
11月1日,国家金融监督管理总局公布《
商业银行资本管理办法
》。本办法适用于在中华人民共和国境内依法设立的商业银行。商业银行各级资本充足率不得低于如下最低要求:(一)核心一级资本充足率不得低于5%。(二)一级资本充足率不得低于6%。(三)资本充足率不得低于8%。
办法提出,商业银行的杠杆率不得低于4%。系统重要性银行在满足上述最低杠杆率要求的基础上,还应满足附加杠杆率要求。国内系统重要性银行的附加杠杆率要求由
中国人民银行
会同国家金融监督管理总局另行规定。
国家金融监督管理总局关于实施《商业银行资本管理办法》相关事项的通知
各监管局,机关各部门,各政策性银行、大型银行、股份制银行、外资银行:
2023年11月1日,金融监管总局发布了《商业银行资本管理办法》(以下简称《资本办法》)。为稳妥推进《资本办法》实施,现将有关事项通知如下:
(一)对计入资本净额的损失准备设置2年的过渡期。过渡期内,商业银行应分别计算贷款损失准备和非信贷资产损失准备。
(二)对于贷款损失准备,最低要求为不良贷款余额100%对应的损失准备。
实际计提低于最低要求的部分为损失准备缺口,超过最低要求的部分为超额损失准备。缺口部分以负数表示,超额部分以正数表示。
(三)对于非信贷资产损失准备,最低要求第一年为非信贷不良资产余额50%对应的损失准备,第二年为75%,第三年起为100%。
实际计提低于上述最低要求的部分为损失准备缺口,超过最低要求但未达到非信贷不良资产余额100%的部分不可计入超额损失准备,超过非信贷不良资产余额100%的部分才能计入超额损失准备。缺口部分以负数表示,超额部分以正数表示。
(四)商业银行应将贷款损失准备和非信贷资产损失准备的缺口部分和超额部分进行加总,加总结果为负数应扣减核心一级资本,为正数可计入二级资本,但不得超过《资本办法》规定的上限。
(五)过渡期结束后,商业银行损失准备最低要求是指不良资产余额100%对应的损失准备。金融监管总局对损失准备最低要求另有规定的从其规定。
(六)商业银行应充分评估并持续监测损失准备口径调整对资本充足率的影响。
存在缺口的银行应制定达标规划,经董事会批准后,于2024年6月底前报金融监管总局或其派出机构并认真执行,每半年报告达标进展。
(一)商业银行应根据《资本办法》确定的所属档次、国内系统重要性以及上市情况,适用不同的信息披露要求。
(二)对第一档商业银行中的国内系统重要性银行,设置5年的信息披露过渡期。过渡期内应至少披露《附件22:商业银行信息披露内容和要求》第六部分“国内系统重要性银行披露概览”全套表格中的34张。过渡期结束后,原则上应披露全套70张表格。
第一档商业银行中的非国内系统重要性银行,自《资本办法》实施之日起,应披露《附件22:商业银行信息披露内容和要求》第七部分“非国内系统重要性银行披露概览”全套8张表格。
(三)对第二档商业银行中的非上市银行,设置5年的信息披露过渡期。过渡期内应至少披露《附件22:商业银行信息披露内容和要求》第七部分“非国内系统重要性银行披露概览”全套表格中的2张,包括监管并表关键审慎监管指标(KM1)表格和资本构成(CC1)表格。过渡期结束后,原则上应披露全套8张表格。
第二档商业银行中的上市银行,自《资本办法》实施之日起,应披露《附件22:商业银行信息披露内容和要求》第七部分“非国内系统重要性银行披露概览”全套8张表格。
(四)第三档商业银行自《资本办法》实施之日起,应按照《附件23:第三档商业银行资本监管规定》中的相关要求进行披露,共计2张表格。
(五)商业银行首次进行信息披露时,对以下4张表格:监管并表关键审慎监管指标(KMI)、处置集团的总损失吸收能力监管要求(KM2)、风险加权资产概况(OV1)、杠杆率(LR2),可仅披露当期数据,无需追溯披露前期数据,但应从第二次披露起逐期追溯并披露前期数据。
除上述表格外,商业银行应自首次披露起按规定频率完整披露其余表格。
(一)商业银行首次确定本行所属档次及适用的计量方法时,应以2022年末数据计算:
1.境外债权债务余额,以及符合《附件19:调整后表内外资产余额计算方法》的并表口径表内外资产余额,确定本行所属档次及适用的信用风险和操作风险加权资产计量方法。
2.简化标准法下市场风险加权资产、非中央交易对手衍生工具名义本金,并结合《附件16:市场风险简化标准法计量规则》中的相关标准,确定本行适用的市场风险加权资产计量方法。
(二)商业银行应于2024年1月31日前,向金融监管总局或其派出机构报送其所属档次和适用的计量方法。
商业银行不得以市场事件、金融工具流动性改变或单纯交易目的改变为由进行账簿转换。确因账簿划分要求调整导致存量业务账簿转换的,应在上述日期前向金融监管总局或其派出机构作出书面说明。
(三)商业银行应密切监测上述指标变动情况,连续四个季度满足计量方法切换条件的,应于第四个季度后的一个月内向金融监管总局或其派出机构报告。
(四)《商业银行资本管理办法(试行)》下已获准实施资本计量高级方法的银行,《资本办法》下信用风险可按照已实施范围向金融监管总局事前报告,无需重新提交实施申请,市场风险应回退至标准法。
(五)拟申请实施资本计量高级方法,或自行计算操作风险内部损失乘数的商业银行,应按照相关规定向金融监管总局或其派出机构提出实施申请,接受监管验收,并执行《附件21:资本计量高级方法监督检查》中并行期相关要求。
(一)自《资本办法》实施之日起至2024年年底,商业银行应按照新旧《资本办法》相关要求,分别计算并报送资本监管非现场监管报表。其中,市场风险相关报表首次报送从2024年一季度末开始。
(二)首次填报时,金融监管总局机构监管部门应汇总并确认所辖机构所属档次及适用的计量方法,并于2024年2月底前报送统计信息管理部门。
后续计量方法如需切换,金融监管总局机构监管部门应在商业银行实施准备期结束后15日内,将计量方法变更情况报送统计信息管理部门,确保银行正确填报相应报表。
(三)商业银行应提升填报自动化水平,确保报表报送的及时性、完整性、准确性。
(一)各商业银行应充分认识实施《资本办法》的重要意义,做好实施工作的组织领导,制定清晰可行的实施规划,明确相关部门责任分工,统筹好资源配置,确保实施工作有序开展。
(二)商业银行应按照《资本办法》要求,切实完善相关管理制度,优化业务流程,提升数据治理水平,加快信息系统建设,全面增强风险管理有效性。
(三)商业银行应科学制定发展战略和资本规划,充实资本实力,强化资本约束,转变发展方式,深化资本在银行经营管理中的应用。
(一)金融监管总局及其派出机构应指导辖内商业银行做好实施工作,指导银行充分利用过渡期安排落实各项达标要求。
(二)金融监管总局及其派出机构应加强对商业银行实施《资本办法》的监督检查,包括资本规划的制定和落实、资本充足率的计量和报送,以及风险管理的全面性和有效性等。
(三)金融监管总局及其派出机构应根据《资本办法》和商业银行实施资本计量高级方法相关规定,结合拟实施商业银行的准备情况,适时开展验收工作,并监督商业银行持续满足监管要求。
对实施中存在的部分操作性问题,详见附件《资本监管政策问答》。
国家金融监督管理总局
1.本次将杠杆率监管要求和相关计算规则纳入了《商业银行资本管理办法》(以下简称《资本办法》),是出于什么考虑?
答:《资本办法》将杠杆率的监管要求、计算方法等纳入正文,将杠杆率分母即调整后表内外资产余额计算方法作为附件。主要考虑是杠杆率作为风险中性指标,是对基于风险的资本充足率指标的有效补充。此外,调整后表内外资产余额也是商业银行差异化资本监管制度中档次划分的主要参考指标。
2.商业银行在计算资本充足率时,对于控股保险公司的核心一级资本投资采用门槛扣除法还是对应扣除法?
答:根据《资本办法》第十四条,商业银行对于控股保险公司的核心一级资本投资,在计算并表资本充足率时采用门槛扣除法,在计算未并表资本充足率时采用对应扣除法。
3.根据《资本办法》第三十五条(九)的规定,商业银行应从核心一级资本中全额扣除“商业银行自身信用风险变化导致其负债公允价值变化带来的未实现损益”。该规定是否也同样适用于衍生品负债?具体处理方法是什么?
答:该规定同样适用于衍生品负债。商业银行应剔除由其自身信用风险变化导致的衍生品负债会计估值调整,不得与其交易对手信用风险变化导致的会计估值调整进行抵消。由商业银行自身信用风险变化引起的衍生品负债会计估值增加的部分,应在核心一级资本中加回;会计估值减少的部分,应在核心一级资本中扣除。
4.《资本办法》第三十六条规定,商业银行之间通过协议相互持有的各级资本工具应从相应监管资本中对应扣除。对商业银行与其他金融机构之间的互持是否适用同样的处理方法?
答:商业银行与其他金融机构之间为虚增资本而通过协议相互持有的,或由金融监管总局认定为虚增资本相互持有的,适用对应扣除法。
5.对于“内部评级法覆盖部分的信用风险加权资产不低于商业银行内部估计值的1.06倍”的要求,《资本办法》实施后是否依然适用?
答:不再适用。根据《资本办法》第二百零六条,《中国银监会关于印发商业银行资本监管配套政策文件的通知》(银监发〔2013〕33号)相应废止。
6.对于部分资产实施信用风险内部评级法的商业银行,应如何计算内部评级法覆盖部分和内部评级法未覆盖部分的超额损失准备?
答:商业银行采用内部评级法应按照金融监管总局的相关规定充足计提损失准备,内部评级法下的超额损失准备是指商业银行实际计提的损失准备(不包括对证券化资产计提的减值准备)超过预期损失(不包括证券化资产的预期损失)的部分。商业银行部分资产实施内部评级法的,应根据内部评级法和权重法计算的信用风险加权资产的比例分割超额损失准备。
7.《资本办法》附件12规定,商业银行采用穿透法计量资产管理产品风险加权资产时,“商业银行所获取的基础资产信息能够被独立第三方确认。前款所称‘独立第三方’是指应独立于资产管理产品管理人的其他机构,如托管人、会计师事务所。特定情况下,可包括资产管理产品管理人”。“特定情况”是指?
答:现阶段“特定情况”是指商业银行投资的资产管理产品是公开募集证券投资基金。
8.内部风险转移认定是否在标准法和内部模型法下同时适用?
9.实施市场风险内部模型法的商业银行,后续验证频率是每两年一次吗?
答:商业银行后续验证分为模型验证和全面验证,全面验证包括模型验证和体系验证。对于模型验证,验证频率为至少每年一次。对于全面验证,验证频率为至少每两年一次。
10.国内前中后台估值模型可能存在差异,建议明确实际损益和假设损益的取值来源,应来自前台、中台、后台损益中的哪一个?
答:考虑到国内不同商业银行的估值实践存在差异,假设损益和实际损益应当来自实际入账所基于的估值系统和模型。
11.风险因子合格性检验中,无论交易规模大小,是否所有交易以及合格的有效报价都是有效的“真实价格”观测值?
答:如果交易在正常市场环境和交易流程下完成,具有真实报价,且交易量与银行日常交易规模相比具有合理性,则交易价格可被认定为“真实价格”。
12.国际基准利率改革后,由于部分风险因子可能被替换,商业银行应如何统计风险因子合格性检验中的“真实价格”观测值?在计量预期尾部损失时,如部分新基准利率风险因子缺乏压力情景下的历史数据,商业银行应当如何处理?
答:因基准利率改革导致的风险因子替换,旧基准利率停止发布后一年内,银行可将以下两项纳入“真实价格”观测值的统计:(1)旧基准利率停止发布前,旧基准利率的“真实价格”观测值;(2)新基准利率的“真实价格”观测值。其中,“停止发布”是指旧基准利率已无报价,或者相关监管机构认为旧基准利率已不具有代表性。
如新基准利率缺乏压力情景下的历史数据,在计量预期尾部损失时,商业银行可采用新基准利率计算
、
,采用旧基准利率对应的历史压力情景计算
。
13.如果单一操作风险损失事件存在多笔跨年度损失或回收,如何正确统计并计量内部损失乘数?
