约9000多个,所以完全没必要只盯着布洛芬。
被印度卡脖子?
虽然布洛芬原料中国是不缺的,但根据亨迪药业的招股书显示,布洛芬原料药的上游产品异丁基苯,需要从印度两家公司进口。
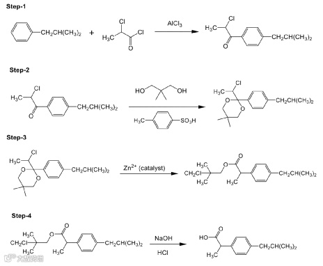
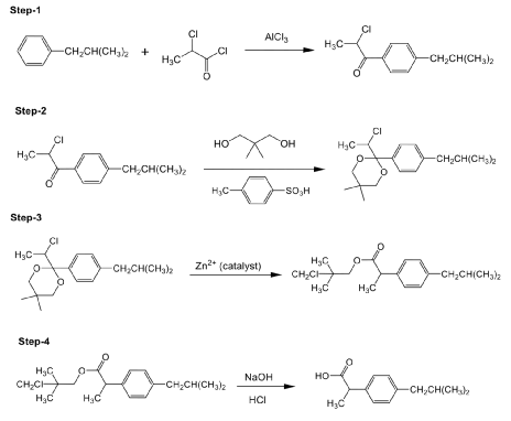
生产布洛芬原料药的过程是这样的:

新华制药和亨迪药业采用的工艺路线,叫“芳基重排”:

但是注意这里的Step-1,想要做成布洛芬原料药,需要用到一种关键的“原料”,或者说中间体,叫异丁基苯。
这种东西不仅可以用来做布洛芬,而且因为有一种水果香的甜味,还是制作香水的一种基本原料。

在制作布洛芬的时候,异丁基苯先发生傅克反应得到酮,在缩合反应后进行芳基重排得到酯化物,酯化物水解、酸化后得到布洛芬。
这种方法反应简单,收率高且稳定,重排催化剂价格低廉且无毒,起始原料低价易得。
但是异丁基苯这种物质全球95%的产能都被印度的两家企业控制着。
印度的Vinati Organics Limited是全球最大的异丁基苯生产商,全球份额65%,产能约25000吨。

印度的IOL Chemicals and Pharmaceuticals Limited是第二大异丁基苯生产商,全球份额30%,产能12000吨。
根据Statista统计,2021年印度的异丁基苯产量约12720吨。
也就是说,我们吃到的几乎所有布洛芬,它们的“原料的原料”都来自印度。
印度上游企业生产出异丁基苯,卖给中国和其他国家,中国的新华制药和亨迪药业制成了布洛芬原料药,一部分再卖给印度下游药厂去做布洛芬制剂。
小小一粒布洛芬的背后,也能看到全球化的身影。

有人因此会得出结论:完蛋了,中国的布洛芬也被外国卡脖子了。
但实际上没必要担心。异丁基苯这种东西,中国不仅买得到,而且也做得出。
亨迪药业表示,异丁基苯的生产工艺简单,通过甲苯与丙烯侧链烷基化一步反应制成,制造不存在技术难度,原材料甲苯和丙烯为大宗石油化工类产品,中国市场供应充足。
亨迪曾对自主生产异丁基苯进行过可行性研究,具备异丁基苯的生产制造能力,但由于印度这两家公司对异丁基苯的研发和生产时间较长,已形成全球供应的规模优势及成本优势,所以亨迪没有自建异丁基苯的生产线。
未来如果因印度疫情或中印关系紧张等极端原因,导致中国异丁基苯采购渠道受限,亨迪或国内其他厂商均可通过自主投产方式进行替代。
希望这一波疫情,以及之后的疫情常态化,能够推动国内布洛芬原料药厂商重视异丁基苯国产化的事情。
毕竟这么一种基础的退烧药,生产原料几乎全部依赖从印度进口,在今天这个全球“脱钩”大背景下听上去不那么让人放心。

最后要提醒大家,布洛芬并非唯一的退烧药,也并不是在退烧方面出类拔萃的“神药”。
退烧药的种类很多,功效都基本相似,买不到布洛芬时可以多找找其他药品。