答:商业银行应建立完备的制度和管理流程,收集损失事件相关的每笔损失、回收金额及相关日期信息。在计量内部损失乘数时,使用会计记账日作为损失数据的统计日期,统计近10年内净损失金额超过15万元的损失事件。如损失事件存在多笔跨年度损失或回收,应将近10年的损失或回收纳入计量范围,10年前的损失或回收不再纳入计量范围。
14.如果商业银行因超额收费需向客户退款,超额收费是否能被纳入回收金额?
答:当商业银行因超额收费需向客户退款,如超额收费和退款发生在同一会计年度,超额收费可被纳入回收金额。如退款发生在之后的会计年度,应将退款视为操作风险事件损失,超额收费不可纳入回收金额。
15.如何判断多笔损失和回收是单个损失事件还是多个损失事件造成的?
答:由共同触发因素引起的操作风险损失,应在统计操作风险损失事件时作为单个损失事件。例如,下列情形应视为单个损失事件造成的损失:(1)一次自然灾害在多个地点和/或一定时间内造成的损失;(2)商业银行信息系统安全问题引发客户信息泄露,导致多个客户遭受欺诈,商业银行因此承担的赔偿费用及补救费用(如信用卡补发)。
银行应制定书面政策,规定将多笔损失归为单一操作风险损失事件的标准,并明确相应的管理流程和独立审查程序,确保政策实施的有效性和一致性。
16.对于采用自身损失数据自行计算内部损失乘数的商业银行,如何理解商业银行及其并表金融机构可分别按照验收通过的时间适用底线要求?
答:采用自身损失数据自行计算内部损失乘数的商业银行适用底线要求,自验收通过的第一年、第二年和第三年,内部损失乘数分别应不低于0.9、0.8、0.725。若商业银行与其并表金融机构于不同时间通过验收,例如商业银行处于验收通过的第三年,其并表金融机构处于验收通过的第一年,在计算集团层面操作风险资本要求时,可分别适用0.725、0.9的底线要求计算操作风险资本要求并加总,无需统一适用0.9的底线要求。
17.气候风险必须作为一个单独的风险类型进行风险评估,还是可作为其他风险的变量纳入评估?
答:《资本办法》附件20中规定,“商业银行应当充分考虑对自身有实质性影响的其他风险,包括但不限于国别风险、信息科技风险、洗钱风险、气候相关风险等。若商业银行认为相关风险对自身没有实质性影响,可简化评估。”银行应加强对气候风险的识别和评估,结合气候风险对银行自身是否有实质性影响来确定评估方式。未来另有规定的从其规定。
18.2029年1月1日前,第一档商业银行集团是否可对集团内不符合第一档商业银行标准的附属机构,分别按第二档、第三档标准进行单独披露。
答:《资本办法》规定,第一档商业银行集团计量并表资本充足率,在2029年1月1日前可适当简化资本并表处理方式。在集团并表披露时,部分披露表格项目对应第一档商业银行运用复杂计量方法计算得出的结果,但附属机构按照简化计量方法无法提供相应数据。在此情况下,相关集团并表披露项目可暂时不含附属机构计量结果,但对于风险加权资产总额等能够纳入并表披露对应项目的,并表披露时应包含附属机构相关信息。同时,集团附属机构应按档次划分标准和相关要求进行单独披露。
19.《资本办法》对于信息披露固定表格和可变表格的披露位置是否有不同要求?
答:是的。信息披露固定表格应在第三支柱报告中独立披露,可变表格既可在第三支柱报告中独立披露,也可在同期财务报告中披露,但须清晰标识引述关系。
(2023年11月1日国家金融监督管理总局令第4号公布 自2024年1月1日起施行)
第一条 为加强
商业银行
资本监管,维护
银行
体系安全、稳健运行,保护存款人利益,根据《中华人民共和国银行业监督管理法》《中华人民共和国商业银行法》《
中华人民共和国外资银行管理条例
》等法律法规,制定本办法。
第二条 本办法适用于在中华人民共和国境内依法设立的商业银行。
第三条 商业银行资本应抵御其所面临的风险,包括个体风险和系统性风险。
系统重要性银行应同时符合相关办法规定的附加资本监管要求。
本办法所称资本充足率,是指商业银行持有的、符合本办法规定的资本净额与风险加权资产之间的比率。
一级资本充足率,是指商业银行持有的、符合本办法规定的一级资本净额与风险加权资产之间的比率。
核心一级资本充足率,是指商业银行持有的、符合本办法规定的核心一级资本净额与风险加权资产之间的比率。
杠杆率,是指商业银行持有的、符合本办法规定的一级资本净额与调整后表内外资产余额之间的比率。
第六条 商业银行应按照本办法规定的机构档次划分标准,适用差异化的资本监管要求。其中,第一档和第二档商业银行应满足本办法各章节和相应附件的监管规定,第三档商业银行应满足本办法附件23的监管规定。
(一)第一档商业银行是指符合以下任一条件的商业银行:
1.并表口径调整后表内外资产余额5000亿元人民币(含)以上。
2.境外债权债务余额300亿元人民币(含)以上且占并表口径调整后表内外资产余额的10%(含)以上。
(二)第二档商业银行是指符合以下任一条件的商业银行:
1.并表口径调整后表内外资产余额100亿元人民币(含)以上,且不符合第一档商业银行条件。
2.并表口径调整后表内外资产余额小于100亿元人民币但境外债权债务余额大于0。
(三)第三档商业银行是指并表口径调整后表内外资产余额小于100亿元人民币且境外债权债务余额为0的商业银行。
调整后表内外资产余额按照本办法第二十三条的规定计算。
境外债权债务,是指银行境外债权和境外债务之和,其中境外债权是指银行持有的对其他国家或地区政府、
中央银行
、公共部门实体、金融机构、非金融机构和个人的直接境外债权扣除转移回境内的风险敞口之后的最终境外债权;境外债务是指银行对其他国家或地区政府、
中央银行
、公共部门实体、金融机构、非金融机构和个人的债务。
国家金融监督管理总局有权根据银行业整体情况适时调整上述机构档次划分标准。国家金融监督管理总局及其派出机构有权根据单家银行经营管理和风险水平等情况,结合监管判断调整其所属的机构档次。
第七条 商业银行资本监管指标计算应建立在充分计提贷款损失准备等各项减值准备的基础之上。
第八条 商业银行应按照本办法建立全面风险管理架构和内部资本充足评估程序。
第九条 国家金融监督管理总局及其派出机构依照本办法对商业银行资本监管指标、资本管理状况进行监督检查,并采取相应的监管措施。
第十一条 商业银行未并表资本监管指标的计算范围应包括商业银行境内外所有分支机构。并表资本监管指标的计算范围应包括商业银行以及符合本办法规定的其直接或间接投资的金融机构。商业银行及被投资金融机构共同构成银行集团。
第十二条 商业银行计算并表资本监管指标,应将以下境内外被投资金融机构纳入并表范围:
(一)商业银行直接或间接拥有50%以上表决权的被投资金融机构。
(二)商业银行拥有50%以下(含)表决权的被投资金融机构,但通过与其他表决权持有人之间的协议能够控制50%以上表决权的。
(三)商业银行拥有50%以下(含)表决权的被投资金融机构,但综合考虑下列事实和情况后,判断商业银行持有的表决权足以使其有能力主导被投资金融机构相关活动的:
1.商业银行持有的表决权相对于其他投资方持有的表决权份额的大小,以及其他投资方持有表决权的分散程度。
2.商业银行和其他投资方持有的被投资金融机构的潜在表决权,如可转换公司债券、可执行认股权证等。
4.被投资金融机构以往的表决权行使情况等其他相关事实和情况。
(四)其他证据表明商业银行实际控制被投资金融机构的情况。
控制,是指投资方拥有对被投资方的权力,通过参与被投资方的相关活动而享有可变回报,并且有能力运用对被投资方的权力影响其回报金额。
第十三条 商业银行未拥有被投资金融机构多数表决权或控制权,具有下列情况之一的,应纳入并表资本监管指标计算范围:
(一)具有业务同质性的多个金融机构,虽然单个金融机构资产规模占银行集团整体资产规模的比例较小,但该类金融机构总体风险足以对银行集团的财务状况及风险水平造成重大影响。
(二)被投资金融机构所产生的合规风险、声誉风险造成的危害和损失足以对银行集团的声誉造成重大影响。
第十四条 符合本办法第十二条、第十三条规定的保险公司不纳入并表范围。
商业银行计算并表资本监管指标,应按照本办法第三十七条、第三十八条规定的方法扣除对保险公司的资本投资。
商业银行计算未并表资本监管指标,应按照本办法第十六条的规定扣除对保险公司的资本投资。
第十五条 商业银行拥有被投资金融机构50%以上表决权或对被投资金融机构的控制权,但被投资金融机构处于以下状态之一的,可不纳入并表范围:
(三)受所在国外汇管制及其他突发事件的影响,资金调度受到限制的境外被投资金融机构。
商业银行应从各级资本中对应扣除对有前款规定情形的被投资金融机构的资本投资。若被投资金融机构存在资本缺口,还应扣除相应的资本缺口。
第十六条 商业银行计算未并表资本监管指标,应从各级资本中对应扣除其对符合本办法第十二条和第十三条规定的金融机构的所有资本投资。若这些金融机构存在资本缺口,还应扣除相应的资本缺口。
第十七条 商业银行应根据本办法制定并表和未并表资本监管指标计算内部制度。商业银行调整并表和未并表资本监管指标计算范围的,应说明理由并及时向国家金融监督管理总局或其派出机构报告。
第十八条 国家金融监督管理总局及其派出机构有权根据商业银行及其附属机构股权结构变动、业务类别及风险状况确定和调整其并表资本监管指标的计算范围。


第二十一条 商业银行总资本包括一级资本和二级资本。其中,一级资本包括核心一级资本和其他一级资本。商业银行应按照本办法第三章的规定计算各级资本和扣除项。
第二十二条 商业银行风险加权资产包括信用风险加权资产、市场风险加权资产和操作风险加权资产。商业银行应按照本办法第四章、第五章和第六章的规定分别计量信用风险加权资产、市场风险加权资产和操作风险加权资产。
第二十三条 商业银行调整后表内外资产余额计算公式为:
调整后表内外资产余额=调整后表内资产余额(不包括表内衍生工具和证券融资交易)+衍生工具资产余额+证券融资交易资产余额+调整后表外项目余额-一级资本扣除项
从调整后表内外资产余额中扣减的一级资本扣除项不包括商业银行因自身信用风险变化导致其负债公允价值变化带来的未实现损益。
调整后表内外资产余额按照本办法附件19规定的方法计算。
第二十四条 商业银行在计算调整后表内外资产余额时,除本办法附件19另有规定外,不考虑抵质押品、保证和信用衍生工具等信用风险缓释因素。
第二十五条 资本充足率监管要求包括最低资本要求、储备资本和逆周期资本要求、系统重要性银行附加资本要求以及第二支柱资本要求。
第二十六条 商业银行各级资本充足率不得低于如下最低要求:
第二十七条 商业银行应在最低资本要求的基础上计提储备资本。储备资本要求为风险加权资产的2.5%,由核心一级资本来满足。国家金融监督管理总局有权根据宏观经济金融形势、银行业整体风险状况以及单家银行经营管理和风险水平等情况,对储备资本要求进行调整。
商业银行应在最低资本要求和储备资本要求之上计提逆周期资本。逆周期资本的计提与运用规则由
中国人民银行
会同国家金融监督管理总局另行规定。
第二十八条 除本办法第二十六条和第二十七条规定的最低资本要求、储备资本和逆周期资本要求外,系统重要性银行还应计提附加资本。
国内系统重要性银行的认定标准及其附加资本要求由
中国人民银行
会同国家金融监督管理总局另行规定。
若商业银行同时被认定为国内系统重要性银行和全球系统重要性银行,附加资本要求不叠加,采用二者孰高原则确定。
第二十九条 除本办法第二十六条、第二十七条和第二十八条规定的资本要求以外,国家金融监督管理总局及其派出机构有权在第二支柱框架下提出更审慎的资本要求,确保资本充分覆盖风险,包括:
(一)根据风险判断,针对部分资产组合提出的特定资本要求。
(二)根据监督检查结果,针对单家银行提出的特定资本要求。
国家金融监督管理总局及其派出机构有权确定第二支柱资本要求应由核心一级资本、其他一级资本或二级资本来满足。
第三十条 除上述资本充足率监管要求外,商业银行的杠杆率不得低于4%。
系统重要性银行在满足上述最低杠杆率要求的基础上,还应满足附加杠杆率要求。
国内系统重要性银行的附加杠杆率要求由
中国人民银行
会同国家金融监督管理总局另行规定。
第三十一条 商业银行发行的资本工具应符合本办法附件1规定的合格标准。
商业银行发行的二级资本工具在距到期日前最后五年,可计入二级资本的金额,应按100%、80%、60%、40%、20%的比例逐年减计。
1.商业银行采用权重法计量信用风险加权资产的,超额损失准备可计入二级资本,但不得超过信用风险加权资产的1.25%。
前款所称超额损失准备是指商业银行实际计提的损失准备超过损失准备最低要求的部分。损失准备最低要求由国家金融监督管理总局另行规定。
2.商业银行采用内部评级法计量信用风险加权资产的,超额损失准备可计入二级资本,但不得超过信用风险加权资产的0.6%。
前款所称超额损失准备是指商业银行实际计提的损失准备超过预期损失的部分。
第三十五条 计算资本充足率时,商业银行应从核心一级资本中全额扣除以下项目:
1.商业银行采用权重法计量信用风险加权资产的,损失准备缺口是指商业银行实际计提的损失准备低于损失准备最低要求的部分。
2.商业银行采用内部评级法计量信用风险加权资产的,损失准备缺口是指商业银行实际计提的损失准备低于预期损失的部分。
(八)对资产负债表中未按公允价值计量的项目进行套期形成的现金流储备,若为正值,应予以扣除;若为负值,应予以加回。
(九)商业银行自身信用风险变化导致其负债公允价值变化带来的未实现损益。
第三十六条 商业银行之间通过协议相互持有的各级资本工具,或国家金融监督管理总局认定为虚增资本的各级资本投资,应从相应监管资本中对应扣除。
商业银行直接或间接持有本银行发行的其他一级资本工具和二级资本工具,应从相应监管资本中对应扣除。
对应扣除是指从商业银行自身相应层级资本中扣除。商业银行某一级资本净额小于应扣除数额的,缺口部分应从更高一级的资本净额中扣除。
第三十七条 商业银行对未并表金融机构的小额少数资本投资,合计超出本银行核心一级资本净额10%的部分,应从各级监管资本中对应扣除。
小额少数资本投资是指商业银行对金融机构各级资本投资(包括直接和间接投资)之和,占该被投资金融机构实收资本(普通股加普通股溢价)10%(不含)以下,且不符合本办法第十二条、第十三条规定的资本投资。
第三十八条 商业银行对未并表金融机构的大额少数资本投资中,核心一级资本投资合计超出本银行核心一级资本净额10%的部分应从本银行核心一级资本中扣除;其他一级资本投资和二级资本投资应从相应层级资本中全额扣除。
大额少数资本投资是指商业银行对金融机构各级资本投资(包括直接和间接投资)占该被投资金融机构实收资本(普通股加普通股溢价)10%(含)以上,且不符合本办法第十二条、第十三条规定的资本投资。
第三十九条 除本办法第三十五条第三款规定的递延税资产外,其他依赖于本银行未来盈利的净递延税资产,超出本银行核心一级资本净额10%的部分应从核心一级资本中扣除。
第四十条 根据本办法第三十八条、第三十九条的规定,未在商业银行核心一级资本中扣除的对金融机构的大额少数资本投资和相应的净递延税资产,合计金额不得超过本银行核心一级资本净额的15%。
第四十一条 商业银行持有的外部总损失吸收能力非资本债务工具的扣除规则,由
中国人民银行
会同国家金融监督管理总局另行规定。
第四十二条 商业银行附属公司适用于资本监管的,附属公司直接发行且由第三方持有的少数股东资本可以部分计入监管资本。
第四十三条 附属公司核心一级资本中少数股东资本用于满足核心一级资本最低要求和储备资本要求的部分,可计入并表核心一级资本。
(一)附属公司核心一级资本最低要求加储备资本要求。
(二)母公司并表核心一级资本最低要求与储备资本要求归属于附属公司的部分。
第四十四条 附属公司一级资本中少数股东资本用于满足一级资本最低要求和储备资本要求的部分,扣除已计入并表核心一级资本的部分后,剩余部分可以计入并表其他一级资本。
(二)母公司并表一级资本最低要求与储备资本要求归属于附属公司的部分。
第四十五条 附属公司总资本中少数股东资本用于满足总资本最低要求和储备资本要求的部分,扣除已计入并表一级资本的部分后,剩余部分可以计入并表二级资本。
(二)母公司并表总资本最低要求与储备资本要求归属于附属公司的部分。
第四十六条 商业银行可以采用权重法或内部评级法计量信用风险加权资产。商业银行采用内部评级法计量信用风险加权资产的,应符合本办法的规定,并经国家金融监督管理总局或其派出机构验收通过。内部评级法未覆盖的风险暴露应采用权重法计量信用风险加权资产。
未经国家金融监督管理总局或其派出机构认可,商业银行不得变更信用风险加权资产计量方法。
第四十七条 商业银行采用权重法,应按照本办法规定的机构划分标准,实施差异化的银行账簿信用风险暴露分类和信用风险加权资产计量规则。
(一)第一档商业银行应按照本办法附件2的规定对银行账簿信用风险暴露进行分类,按照本章第二节的规定计量信用风险加权资产。
(二)第二档商业银行应按照本办法第六十五条第五款、第六十六条第二款、第六十七条第二款、第六十八条第三款、第六十九条第三款、第七十一条第三款、第七十二条第三款、第七十四条、第七十九条第三款、第八十条第三款的规定,对商业银行风险暴露、其他金融机构风险暴露、公司风险暴露、个人风险暴露、房地产风险暴露、存在币种错配情形的个人风险暴露和向个人发放的居住用房地产风险暴露、合格资产担保债券、已违约风险暴露进行划分和计量。
第四十八条 商业银行采用权重法,可以按照本办法附件3的规定审慎考虑信用风险缓释工具的风险抵补作用。
第四十九条 商业银行申请采用内部评级法计量信用风险加权资产的,提交申请时内部评级法资产覆盖率应不低于50%。
内部评级法资产覆盖率=按内部评级法计量的风险加权资产/(按内部评级法计量的风险加权资产+按权重法计量的内部评级法未覆盖信用风险暴露的风险加权资产)×100%
第五十条 商业银行采用内部评级法,应按照本办法附件4的规定对银行账簿信用风险暴露进行分类,按照本办法附件5的规定建立内部评级体系,按照本办法附件6的规定计量信用风险加权资产。
商业银行采用内部评级法,可以按照本办法附件7的规定审慎考虑信用风险缓释工具的风险抵补作用。
商业银行采用内部评级法,可以按照本办法附件8的规定采用监管映射法计量专业贷款信用风险加权资产。
第五十一条 商业银行应按照本办法附件9的规定计量银行账簿和交易账簿的交易对手信用风险加权资产,按照本办法附件10的规定计量中央交易对手风险暴露的信用风险加权资产。
第五十二条 商业银行应按照本办法附件11的规定计量银行账簿资产证券化风险暴露的信用风险加权资产。
第五十三条 商业银行应按照本办法附件12的规定计量银行账簿资产管理产品的信用风险加权资产。
第五十四条 权重法下信用风险加权资产为银行账簿表内资产信用风险加权资产与表外项目信用风险加权资产之和。
第五十五条 商业银行计量各类表内资产的风险加权资产,应首先从资产账面价值中扣除相应的减值准备,然后乘以风险权重。
第五十六条 商业银行计量各类表外项目的风险加权资产,应将表外项目名义金额乘以信用转换系数得到等值的表内资产,再按表内资产的处理方式计量风险加权资产。
第五十八条 商业银行对境外主权和公共部门实体风险暴露的风险权重,以所在国家或地区的外部信用评级结果为基准。
(一)对其他国家或地区政府及其
中央银行
风险暴露,该国家或地区的评级为AA-(含)以上的,风险权重为0%;AA-以下,A-(含)以上的,风险权重为20%;A-以下,BBB-(含)以上的,风险权重为50%;BBB-以下,B-(含)以上的,风险权重为100%;B-以下的,风险权重为150%;未评级的,风险权重为100%。
(二)对境外公共部门实体风险暴露,注册地所在国家或地区的评级为AA-(含)以上的,风险权重为20%;AA-以下,A-(含)以上的,风险权重为50%;A-以下,B-(含)以上的,风险权重为100%;B-以下的,风险权重为150%;未评级的,风险权重为100%。
第五十九条 商业银行对国际清算银行、国际货币基金组织、欧洲中央银行、欧盟、欧洲稳定机制和欧洲金融稳定机制风险暴露的风险权重为0%。
第六十条 商业银行对多边开发银行风险暴露的风险权重。
(一)对经巴塞尔委员会认定的合格多边开发银行风险暴露的风险权重为0%。
(二)对其他多边开发银行风险暴露的风险权重,以其自身外部信用评级结果为基准。评级为AA-(含)以上的,风险权重为20%;AA-以下,A-(含)以上的,风险权重为30%;A-以下,BBB-(含)以上的,风险权重为50%;BBB-以下,B-(含)以上的,风险权重为100%;B-以下的,风险权重为150%;未评级的,风险权重为50%。
第六十一条 商业银行对我国
中央政府
和
中国人民银行
风险暴露的风险权重为0%。
第六十二条 商业银行对视同我国主权的公共部门实体风险暴露的风险权重。
(一)对我国
中央政府
投资的金融资产管理公司为收购国有银行不良贷款而定向发行的债券的风险权重为0%。
(二)对省(自治区、直辖市)及计划单列市人民政府风险暴露的风险权重根据债券类型确定。
一般债券
风险权重为10%,
专项债券
风险权重为20%。
(三)对除
财政部
和
中国人民银行
外,其他收入主要源于中央财政的公共部门实体风险暴露的风险权重为20%。
商业银行对前款所列视同我国主权的公共部门实体投资的工商企业的风险暴露不适用上述风险权重。
第六十三条 商业银行对经国家金融监督管理总局认定的我国一般公共部门实体风险暴露的风险权重为50%。
商业银行对我国一般公共部门实体投资的工商企业的风险暴露不适用50%的风险权重。
第六十四条 商业银行对我国开发性金融机构和政策性银行风险暴露(不含次级债权)的风险权重为0%。
第六十五条 商业银行对境内外其他商业银行风险暴露(不含次级债权)的风险权重,以本办法附件2规定的标准信用风险评估结果为基准。
(一)对A+级商业银行风险暴露的风险权重为30%,A级商业银行风险暴露的风险权重为40%,其中原始期限三个月(含)以内,或因跨境货物贸易而产生的原始期限六个月(含)以内风险暴露的风险权重为20%。
(二)对B级商业银行风险暴露的风险权重为75%,其中原始期限三个月(含)以内,或因跨境货物贸易而产生的原始期限六个月(含)以内风险暴露的风险权重为50%。
(三)对C级商业银行风险暴露的风险权重为150%。
(四)商业银行对境外其他商业银行风险暴露(不含次级债权)的风险权重,应不低于其注册地所在国家或地区的主权风险暴露对应的风险权重,其中原始期限三个月(含)以内,或因跨境货物贸易而产生的原始期限六个月(含)以内风险暴露,不受上述底线约束。
(五)第二档商业银行不对境内外其他商业银行划分级别。对境内外其他商业银行风险暴露的风险权重为40%,其中原始期限三个月(含)以内,或因跨境货物贸易而产生的原始期限六个月(含)以内风险暴露的风险权重为20%。
第二档商业银行对境外其他商业银行风险暴露的风险权重应满足本条第(四)款的规定。
第六十六条 商业银行对境内外其他金融机构风险暴露(不含次级债权)的风险权重为100%,其中符合本办法附件2规定的投资级其他金融机构风险暴露的风险权重为75%。
第二档商业银行不单独划分投资级其他金融机构风险暴露,按照一般其他金融机构风险暴露的风险权重计量。
第六十七条 商业银行对一般公司风险暴露的风险权重为100%,其中符合本办法附件2规定的投资级公司风险暴露的风险权重为75%,中小企业风险暴露的风险权重为85%,小微企业风险暴露的风险权重为75%。
第二档商业银行不单独划分投资级公司风险暴露,按照一般公司风险暴露的风险权重计量。
(三)第二档商业银行不单独划分专业贷款,按照一般公司风险暴露的风险权重计量。
(一)对符合本办法附件2规定的监管零售个人风险暴露的风险权重为75%,其中符合标准的合格交易者个人风险暴露的风险权重为45%。
(三)第二档商业银行对个人住房抵押贷款的风险权重为50%。对已抵押房产,商业银行以再评估后的净值为抵押追加贷款并用于房地产投资的,追加部分的风险权重为150%。
第七十条 商业银行对房地产开发风险暴露的风险权重为150%,其中符合本办法附件2第八部分(三)规定的审慎要求的,风险权重为100%。
第七十一条 商业银行对居住用房地产风险暴露的风险权重。
(一)对还款不实质性依赖于房地产所产生的现金流的风险暴露的风险权重。
1.对符合本办法附件2第八部分(五)规定的审慎要求的,贷款价值比为50%(含)以下的,风险权重为20%;50%至60%(含)的,风险权重为25%;60%至70%(含)的,风险权重为30%;70%至80%(含)的,风险权重为35%;80%至90%(含)的,风险权重为40%;90%至100%(含)的,风险权重为50%;100%以上的,按照交易对手风险权重计量。
2.对不符合本办法附件2第八部分(五)规定的审慎要求的,按照交易对手风险权重计量。
(二)对还款实质性依赖于房地产所产生的现金流的风险暴露的风险权重。
1.对符合本办法附件2第八部分(五)规定的审慎要求的,贷款价值比为50%(含)以下的,风险权重为30%;50%至60%(含)的,风险权重为35%;60%至70%(含)的,风险权重为45%;70%至80%(含)的,风险权重为50%;80%至90%(含)的,风险权重为60%;90%至100%(含)的,风险权重为75%;100%以上的,风险权重为105%。
2.对不符合本办法附件2第八部分(五)规定的审慎要求的,风险权重为150%。
(三)第二档商业银行不单独划分居住用房地产风险暴露,按照交易对手风险权重计量。
第七十二条 商业银行对商用房地产风险暴露的风险权重。
(一)对还款不实质性依赖于房地产所产生的现金流的风险暴露的风险权重。
1.对符合本办法附件2第八部分(五)规定的审慎要求的,贷款价值比为60%(含)以下的,风险权重为65%;60%(不含)以上的,按照交易对手风险权重计量。
2.对不符合本办法附件2第八部分(五)规定的审慎要求的,按照交易对手风险权重计量。
(二)对还款实质性依赖于房地产所产生的现金流的风险暴露的风险权重。
1.对符合本办法附件2第八部分(五)规定的审慎要求的,贷款价值比为60%(含)以下的,风险权重为75%;60%至80%(含)的,风险权重为90%与交易对手风险权重中的较大值;80%以上的,风险权重为110%。
2.对不符合本办法附件2第八部分(五)规定的审慎要求的,风险权重为150%。
(三)第二档商业银行不单独划分商用房地产风险暴露,按照交易对手风险权重计量。
第七十三条 商业银行自用不动产的风险权重为100%,商业银行非自用不动产的风险权重为400%。
商业银行因行使抵押权等方式而持有的非自用不动产在法律规定处分期限内的风险权重为100%。
第七十四条 商业银行对存在币种错配情形的个人风险暴露和向个人发放的居住用房地产风险暴露的风险权重,分别为第六十九条、第七十一条中对应风险权重的1.5倍,最高不超过150%。
第二档商业银行不单独划分存在币种错配情形的个人风险暴露和向个人发放的居住用房地产风险暴露,按照交易对手风险权重计量。
国家金融监督管理总局有权根据实际风险水平对商业银行存在币种错配情形且未对冲的公司风险暴露的风险权重进行调整。
第七十五条 租赁业务的租赁资产余值的风险权重为100%。
第七十六条 商业银行对工商企业股权投资的风险权重。
(一)被动持有的对工商企业股权投资在法律规定处分期限内的风险权重为250%。
(二)对因市场化债转股持有的工商企业股权投资的风险权重为250%。
(三)对获得国家重大补贴并受到政府监督的股权投资的风险权重为250%。
(四)对工商企业其他股权投资的风险权重为1250%。
第七十七条 商业银行对次级债权(不含我国开发性金融机构和政策性银行)和全球系统重要性银行发行的外部总损失吸收能力非资本债务工具(未扣除部分)的风险权重为150%。
商业银行对我国开发性金融机构和政策性银行的次级债权(未扣除部分)的风险权重为100%。
(二)依赖于银行未来盈利的净递延税资产(未扣除部分)。
第七十九条 商业银行对合格资产担保债券的风险权重。
(一)债券自身具有外部信用评级的,以债券自身的外部信用评级结果为基准。债券评级为AA-(含)以上的,风险权重为10%;AA-以下,BBB-(含)以上的,风险权重为20%;BBB-以下,B-(含)以上的,风险权重为50%;B-以下的,风险权重为100%。
(二)债券自身不具有外部信用评级的,以债券发行银行的标准信用风险评估结果为基准。债券发行银行为A+级的,风险权重为15%;A级的,风险权重为20%;B级的,风险权重为35%;C级的,风险权重为100%。
(三)第二档商业银行不单独划分合格资产担保债券,按照交易对手风险权重计量。
(一)以居住用房为抵押、还款不实质性依赖于房地产所产生的现金流的已违约风险暴露,风险权重为100%。
(二)对其他已违约风险暴露,损失准备低于资产账面价值的20%的,风险权重为150%;损失准备不低于资产账面价值的20%的,风险权重为100%。
(三)第二档商业银行不单独划分已违约风险暴露,按照交易对手风险权重计量。
第八十一条 商业银行其他资产的风险权重为100%。
国家金融监督管理总局有权根据实际风险水平对其中部分资产的风险权重进行调整。
(一)等同于贷款的授信业务的信用转换系数为100%。
(二)贷款承诺的信用转换系数为40%,其中可随时无条件撤销的贷款承诺的信用转换系数为10%。满足本办法附件3规定的特定条件的可随时无条件撤销的贷款承诺可豁免计量信用风险加权资产。
(三)未使用的信用卡授信额度的信用转换系数为40%,但符合以下条件的未使用的信用卡授信额度的信用转换系数为20%。
2.对同一持卡人的授信额度不超过100万元人民币。
3.商业银行应至少每年一次评估持卡人的信用程度,按季监控授信额度的使用情况;若持卡人信用状况恶化,商业银行有权降低甚至取消授信额度。
(四)票据发行便利和循环认购便利的信用转换系数为50%。
(五)银行借出的证券或用作抵押物的证券,信用转换系数为100%。
(六)与贸易直接相关的短期或有项目,信用转换系数为20%,其中基于服务贸易的国内信用证的信用转换系数为50%。
(七)与交易直接相关的或有项目,信用转换系数为50%。
(八)信用风险仍在银行的资产销售与购买协议,信用转换系数为100%。
(九)远期资产购买、远期定期存款、部分交款的股票及证券,信用转换系数为100%。
第八十三条 商业银行应按照本办法附件3的规定对因证券、商品、外汇清算形成的风险暴露计量信用风险加权资产。
第八十四条 商业银行采用权重法计量信用风险加权资产时,可按照本办法附件3的规定考虑合格质物、合格保证或合格信用衍生工具的风险缓释作用。
(一)合格质物质押的风险暴露(含证券融资交易形成的风险暴露),取得与质物相同的风险权重,或取得对质物发行人或承兑人直接风险暴露的风险权重。部分质押的风险暴露(含证券融资交易形成的风险暴露),受质物保护的部分获得相应的较低风险权重。
(二)合格保证主体提供全额保证的风险暴露,取得对保证人直接风险暴露的风险权重。部分保证的风险暴露,被保证部分获得相应的较低风险权重。
(三)合格信用衍生工具提供信用保护的风险暴露,取得对信用保护提供方直接风险暴露的风险权重。部分受信用保护的风险暴露,被保护部分获得相应的较低风险权重。
第八十五条 合格保证的剩余期限短于风险暴露剩余期限的,不具备风险缓释作用。合格质物、合格信用衍生工具的剩余期限短于风险暴露剩余期限时,商业银行应按照本办法附件3的规定对合格信用风险缓释工具与风险暴露之间的期限错配进行调整。
第八十六条 商业银行应按照本办法附件3的规定对合格信用风险缓释工具与风险暴露之间的币种错配进行调整。合格质物与风险暴露之间的币种错配无需调整。
第八十七条 合格质物质押的风险暴露的风险权重应不低于20%,满足本办法附件3规定的特定条件的风险暴露不受上述底线约束。
第八十八条 商业银行应对银行账簿信用风险暴露进行分类,并至少分为以下六类:
(三)公司风险暴露,包括中小企业风险暴露、专业贷款和一般公司风险暴露。
(四)零售风险暴露,包括个人住房抵押贷款、合格循环零售风险暴露和其他零售风险暴露。合格循环零售风险暴露包括合格交易者循环零售风险暴露和一般循环零售风险暴露。
(六)其他风险暴露,包括购入应收账款、资产证券化风险暴露及资产管理产品。
主权风险暴露、金融机构风险暴露和公司风险暴露统称为非零售风险暴露。
第八十九条 商业银行对股权风险暴露不得采用内部评级法计量信用风险加权资产,对以下风险暴露不得采用高级内部评级法计量信用风险加权资产:
(二)企业年营业收入(近三年营业收入的算术平均值)超过30亿元人民币或符合以下情形之一的一般公司风险暴露:
1.此类企业或其全资子公司直接控股超过50%的企业。
2.两个以上此类企业或其全资子公司直接控股超过50%的企业。
3.与此类企业或其全资子公司的法定代表人为同一自然人的企业。
第九十条 商业银行应分别计量未违约和已违约风险暴露的风险加权资产:
(一)未违约非零售风险暴露的风险加权资产计量基于单笔信用风险暴露的违约概率、违约损失率、违约风险暴露、相关性和有效期限。
未违约零售风险暴露的风险加权资产计量基于单个资产池风险暴露的违约概率、违约损失率、违约风险暴露和相关性。
(二)已违约风险暴露的风险加权资产计量基于违约损失率、预期损失率和违约风险暴露。
(一)主权风险暴露的违约概率为商业银行内部估计的1年期违约概率。
(二)公司和金融机构风险暴露的违约概率为商业银行内部估计的1年期违约概率与0.05%中的较大值。
由主权提供合格保证担保覆盖的风险暴露部分,违约概率不受0.05%底线约束。
(三)零售风险暴露的违约概率为商业银行内部估计的1年期违约概率与0.05%中的较大值,其中一般循环零售风险暴露的违约概率为商业银行内部估计的1年期违约概率与0.1%中的较大值。
(四)对于提供合格保证或信用衍生工具的风险暴露,商业银行可以使用保证人或信用保护提供方的违约概率替代债务人的违约概率。
第九十二条 商业银行应按照以下方法确定违约损失率:
(一)商业银行采用初级内部评级法,主权和金融机构风险暴露中没有合格抵质押品的高级债权和次级债权的违约损失率分别为45%和75%,公司风险暴露中没有合格抵质押品的高级债权和次级债权的违约损失率分别为40%和75%。对于提供合格抵质押品的高级债权和从属于净额结算主协议的回购交易,商业银行可以根据风险缓释效应调整违约损失率。
(二)商业银行采用高级内部评级法,应使用内部估计的单笔非零售风险暴露的违约损失率。
1.主权风险暴露的违约损失率为商业银行内部估计的违约损失率。
2.对于没有合格抵质押品的公司风险暴露,违约损失率为商业银行内部估计的违约损失率与25%中的较大值。对于提供合格抵质押品的公司风险暴露,采用金融质押品质押的,违约损失率为商业银行内部估计的违约损失率;采用应收账款质押、商用房地产和居住用房地产抵押的,违约损失率为商业银行内部估计的违约损失率与10%中的较大值;采用其他抵质押品担保的,违约损失率为商业银行内部估计的违约损失率与15%中的较大值。
由主权提供合格保证担保覆盖的风险暴露部分,违约损失率不受上述底线约束。
(三)商业银行应使用内部估计的零售资产池的违约损失率。
1.个人住房抵押贷款的违约损失率为商业银行内部估计的违约损失率与10%中的较大值。
2.合格循环零售风险暴露的违约损失率为商业银行内部估计的违约损失率与50%中的较大值。
3.对于没有合格抵质押品的其他零售风险暴露,违约损失率为商业银行内部估计的违约损失率与30%中的较大值。对于提供合格抵质押品的其他零售风险暴露,采用金融质押品质押的,违约损失率为商业银行内部估计的违约损失率;采用应收账款质押、商用房地产和居住用房地产抵押的,违约损失率为商业银行内部估计的违约损失率与10%中的较大值;采用其他抵质押品担保的,违约损失率为商业银行内部估计的违约损失率与15%中的较大值。
第九十三条 商业银行应按照以下方法确定违约风险暴露:
违约风险暴露应不考虑减值准备的影响。表内资产的违约风险暴露应不小于以下两项之和:(1)违约风险暴露被完全核销后,银行监管资本下降的数量;(2)各项减值准备的数量。
如果商业银行估计的违约风险暴露超过以上两项之和,超过部分可视为折扣。风险加权资产的计量不受该折扣的影响,但比较预期损失和损失准备时,可将该折扣计入损失准备。
(一)商业银行采用初级内部评级法,应按风险暴露名义金额计量表内资产的违约风险暴露,但可以考虑合格净额结算的风险缓释效应。
(二)商业银行采用初级内部评级法,各类表外项目的信用转换系数按照本办法第八十二条的规定。
(三)商业银行采用高级内部评级法,应使用内部估计的非零售违约风险暴露。对于可循环类表外项目,应按照商业银行内部估计的信用转换系数计量违约风险暴露。对于不可循环类表外项目,以及商业银行未达到本办法附件5规定的违约风险暴露估计要求时,应按照本办法第八十二条规定的信用转换系数计量违约风险暴露。对于按照本办法第八十二条规定信用转换系数为100%的表外项目,应使用100%的信用转换系数计量违约风险暴露。
公司风险暴露的违约风险暴露为商业银行内部估计的违约风险暴露与以下两项之和中的较大值:(1)表内资产风险暴露;(2)按照本办法第八十二条规定的信用转换系数计算的表外项目风险暴露的50%。
由主权提供合格保证担保覆盖的风险暴露部分,违约风险暴露不受上述底线约束。
(四)商业银行应使用内部估计的零售违约风险暴露。对于可循环类表外项目,应按照商业银行内部估计的信用转换系数计量违约风险暴露。对于不可循环类表外项目、包含外汇和利率承诺的表外项目,以及商业银行未达到本办法附件5规定的违约风险暴露估计要求时,应按照本办法第八十二条规定的信用转换系数计量违约风险暴露。对于按照本办法第八十二条规定信用转换系数为100%的表外项目,应使用100%的信用转换系数计量违约风险暴露。
(一)商业银行采用初级内部评级法,非零售风险暴露的有效期限为2.5年。回购类交易的有效期限为0.5年。
(二)商业银行采用高级内部评级法,有效期限为内部估计的有效期限与1年中的较大值,但最大不超过5年。中小企业风险暴露的有效期限可以采用2.5年。
(三)对于下列短期风险暴露,有效期限为内部估计的有效期限与1天中的较大值:
1.原始期限1年以内全额抵押的场外衍生品交易、保证金贷款、回购交易和证券借贷交易。交易文件中必须包括按日重新估值并调整保证金,且在交易对手违约或未能补足保证金时可以及时平仓或处置抵押品的条款。
2.原始期限1年以内自我清偿性的贸易融资,包括开立的和保兑的信用证。
3.原始期限3个月以内的其他短期风险暴露,包括:场外衍生品交易、保证金贷款、回购交易、证券借贷,短期贷款和存款,证券和外汇清算而产生的风险暴露,以电汇方式进行现金清算产生的风险暴露等。
第九十五条 本办法所称市场风险是指因市场价格(利率、汇率、股票价格和商品价格)的不利变动而使商业银行表内和表外业务发生损失的风险。
第九十六条 市场风险资本计量应覆盖商业银行交易账簿中的违约风险、一般利率风险、信用利差风险、股票风险,以及全账簿汇率风险和商品风险。
商业银行可不对结构性外汇头寸、资本扣除项对应的外汇头寸计量汇率风险资本要求。
从商业银行监管资本中扣除的资本工具,不纳入市场风险资本计量范围。
在特定情况下,国家金融监督管理总局有权要求商业银行采用审慎的方式加总计量并表口径的市场风险资本要求,即不考虑各法人机构之间风险头寸的抵消和净额结算。
第九十七条 本办法所称交易账簿包括以交易目的或对冲交易账簿其他项目的风险而持有的金融工具、外汇和商品头寸及经国家金融监督管理总局认定的其他工具。除交易账簿工具外,其他工具应划入银行账簿。
前款所称以交易目的持有的头寸是指短期内有目的地持有以便出售,或从实际或预期的短期价格波动中获利,或锁定套利的头寸,包括自营业务、做市业务、为满足客户需求提供的对客交易及对冲前述交易相关风险而持有的头寸。
第九十八条 商业银行应按照本办法附件13的规定划分交易账簿和银行账簿。
国家金融监督管理总局或其派出机构有权要求商业银行提供账簿划分的依据,对划分依据不合理的银行,有权要求其作出调整。
第九十九条 商业银行从银行账簿到交易账簿的内部风险转移,应满足本办法附件13的要求。
第一百条 商业银行可以采用标准法、内部模型法或简化标准法计量市场风险资本要求。未经国家金融监督管理总局或其派出机构认可,商业银行不得变更市场风险资本计量方法,另有规定的从其规定。
第一百零一条 商业银行应以交易台为单位申请使用内部模型法计量市场风险资本要求。
前款所称交易台是指由商业银行设定,在清晰的风险管理框架中执行明确交易策略的一组交易员或一套会计账目。
第一百零二条 商业银行采用内部模型法,内部模型法覆盖率应不低于10%。商业银行应按季评估内部模型法覆盖率,若不满足标准,应采用标准法计量资本要求。重新满足标准后,当季末应恢复采用内部模型法计量资本要求。商业银行应及时向国家金融监督管理总局或其派出机构报告上述方法变更情况。
内部模型法覆盖率=按内部模型法计量的资本要求/(按内部模型法计量的资本要求+按标准法计量的资本要求)×100%
第一百零三条 商业银行市场风险加权资产为市场风险资本要求的12.5倍,即市场风险加权资产=市场风险资本要求×12.5。
第一百零四条 商业银行采用标准法,应按照本办法附件14的规定分别计量基于敏感度方法的资本要求、违约风险资本要求和剩余风险附加资本要求。
第一百零五条 基于敏感度方法的资本要求为得尔塔、维伽和曲度三项风险资本要求之和。风险类别包括一般利率风险、非证券化信用利差风险、非相关性交易组合证券化信用利差风险、相关性交易组合证券化信用利差风险、股票风险、商品风险和汇率风险。
第一百零六条 违约风险资本要求的风险类别包括非证券化违约风险、非相关性交易组合证券化违约风险和相关性交易组合证券化违约风险。
第一百零七条 标的为奇异性资产的工具和承担其他剩余风险的工具应计量剩余风险附加资本要求。
第一百零八条 商业银行采用内部模型法,应符合本办法附件15的规定,并经国家金融监督管理总局或其派出机构验收通过。商业银行采用内部模型法的,应同时按标准法计量和报送所有交易台的资本要求。
第一百零九条 商业银行采用内部模型法,其市场风险总资本要求(ACRtotal)为:

(一)IMAG,A为经验收通过使用内部模型法且符合内部模型法使用条件的交易台资本要求。
(二)Cu为未经验收通过使用内部模型法或不符合内部模型法使用条件的交易台按标准法计量的资本要求。
(三)资本附加为根据损益归因测试结果相应增加的资本要求。
(四)SAall desk为所有交易台按标准法计量的资本要求,
SAG
,A为经验收通过使用内部模型法且符合内部模型法使用条件的交易台按标准法计量的资本要求。
第一百一十条 商业银行应使用单独的内部模型计量违约风险资本要求。内部模型未达到合格标准或未覆盖违约风险的,应按标准法计量违约风险资本要求。
第一百一十一条 商业银行采用简化标准法应符合本办法附件16的要求。商业银行应按照本办法附件16的规定分别计量利率风险、汇率风险、商品风险和股票风险的资本要求,并单独计量以各类风险为基础的期权风险的资本要求。
第一百一十二条 简化标准法市场风险资本要求为利率风险、汇率风险、商品风险、股票风险和以各类风险为基础的期权风险的资本要求经相应的调整后加总,公式如下:
资本要求=利率风险资本要求(含利率类期权风险资本要求)×1.3+汇率风险资本要求(含汇率类期权风险资本要求)×1.2+商品风险资本要求(含商品类期权风险资本要求)×1.9+股票风险资本要求(含股票类期权风险资本要求)×3.5
利率风险资本要求和股票风险资本要求为一般市场风险资本要求和特定市场风险资本要求之和。期权风险资本要求纳入其标的对应风险类别进行资本要求汇总。
第一百一十三条 本办法所称操作风险是指由于内部程序、员工、信息科技系统存在问题以及外部事件造成损失的风险,包括法律风险,但不包括战略风险和声誉风险。
第一百一十四条 商业银行可以采用标准法或基本指标法计量操作风险资本要求。
第一档商业银行应采用标准法计量操作风险资本要求,并符合本办法附件18的规定。
第二档商业银行应采用基本指标法计量操作风险资本要求。
第一百一十五条 商业银行操作风险加权资产为操作风险资本要求的12.5倍,即操作风险加权资产=操作风险资本要求×12.5。
第一百一十六条 商业银行采用标准法,应按照以下公式计量操作风险资本要求:
第一百一十七条 业务指标部分(BIC)等于商业银行的业务指标(BI)乘以对应的边际资本系数。

第一百一十八条 业务指标(BI)为利息、租赁和股利部分(ILDC),服务部分(SC)及金融部分(FC)之和,即BI=ILDC+SC+FC。其中:

每个项目上方的横线表示近三年的算术平均值,各部分的具体项目定义见本办法附件18。
第一百一十九条 商业银行采用标准法,应根据业务指标(BI)规模适用累进边际资本系数。业务指标80亿元人民币(含)以下的部分,边际资本系数为12%;80亿元人民币以上,2400亿元人民币(含)以下的部分,边际资本系数为15%;2400亿元人民币以上的部分,边际资本系数为18%。
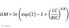
第一百二十条 内部损失乘数(ILM)是基于商业银行操作风险平均历史损失数据与业务指标部分的调整因子,计算公式为:

损失部分(LC)为近十年操作风险损失金额的算术平均值的15倍。损失数据识别、收集和处理的标准见本办法附件18。
第一百二十一条 商业银行采用标准法,经国家金融监督管理总局或其派出机构验收通过后,可采用自身损失数据自行计算内部损失乘数;未经国家金融监督管理总局或其派出机构验收通过的,应采用本办法附件18中给定的内部损失乘数。
第一百二十二条 商业银行采用基本指标法,应以总收入为基础计量操作风险资本要求。商业银行应按照本办法附件18的规定确认总收入。
第一百二十三条 商业银行采用基本指标法,应按照以下公式计量操作风险资本要求:


第一百二十四条 商业银行应按照国家金融监督管理总局关于全面风险管理的相关监管要求和本办法规定,建立完善的风险管理框架和稳健的内部资本充足评估程序,明确风险治理结构,审慎评估各类风险、资本充足水平和资本质量,制定资本规划和资本充足率管理计划,确保银行资本能够充分抵御其所面临的风险,满足业务发展的需要。
第一百二十五条 商业银行内部资本充足评估程序应实现以下目标:
(一)确保主要风险得到识别、计量或评估、监测和报告。
(二)确保资本水平与风险偏好及风险管理水平相适应。
(三)确保资本规划与银行经营状况、风险变化趋势及长期发展战略相匹配。
第一百二十六条 商业银行应将压力测试作为内部资本充足评估程序的重要组成部分,结合压力测试结果确定内部资本充足率目标。压力测试应覆盖各业务条线的主要风险,并充分考虑经济周期对资本充足率的影响。
第一百二十七条 商业银行应将内部资本充足评估程序作为内部管理和决策的组成部分,并将内部资本充足评估结果运用于资本预算与分配、授信决策和战略规划。
第一百二十八条 商业银行应制定合理的薪酬政策,确保薪酬水平、结构和发放时间安排与风险大小和风险存续期限一致,反映风险调整后的长期收益水平,防止过度承担风险,维护财务稳健性。
第一百二十九条 商业银行可根据本银行业务规模和复杂程度,采用适合自身风险特点的内部资本充足评估程序,并至少每年实施一次,在银行经营情况、风险状况和外部环境发生重大变化时,应及时进行调整和更新。
第一百三十条 商业银行董事会承担本行资本管理的最终责任,履行以下职责:
(一)设定与银行发展战略和外部环境相适应的风险偏好和资本充足目标,审批银行内部资本充足评估程序,确保资本充分覆盖主要风险。
(二)审批资本管理制度,确保资本管理政策和控制措施有效。
(三)监督内部资本充足评估程序的全面性、前瞻性和有效性。
(四)审批并监督资本规划的实施,满足银行持续经营和应急性资本补充需要。
(五)至少每年一次审批资本充足率管理计划,审议资本充足率管理报告及内部资本充足评估报告,听取对资本充足率管理和内部资本充足评估程序执行情况的审计报告。
(六)审批第三支柱信息披露政策、程序和内容,并保证披露信息的真实、准确和完整。
(七)确保商业银行有足够的资源,能够独立、有效地开展资本管理工作。
第一百三十一条 商业银行采用资本计量高级方法的,董事会还应负责审批资本计量高级方法的管理体系实施规划和重大管理政策,监督高级管理层制定并实施资本计量高级方法的管理政策和流程,确保商业银行有足够资源支持资本计量高级方法管理体系的运行。
第一百三十二条 商业银行高级管理层负责根据业务战略和风险偏好组织实施资本管理工作,确保资本与业务发展、风险水平相适应,落实各项监控措施。具体履行以下职责:
(二)制定并组织实施内部资本充足评估程序,明确相关部门的职责分工,建立健全评估框架、流程和管理制度,确保与商业银行全面风险管理、资本计量及分配等保持一致。
(三)制定和组织实施资本规划和资本充足率管理计划。
(四)定期和不定期评估资本充足率,向董事会报告资本充足率、资本充足率管理情况和内部资本充足评估结果。
(五)组织开展压力测试,参与压力测试目标、方案及重要假设的确定,推动压力测试结果在风险评估和资本规划中的运用,确保资本应急补充机制的有效性。
(六)组织内部资本充足评估信息管理系统的开发和维护工作,确保信息管理系统及时、准确地提供评估所需信息。
第一百三十三条 商业银行采用资本计量高级方法的,高级管理层还应定期评估方法和工具的合理性和有效性,定期听取资本计量高级方法验证工作的汇报,履行资本计量高级方法体系的建设、验证和持续优化等职责。
第一百三十四条 商业银行监事会应对董事会及高级管理层在资本管理和资本计量高级方法管理中的履职情况进行监督评价,并至少每年一次向股东大会报告董事会及高级管理层的履职情况。
第一百三十五条 商业银行应指定相关部门履行以下资本管理职责:
(一)制定资本总量、结构和质量管理计划,编制并实施资本规划和资本充足率管理计划,向高级管理层报告资本规划和资本充足率管理计划执行情况。
(二)持续监控并定期测算资本充足率水平,开展资本充足率压力测试。
(三)组织建立内部资本计量、配置和风险调整资本收益的评价管理体系。
第一百三十六条 商业银行采用资本计量高级方法的,相关部门还应履行以下职责:
(三)向高级管理层报告资本计量高级方法的计量结果。
第一百三十七条 商业银行采用资本计量高级方法的,应建立验证部门(团队),负责资本计量高级方法的验证工作。验证部门(团队)应独立于资本计量高级方法的开发和运行部门(团队)。
第一百三十八条 商业银行应明确内部审计部门在资本管理中的职责。内部审计部门应履行以下职责:
(一)评估资本管理的治理结构和相关部门履职情况,以及相关人员的专业技能和资源充分性。
(二)至少每年一次检查内部资本充足评估程序相关政策和执行情况。
(四)至少每年一次评估资本充足率管理计划的执行情况。
(五)检查资本管理的信息系统和数据管理的合规性和有效性。
(六)向董事会提交资本充足率管理审计报告、内部资本充足评估程序执行情况审计报告、资本计量高级方法管理审计报告。
第一百三十九条 商业银行采用资本计量高级方法的,内部审计部门还应评估资本计量高级方法的适用性和有效性,检查计量结果的可靠性和准确性,检查资本计量高级方法的验证政策和程序,评估验证工作的独立性和有效性。
第一百四十条 商业银行应按照国家金融监督管理总局相关要求和本办法附件20的规定,设立主要风险的识别和评估标准,确保主要风险得到及时识别、审慎评估和有效监控。
主要风险包括可能导致重大损失的单一风险,以及单一风险程度不高、但与其他风险相互作用可能导致重大损失的风险。风险评估应至少覆盖以下各类风险:
(一)本办法第四章、第五章和第六章中涉及且已覆盖的风险,包括信用风险、市场风险和操作风险。
(二)本办法第四章、第五章和第六章中涉及但没有完全覆盖的风险,包括集中度风险、剩余操作风险等。
(三)本办法第四章、第五章和第六章中未涉及的风险,包括银行账簿利率风险、流动性风险、声誉风险、战略风险和对商业银行有实质性影响的其他风险。
第一百四十一条 商业银行应采用定量和定性相结合的方法,有效评估和管理各类主要风险。
(一)对能够量化的风险,商业银行应开发和完善风险计量技术,确保风险计量的一致性、客观性和准确性,在此基础上加强对相关风险的缓释、控制和管理。
(二)对难以量化的风险,商业银行应建立风险识别、评估、控制和报告机制,确保相关风险得到有效管理。
第一百四十二条 商业银行应建立风险加总的政策和程序,确保在不同层次上及时识别风险。商业银行可以采用多种风险加总方法,但应至少采取简单加总法,并判断风险加总结果的合理性和审慎性。
第一百四十三条 商业银行进行风险加总,应充分考虑集中度风险及风险之间的相互传染。若考虑风险分散化效应,应基于长期实证数据,且数据观察期至少覆盖一个完整的经济周期。否则,商业银行应对风险加总方法和假设进行审慎调整。
第一百四十四条 商业银行制定资本规划,应综合考虑风险评估结果、压力测试结果、未来资本需求、资本监管要求和资本可获得性,确保资本水平持续满足监管要求。资本规划应至少设定内部资本充足率三年目标。
第一百四十五条 商业银行制定资本规划,应确保目标资本水平与业务发展战略、风险偏好、风险管理水平和外部经营环境相适应,兼顾短期和长期资本需求,并考虑各种资本补充来源的长期可持续性。
第一百四十六条 商业银行制定资本规划,应审慎估计资产质量、利润增长及资本市场的波动性,充分考虑对银行资本水平可能产生重大负面影响的因素,包括或有风险暴露,严重且长期的市场衰退,以及突破风险承受能力的其他事件。
第一百四十七条 商业银行应优先考虑补充核心一级资本,增强内部资本积累能力,完善资本结构,提高资本质量。
第一百四十八条 商业银行应按照国家金融监督管理总局关于压力测试的相关监管要求和本办法附件20的规定,通过严格和前瞻性的压力测试,测算不同压力条件下的资本需求和资本可获得性,并制定资本应急预案以满足计划外的资本需求,确保银行具备充足资本应对不利的市场条件变化。
第一百四十九条 商业银行应将压力测试作为风险识别、监测和评估的重要工具,并根据压力测试结果评估银行所面临的潜在不利影响及对应所需持有的资本。
对于轻度压力测试结果,商业银行应将轻度压力测试下资本缺口转换为资本加点,并将其视为第二支柱资本要求的组成部分。
对于重度压力测试结果,商业银行应在应急预案中明确相应的资本补充政策安排和应对措施,并充分考虑融资市场流动性变化,合理设计资本补充渠道。商业银行的资本应急预案应包括紧急筹资成本分析和可行性分析、限制资本占用程度高的业务发展、采用风险缓释措施等。
第一百五十条 商业银行高级管理层应充分理解压力条件下商业银行所面临的风险及风险间的相互作用、资本工具吸收损失和支持业务持续运营的能力,并判断资本管理目标、资本补充政策安排和应对措施的合理性。
第一百五十一条 商业银行应建立内部资本充足评估程序的报告体系,定期监测和报告银行资本水平和主要影响因素的变化趋势。报告应至少包括以下内容:
(一)评估主要风险状况及发展趋势、战略目标和外部环境对资本水平的影响。
根据重要性和报告用途不同,商业银行应明确各类报告的发送范围、报告内容及详略程度,确保报告信息与报送频率满足银行资本管理的需要。
第一百五十二条 商业银行应建立用于风险和资本的计量和管理的信息管理系统。商业银行的信息管理系统应具备以下功能:
(一)清晰、及时地向董事会和高级管理层提供总体风险信息。
(二)准确、及时地加总各业务条线的风险暴露和风险计量结果。
(四)识别、计量并管理各类风险缓释工具以及因风险缓释带来的风险。
(五)为多角度评估风险计量的不确定性提供支持,分析潜在风险假设条件变化带来的影响。
(六)支持前瞻性的情景分析,评估市场变化和压力情形对银行资本的影响。
第一百五十三条 商业银行应系统性地收集、整理、跟踪和分析各类风险相关数据,建立数据信息系统和数据管理系统,以获取、清洗、转换和存储数据,并建立数据质量控制政策和程序,确保数据的真实性、完整性、全面性、准确性和一致性,满足资本计量和内部资本充足评估等工作的需要。
第一百五十四条 商业银行的数据管理系统应达到资本充足率非现场监管报表和第三支柱信息披露的有关要求。
第一百五十五条 商业银行应建立完整的文档管理平台,为内部审计部门及国家金融监督管理总局对资本管理的评估提供支持。文档应至少包括:
(一)董事会、高级管理层和相关部门的职责、独立性以及履职情况。
(二)关于资本管理、风险管理等政策流程的制度文件。
(三)资本规划、资本充足率管理计划、内部资本充足评估报告、风险计量模型验证报告、压力测试报告、审计报告以及上述报告的相关重要文档。
第一百五十六条 资本充足率监督检查是国家金融监督管理总局审慎风险监管体系的重要组成部分。
第一百五十七条 国家金融监督管理总局根据宏观经济运行、产业政策和信贷风险变化,识别银行业重大突出风险,对相关资产组合提出特定资本要求。
第一百五十八条 国家金融监督管理总局及其派出机构对商业银行实施资本充足率监督检查,督促银行确保资本能够充分覆盖所面临的各类风险。资本充足率监督检查包括但不限于以下内容:
(二)审查商业银行对合格资本工具的认定,以及各类风险加权资产的计量方法和结果,评估资本充足率计量结果的合理性和准确性。
(三)检查商业银行内部资本充足评估程序,评估公司治理、资本规划、内部控制和审计等。
(四)评估商业银行的信用风险、市场风险、操作风险、银行账簿利率风险、流动性风险、声誉风险以及战略风险等各类风险及风险间的关联性。
(五)对商业银行压力测试组织架构、资源投入、情景设计、数据质量、测算模型、测试结果、结果应用等情况开展监督检查。
第一百五十九条 商业银行采用资本计量高级方法,应按本办法附件21的规定向国家金融监督管理总局或其派出机构提出申请。操作风险标准法申请采用自身损失数据自行计算内部损失乘数适用本办法附件21。
第一百六十条 国家金融监督管理总局或其派出机构依照本办法附件21的规定对商业银行进行评估,根据评估结果决定是否验收通过商业银行采用资本计量高级方法、对操作风险标准法采用自身损失数据自行计算内部损失乘数;并对商业银行资本计量高级方法的使用情况以及验证工作、操作风险标准法自行计算内部损失乘数的情况进行持续监督检查。
第一百六十一条 商业银行不能持续达到本办法规定的资本计量高级方法、对操作风险标准法采用自身损失数据自行计算内部损失乘数的运用要求,国家金融监督管理总局或其派出机构有权要求其限期整改。
商业银行在规定期限内未达标,国家金融监督管理总局或其派出机构有权取消其采用资本计量高级方法、对操作风险标准法采用自身损失数据自行计算内部损失乘数的资格。
第一百六十二条 国家金融监督管理总局建立资本监管工作机制,履行以下职责:
(一)根据评估银行业面临的重大突出风险,提出针对特定资产组合的第二支柱资本要求的建议。
(二)制定商业银行资本充足率监督检查总体规划,协调、组织和督促对商业银行资本充足率监督检查的实施。
(四)受理商业银行就资本充足率监督检查结果提出的申辩,确保监督检查过程以及评价结果的公正和准确。
第一百六十三条 国家金融监督管理总局及其派出机构通过非现场监管和现场检查的方式对商业银行资本充足率进行监督检查。
除对资本充足率的常规监督检查外,国家金融监督管理总局及其派出机构可根据商业银行内部情况或外部市场环境的变化实施资本充足率的临时监督检查。
第一百六十四条 商业银行应在年度结束后的四个月内向国家金融监督管理总局或其派出机构提交内部资本充足评估报告。
第一百六十五条 国家金融监督管理总局及其派出机构实施资本充足率监督检查应遵循以下程序:
(一)审查商业银行内部资本充足评估报告,制定资本充足率检查计划。
(二)依据本办法附件20规定的风险评估标准,实施资本充足率现场检查。
(三)根据检查结果初步确定商业银行的监管资本要求。
(四)与商业银行高级管理层就资本充足率检查情况进行沟通,并将评价结果书面发送商业银行。
第一百六十六条 商业银行可以在接到资本充足率监督检查评价结果后60日内,以书面形式向国家金融监督管理总局或其派出机构提出申辩。在接到评价结果后60日内未进行书面申辩的,将被视为接受评价结果。
商业银行提出书面申辩的,应提交董事会关于进行申辩的决议,并对申辩理由进行详细说明,同时提交能够证明申辩理由充分性的相关资料。
第一百六十七条 国家金融监督管理总局或其派出机构受理并审查商业银行提交的书面申辩,视情况对有关问题进行重点核查。
国家金融监督管理总局或其派出机构在受理书面申辩后的60日内做出是否同意商业银行申辩的书面答复,并说明理由。
第一百六十八条 国家金融监督管理总局或其派出机构审查商业银行的书面申辩期间,商业银行应执行资本充足率监督检查所确定的监管资本要求,并落实国家金融监督管理总局或其派出机构采取的相关监管措施。
第一百六十九条 商业银行应至少每季度向国家金融监督管理总局或其派出机构报告未并表和并表后的资本监管指标信息。
如遇影响资本监管指标的特别重大事项,商业银行应及时向国家金融监督管理总局或其派出机构报告。
第一百七十条 商业银行已建立内部资本充足评估程序并经国家金融监督管理总局或其派出机构评估认可达到本办法要求的,国家金融监督管理总局或其派出机构根据其内部资本充足评估程序结果确定第二支柱资本要求。
商业银行尚未建立内部资本充足评估程序,或经国家金融监督管理总局或其派出机构评估未达到本办法要求的,国家金融监督管理总局或其派出机构根据对商业银行风险状况的评估结果、监督检查结果、监管评级情况、监管压力测试结果等,确定商业银行的第二支柱资本要求。
第二支柱资本要求应建立在最低资本要求、储备资本和逆周期资本要求及系统重要性银行附加资本要求之上。
第一百七十一条 国家金融监督管理总局及其派出机构有权根据单家商业银行操作风险管理水平及操作风险事件发生情况,提高操作风险的监管资本要求。
第一百七十二条 国家金融监督管理总局及其派出机构有权通过调整风险权重、相关性系数、有效期限、违约损失率等风险参数,设置或调整风险加权资产底线等方法,提高特定资产组合的资本要求,包括但不限于以下内容:
(一)根据区域风险差异,确定地方政府融资平台贷款的集中度风险资本要求。
(二)通过期限调整因子,确定中长期贷款的资本要求。
(三)针对贷款行业集中度风险状况,确定部分行业的贷款集中度风险资本要求。
(四)根据区域房地产运行情况、个人住房抵押贷款用于购买非自住用房的风险状况,提高个人住房抵押贷款资本要求。
第一百七十三条 国家金融监督管理总局及其派出机构有权对资本监管指标未达到监管要求的商业银行采取监管措施,督促其提高资本充足水平。
第一百七十四条 根据资本充足状况,国家金融监督管理总局及其派出机构将商业银行分为四类:
(一)第一类商业银行:资本充足率、一级资本充足率和核心一级资本充足率均达到本办法规定的各级资本要求。
(二)第二类商业银行:资本充足率、一级资本充足率和核心一级资本充足率未达到第二支柱资本要求,但均不低于其他各级资本要求。
(三)第三类商业银行:资本充足率、一级资本充足率和核心一级资本充足率均不低于最低资本要求,但未达到其他各级资本要求。
(四)第四类商业银行:资本充足率、一级资本充足率和核心一级资本充足率任意一项未达到最低资本要求。
第一百七十五条 对第一类商业银行,国家金融监督管理总局及其派出机构支持其稳健发展业务。为防止其资本充足率水平快速下降,国家金融监督管理总局及其派出机构应采取以下部分或全部预警监管措施:
(一)要求商业银行加强对资本充足率水平下降原因的分析及预测。
(二)要求商业银行制定切实可行的资本充足率管理计划。
第一百七十六条 对第二类商业银行,除本办法第一百七十五条规定的监管措施外,国家金融监督管理总局及其派出机构还应采取以下部分或全部监管措施:
(一)与商业银行董事会、高级管理层进行审慎性会谈。
(二)下发监管意见书,监管意见书内容包括:商业银行资本管理存在的问题、拟采取的纠正措施和限期达标意见等。
(三)要求商业银行制定切实可行的资本补充计划和限期达标计划。
(五)要求商业银行对特定风险领域采取风险缓释措施。
第一百七十七条 对第三类商业银行,除本办法第一百七十五条、第一百七十六条规定的监管措施外,国家金融监督管理总局及其派出机构还应采取以下部分或全部监管措施:
(二)限制商业银行向董事、高级管理人员实施任何形式的激励。
第一百七十八条 对于资本充足率、一级资本充足率和核心一级资本充足率均满足最低资本要求,但不满足储备资本要求的商业银行,其利润留存比例不得低于以下标准:

全球系统重要性银行最低利润留存比例要求适用本办法第一百八十一条。
若商业银行没有足够的其他一级资本或二级资本,而使用核心一级资本来满足一级资本充足率或资本充足率最低要求,核心一级资本净额扣除用于满足核心一级资本充足率最低要求的部分后、用于满足一级资本充足率或资本充足率最低要求的部分,不能计入上表的核心一级资本充足率区间。
国家金融监督管理总局有权根据实际情况对最低利润留存比例要求进行调整。
第一百七十九条 对第四类商业银行,除本办法第一百七十五条、第一百七十六条和第一百七十七条规定的监管措施外,国家金融监督管理总局及其派出机构还应采取以下部分或全部监管措施:
(四)强制要求商业银行对资本工具进行减记或转为普通股。
(五)责令商业银行调整董事、高级管理人员或限制其权利。
(六)依法对商业银行实行接管或者促成机构重组,直至予以撤销。
在处置此类商业银行时,国家金融监督管理总局及其派出机构还将综合考虑外部因素,采取其他必要措施。
第一百八十条 对于杠杆率未达到最低监管要求的商业银行,国家金融监督管理总局及其派出机构应采取以下部分或全部监管措施:
对于逾期未改正,或者其行为严重危及商业银行稳健运行、损害存款人和其他客户的合法权益的,国家金融监督管理总局及其派出机构应根据《中华人民共和国银行业监督管理法》的规定,区别情形,采取以下部分或全部措施:
(四)责令控股股东转让股权或者限制有关股东的权利。
第一百八十一条 对于资本充足率、一级资本充足率和核心一级资本充足率均满足最低资本要求,并满足最低杠杆率要求和总损失吸收能力要求,但不满足储备资本要求、逆周期资本要求、附加资本要求或附加杠杆率要求中任一要求的全球系统重要性银行,其利润留存比例不得低于以下标准:
全球系统重要性银行 附加资本要求 |
核心一级资本 充足率区间 |
杠杆率区间 |
最低利润留存比例要求 (占可分配利润的百分比) |
3.50% |
5%—6.5%(含) |
4%—4.4375%(含) |
100% |
6.5%—8%(含) |
4.4375%—4.875%(含) |
80% |
8%—9.5%(含) |
4.875%—5.3125%(含) |
60% |
9.5%—11%(含) |
5.3125%—5.75%(含) |
40% |
2.50% |
5%—6.25%(含) |
4%—4.3125%(含) |
100% |
6.25%—7.5%(含) |
4.3125%—4.625%(含) |
80% |
7.5%—8.75%(含) |
4.625%—4.9375%(含) |
60% |
8.75%—10%(含) |
4.9375%—5.25%(含) |
40% |
2% |
5%—6.125%(含) |
4%—4.25%(含) |
100% |
6.125%—7.25%(含) |
4.25%—4.5%(含) |
80% |
7.25%—8.375%(含) |
4.5%—4.75%(含) |
60% |
8.375%—9.5%(含) |
4.75%—5%(含) |
40% |
1.50% |
5%—6%(含) |
4%—4.1875%(含) |
100% |
6%—7%(含) |
4.1875%—4.375%(含) |
80% |
7%—8%(含) |
4.375%—4.5625%(含) |
60% |
8%—9%(含) |
4.5625%—4.75%(含) |
40% |
1% |
5%—5.875%(含) |
4%—4.125%(含) |
100% |
5.875%—6.75%(含) |
4.125%—4.25%(含) |
80% |
6.75%—7.625%(含) |
4.25%—4.375%(含) |
60% |
7.625%—8.5%(含) |
4.375%—4.5%(含) |
40% |
若全球系统重要性银行没有足够的其他一级资本或二级资本,而使用核心一级资本来满足一级资本充足率、资本充足率最低要求或总损失吸收能力要求,核心一级资本净额扣除用于满足核心一级资本充足率最低要求的部分后、用于满足一级资本充足率、资本充足率最低要求或总损失吸收能力要求的部分,不能计入上表的核心一级资本充足率区间。
全球系统重要性银行核心一级资本充足率或杠杆率任意一项处于上表的指标区间,其利润留存比例不得低于相应的标准;若核心一级资本充足率和杠杆率均处于上表的指标区间,其利润留存比例应采用二者孰高原则确定。
国家金融监督管理总局有权根据实际情况对最低利润留存比例要求进行调整。
第一百八十二条 商业银行未按本办法规定提供监管资本报表或报告、未按规定进行信息披露或提供虚假的或者隐瞒重要事实的报表和统计报告的,国家金融监督管理总局依据《中华人民共和国银行业监督管理法》《中华人民共和国商业银行法》的相关规定责令改正,逾期不改正或情节严重的,依法实施行政处罚。
第一百八十三条 除上述监管措施外,国家金融监督管理总局可依据《中华人民共和国银行业监督管理法》《中华人民共和国商业银行法》以及相关法律、行政法规和部门规章的规定,采取其他监管措施。
第一百八十四条 商业银行应通过公开渠道,以简明清晰、通俗易懂的方式向投资者和社会公众披露第三支柱相关信息,确保信息披露的集中性、可获得性和公开性。
第一百八十五条 商业银行第三支柱信息披露的详尽程度应与银行的业务复杂度相匹配。
第一百八十六条 对国内系统重要性银行,信息披露内容应至少包括:
(一)风险管理、关键审慎监管指标和风险加权资产概览。
对非国内系统重要性银行(除第三档商业银行外),信息披露内容应至少包括风险管理、关键审慎监管指标和风险加权资产概览,资本构成,杠杆率的相关定性和定量信息等。
对第三档商业银行,信息披露内容应至少包括关键审慎监管指标和资本构成。
第一百八十七条 商业银行应确保披露信息的真实性、准确性、完整性、一致性和可比性。
第一百八十八条 商业银行应建立完善的信息披露治理结构,由董事会批准并由高级管理层实施有效的内部控制流程,对信息披露内容进行合理审查,确保第三支柱披露信息真实、可靠。相关流程的核心内容应在商业银行年度第三支柱信息披露报告中予以体现。
第一百八十九条 商业银行第三支柱相关信息可独立披露或与同期财务报告合并披露。商业银行各期(季度、半年和年度)第三支柱信息披露报告均应经董事会或高级管理层签字,并在官方网站披露。
第一百九十条 本办法规定的披露内容是第三支柱信息披露的最低要求,商业银行应遵循充分披露的原则,并根据监管政策变化及时调整披露事项。
第一百九十一条 商业银行可以不披露专有信息或保密信息的具体内容,但应解释原因,并进行一般性披露。
第一百九十二条 商业银行第三支柱信息披露频率分为临时、季度、半年及年度披露。商业银行应分别按照本办法附件22和附件23中各披露表格要求的内容和频率,充分披露第三支柱相关信息。
临时信息应及时披露,季度信息披露时间为每个会计年度的第三个月和第九个月结束后的一个月内,半年度信息披露时间为每个会计年度的上半年结束后的两个月内,年度信息披露时间为每个会计年度结束后的四个月内。季度、半年及年度的第三支柱信息披露应不晚于同期的财务报告发布。因特殊原因不能按时披露的,应至少提前15个工作日向国家金融监督管理总局或其派出机构申请延迟披露。
第一百九十三条 开发性金融机构和政策性银行、农村合作银行、村镇银行、农村信用社、农村资金互助社、贷款公司、企业集团财务公司、消费金融公司、金融租赁公司、汽车金融公司参照本办法执行,另有规定的从其规定。
外国银行在华分行参照本办法规定的风险权重计量人民币风险加权资产。
第一百九十四条 商业银行季末并表口径调整后表内外资产余额和境外债权债务余额发生变化,连续四个季度符合本办法第六条相关机构档次划分标准的,应在第四个季度结束后的一个月内向国家金融监督管理总局或其派出机构报告。
国家金融监督管理总局或其派出机构根据单家银行经营管理和风险水平等情况,结合监管判断决定是否调整其所属的机构档次,相应设立不超过一年的实施准备期。
准备期结束后,商业银行应调整所属的机构档次,适用对应的信用风险和操作风险加权资产计量规则、资本充足率监管要求和信息披露规定,并向国家金融监督管理总局或其派出机构报告实施情况。
第一百九十五条 采用简化标准法或标准法计量市场风险资本要求的商业银行,若连续四个季度不再满足相关方法适用条件,应在第四个季度结束后的一个月内向国家金融监督管理总局或其派出机构报告。
国家金融监督管理总局或其派出机构根据单家银行经营管理和风险水平等情况,结合监管判断决定是否调整其市场风险资本计量方法,相应设立不超过一年的实施准备期。
准备期结束后,商业银行应采用调整后的市场风险资本计量方法,并向国家金融监督管理总局或其派出机构报告实施情况。
第一百九十六条 本办法所称的资本计量高级方法包括信用风险内部评级法和市场风险内部模型法。商业银行采用资本计量高级方法,应按照本办法附件24的规定建立资本计量高级方法验证体系。
第一百九十七条 获得国家金融监督管理总局或其派出机构验收通过采用资本计量高级方法的商业银行应按照本办法规定的资本计量高级方法和其他方法并行计量资本充足率,并遵守本办法附件21规定的资本底线要求。
第一百九十八条 国家金融监督管理总局或其派出机构对采用资本计量高级方法的商业银行设立并行期,并行期自验收通过采用资本计量高级方法当年底开始,至少持续三年。操作风险标准法采用自身损失数据自行计算内部损失乘数的商业银行,适用并行期安排。
并行期内,商业银行实际计提的损失准备超过预期损失的,低于不良资产余额的1.5倍的超额损失准备计入二级资本的数量不得超过信用风险加权资产的0.6%;高于不良资产余额的1.5倍的超额损失准备可全部计入二级资本。
第一百九十九条 商业银行计量并表资本充足率,应按照集团统一的计量方法对附属机构资本计量结果进行调整后,进行资本并表。
第二百条 2029年1月1日前,第一档商业银行计量并表资本充足率可按照以下规则适当简化资本并表处理方式,鼓励有条件的商业银行按照集团统一的计量方法进行资本并表。
(一)对符合第二档商业银行标准的附属机构,可按照第二档商业银行信用风险和操作风险计量规则所计量的风险加权资产结果直接并表。
(二)对满足市场风险简化标准法适用条件的附属机构,可按照市场风险简化标准法的风险加权资产计量结果直接并表。
对符合第三档商业银行标准的附属机构,按照附件23规定的计量规则所计量的风险加权资产结果直接并表。
第二百零一条 第一档商业银行应及时制定并实施切实可行的并表资本充足率计量分步达标规划,并报国家金融监督管理总局或其派出机构。
国家金融监督管理总局或其派出机构根据商业银行并表资本充足率计量达标规划实施情况,采取相应的监管措施。
第二百零二条 第二档商业银行计量并表资本充足率,可按照以下规则适当简化资本并表处理方式,鼓励有条件的商业银行按照集团统一的计量方法进行资本并表。
(一)对符合第三档商业银行标准的附属机构,可按照附件23规定的计量规则计量的信用风险和操作风险加权资产结果直接并表。
(二)对满足市场风险简化标准法适用条件的附属机构,可按照市场风险简化标准法的风险加权资产计量结果直接并表。
第二百零三条 本办法中采用标准普尔的评级符号,但对商业银行选用外部信用评级公司不作规定;商业银行使用外部评级公司的评级结果应符合本办法附件25的规定,并保持连续性。
第二百零四条 附件1至附件25是本办法的组成部分。
(三)附件3:信用风险权重法表内资产风险权重、表外项目信用转换系数及合格信用风险缓释工具。
(四)附件4:信用风险内部评级法风险暴露分类标准。
(六)附件6:信用风险内部评级法风险加权资产计量规则。
(七)附件7:信用风险内部评级法风险缓释监管要求。
(八)附件8:信用风险内部评级法专业贷款风险加权资产计量规则。
(十)附件10:中央交易对手风险暴露资本计量规则。
(十一)附件11:资产证券化风险加权资产计量规则。
(十二)附件12:资产管理产品风险加权资产计量规则。
(十七)附件17:信用估值调整风险加权资产计量规则。
第二百零五条 国家金融监督管理总局有权根据宏观经济金融形势、商业银行经营管理和风险水平等情况,对本办法相关内容进行调整。
第二百零六条 本办法由国家金融监督管理总局负责解释。
本办法自2024年1月1日起施行。《
商业银行资本管理办法
(试行)》(中国银行业监督管理委员会令2012年第1号)、《中国银监会关于印发商业银行资本监管配套政策文件的通知》(银监发〔2013〕33号)、《商业银行杠杆率管理办法》(中国银行业监督管理委员会令2015年第1号)、《
商业银行全球系统重要性评估指标披露指引
》(银监发〔2014〕1号)、《中国银监会
关于印发衍生工具交易对手违约风险资产计量规则的通知
》(银监发〔2018〕1号)同时废止。本办法施行前出台的有关规章及规范性文件与本办法不一致的,按照本办法执行。
国家金融监督管理总局就《
商业银行资本管理办法
》答记者问
为贯彻落实中央金融工作会议精神,全面加强金融监管,国家金融监督管理总局对《
商业银行资本管理办法
(试行)》(以下简称原《资本办法》)进行修订,进一步完善商业银行资本监管规则,推动银行强化风险管理水平,提升服务实体经济质效,形成了《
商业银行资本管理办法
》(以下简称《资本办法》),有关部门负责人就上述制度回答了记者提问。
2023年2月18日至3月20日,《资本办法》向社会公开征求意见,金融机构、行业协会、专家学者和社会公众给予了广泛关注。我们认真研究反馈意见,在深入调研与定量测算的基础上,合理吸收有关意见和建议。
与征求意见稿相比,《资本办法》主要在以下几方面进行了完善:一是结合相关业务风险特征,进一步校准部分风险暴露的风险权重,优化个别表外业务适用的信用转换系数。二是细化完善规则表述,使规则更易于理解和执行。三是制定配套政策文件,明确过渡期安排,确保实施工作稳妥有序。
原《资本办法》实施十余年来,资本监管制度强化了银行资本约束机制,增强了银行经营稳健性和服务实体经济能力,也为我国金融业扩大对外开放创造了有利条件。近年来,随着我国经济金融形势和商业银行风险特征的发展变化,资本监管面临一些新问题,有必要根据新情况进行调整。
此外,国际监管规则也发生了较大变化。2017年底,巴塞尔委员会发布了《巴塞尔Ⅲ改革最终方案》,作为全球银行业资本监管最低标准。我国作为巴塞尔委员会成员,需按要求实施相关监管标准,并接受“监管一致性国际评估”,评估结果将在全球公布。
国家金融监督管理总局立足于我国银行业实际情况,结合国际监管改革最新成果,对原《资本办法》进行修订,有利于促进银行持续提升风险管理水平,引导银行更好服务实体经济。
一是坚持风险为本。风险权重是维护资本监管审慎性的基石。风险权重的设定应客观体现表内外业务的风险实质,使资本充足率准确反映银行整体风险水平和持续经营能力。
二是强调同质同类比较。我国银行数量多、差别大,为提高监管匹配性,拟在资本要求、风险加权资产计量、信息披露等要求上分类对待、区别处理,强调同质同类银行之间的分析比较。
三是保持监管资本总体稳定。平衡好资本监管与社会信贷成本和宏观经济稳定的关系,统筹考虑相关监管要求的叠加效应,保持银行业整体资本充足水平的稳定性。
围绕构建差异化资本监管体系,修订重构第一支柱下风险加权资产计量规则、完善调整第二支柱监督检查规定,全面提升第三支柱信息披露标准和内容。《资本办法》由正文和25个附件组成,共计约35万字。正文重点突出总体性、原则性和制度性要求。附件细化正文各项要求,明确具体的计量规则、技术标准、监管措施、信息披露内容等。
《资本办法》构建了差异化资本监管体系,按照银行规模和业务复杂程度,划分为三个档次,匹配不同的资本监管方案。其中,规模较大或跨境业务较多的银行,划为第一档,对标资本监管国际规则;规模较小、跨境业务较少的银行纳入第二档,实施相对简化的监管规则;第三档主要是规模更小且无跨境业务的银行,进一步简化资本计量要求,引导其聚焦县域和小微金融服务。
差异化资本监管不降低资本要求,在保持银行业整体稳健的前提下,激发中小银行的金融活水作用,减轻银行合规成本。
六、《资本办法》修订对风险加权资产计量规则有哪些主要调整?
总体上,增强标准法与高级方法的逻辑一致性,提高计量的敏感性。限制内部模型的使用,完善内部模型,降低内部模型的套利空间。
信用风险方面,权重法重点优化风险暴露分类标准,增加风险驱动因子,细化风险权重。如,针对房地产风险暴露中的抵押贷款,依据房产类型、还款来源、贷款价值比(LTV),设置多档风险权重;限制内部评级法使用范围,校准风险参数。市场风险方面,新标准法通过确定风险因子和敏感度指标计算资本要求,取代原基于头寸和资本系数的简单做法;重构内部模型法,采用预期尾部损失(ES)方法替代风险价值(VaR)方法,捕捉市场波动的肥尾风险。操作风险方面,新标准法以业务指标为基础,引入内部损失乘数作为资本要求的调整因子。
七、《资本办法》修订对于风险管理要求进行了哪些调整?
《资本办法》重视计量和管理“两手硬”,强调制度审慎、管理有效是准确风险计量的前提,为银行夯实经营管理基础、提升管理精细化水平提供正向激励。
信用风险方面,要求建立并有效落实相应信用风险管理制度、流程和机制。例如,准确的风险暴露分类是计量前提,须明确划分标准和认定流程;划分银行同业风险暴露分类、识别优质公司或“穿透”资管产品,须加强尽职调查和基础信息审核;对房地产风险暴露,只有满足审慎审批标准和估值等要求,才认可其风险缓释作用。市场风险方面,内部模型法计量以交易台为基础,要求银行制定交易台业务政策、细分和管理交易台。操作风险方面,须建立健全损失数据收集标准、规则和流程,才可申请适用监管给定损失乘数系数。
八、《资本办法》修订在完善监督检查要求上有何调整?
一方面,参照国际标准,完善监督检查内容。设置72.5%的风险加权资产永久底线,替换原并行期资本底线安排;完善信用、市场和操作风险的风险评估要求,将国别、信息科技、气候等风险纳入其他风险的评估范围。
另一方面,衔接国内现行监管制度,促进政策落实。完善银行账簿利率、流动性、声誉等风险的评估标准;强调全面风险管理,将大额风险暴露纳入集中度风险评估范围,明确要求运用压力测试工具,开展风险管理,确定资本加点要求。
九、《资本办法》修订在信息披露、强化市场约束方面有何调整?
遵照匹配性原则,建立覆盖各类风险信息的差异化信息披露体系,引入了标准化的信息披露表格,要求商业银行按照规定的披露格式、内容、频率、方式和质量控制等进行披露。《资本办法》显著提高了信息披露的数据颗粒度要求,切实提升了风险信息透明度和市场约束力,是对资本监管框架第一支柱和第二支柱的有效补充。
《资本办法》将于2024年1月1日起正式实施,并设置过渡期。过渡期安排包括以下两方面:一是对计入资本净额的损失准备设置2年过渡期,其间逐步提高非信贷资产损失准备最低要求,推动商业银行合理增提损失准备,平滑对资本净额的影响。二是对信息披露设置5年过渡期,过渡期内商业银行根据所属档次、系统重要性程度和上市情况,适用不同的信息披露要求,稳妥开展信息披露工作,稳步提高信息透明度和市场约束力。
十一、《资本办法》的实施对银行业资本充足水平的影响如何?
测算显示,《资本办法》实施后,银行业资本充足水平总体稳定,平均资本充足率稳中有升。单家银行因资产类别差异导致资本充足率小幅变化,体现了差异化监管要求,符合预期。
长期坚持提供干货不易,如文章引起大家共鸣、对大家有帮助,请大家点赞并转发,以支持我们提供更多干货,谢谢。
商务合作\内容撰写\软文推广:15201196271(备注合作事由或电联)
需求发布\业务对接\投融资需求:18600329996(电话联系)
