点击上方蓝色字关注我
点开下面圆形头相直接关注
文末查看说明下载
文末查看说明下载


绝密★启用前
2025年高考考前信息必刷卷01(浙江专用)
物 理
(考试时间:90分钟 试卷满分:100分)
考情速递
高考·新动向:浙江省高考物理命题逐渐从知识立意向能力立意转变。这意味着未来的命题将更加注重考查学生的物理思维能力、分析问题和解决问题的能力,而不仅仅是对知识点的记忆。例如如本卷中第3、4、5、7、9、10题,需要学生运用物理原理解决实际问题的情境题。
高考·新考法:即使是常规考点,也可能通过新颖的设问方式来考查学生的理解深度和应用能力。例如,第3、7题,可能会结合现代科技中的机械系统设计,要求学生能结合物理知识分析其工作原理,这样的题目既考查了基础知识,也锻炼了学生的实际应用能力。
高考·新情境:情境题目的设计引入最新的科研成果和技术进展作为背景材料,将更加贴近生活实际(如第14-Ⅰ题利用手机传感器做实验,第14-Ⅱ题的水果电池)和社会热点,比如本卷中新材料或产品研发(如第2、9题)、环境保护、能源危机(如第8题)等。这些题目不仅具有时代感,还能引导学生关注现实世界的问题,培养他们的社会责任感和科学素养。物理与其他学科的交叉融合将成为常态,如物理学与通用技术学科的融合(第2题的结构设计、第14-Ⅲ的传感器)等领域的结合。这种创新糅合不仅能够拓宽学生的知识面,还能激发他们的学习兴趣和探索欲望。
命题·大预测:基于上述分析,可以预见2025年浙江省高考物理将继续强化对学生能力的考核,特别是创新能力和实践能力的考查。在平时备考中加强掌握基本概念和规律,关注时事,了解当前科技发展动态和社会热点问题,以便更好地应对开放性和应用性强的题目,适当涉猎其他学科的知识,为解决复杂的综合性问题打下基础。

注意事项:
1.答卷前,考生务必将自己的姓名、考生号等填写在答题卡和试卷指定位置上。
2.回答选择题时,选出每小题答案后,用铅笔把答题卡对应题目的答案标号涂黑。如需改动,用橡皮擦干净后,再选涂其他答案标号。回答非选择题时,将答案写在答题卡上。写在本试卷上无效。
3.考试结束后,将本试卷和答题卡一并交回。
4. 难度系数:0.63
选择题部分
一、选择题Ⅰ(本题共10小题,每小题3分,共30分。每小题列出的四个备选项中只有一个是符合题目要求的,不选、多选、错选均不得分)
1.量纲在物理学中具有重要的意义,下列选项中不属于电场强度单位的是( )
A. B. C. D.
【答案】A
【详解】A.根据电流的定义式可知:为电量的单位,故A符合题意;
B.根据,可知为电场强度的单位,故B不符合题意;
C.根据电场强度的定义式,可知为电场强度的单位,故C不符合题意;
D.根据,可知为电场强度的单位,故D不符合题意
故选A。
2.2024年10月3日,期刊上发表了中国科学院近代物理研究所的研究成果:研究团队合成新核素钚,并测量了该新核素的半衰期。已知钚的衰变方程为,下列说法正确的是( )
A.10个钚原子核经过一个半衰期后还剩余5个
B.钚原子核发生的是衰变
C.钚原子核发生衰变时需要吸收能量
D.原子核的比结合能比原子核的比结合能大
【答案】B
【详解】A.半衰期是大量粒子的统计规律,10个钚-227经过一个半衰期不一定还剩余5个,A错误;
B.根据电荷数和质量数守恒,可知Y的质量数为4,电荷数为2,可知Y为α粒子,则钚-227发生的是α衰变,B正确;
CD.钚-227衰变的过程中是释放能量的,比结合能增大,的比结合能比的比结合能小,CD错误。
故选B。
3.马扎属于中国传统手工工艺制品,腿交叉,上面绷帆布或麻绳等,可以合拢,便于携带。如图所示,马扎放在水平地面上,书包放在两支撑腿A、B等长的马扎上,以下说法正确的是( )

A.书包的重力就是书包对马扎的压力
B.马扎对地面的压力是由于地面形变产生的
C.若A、B之间的夹角θ增大,则马扎对地面的压力不变,一个支撑腿受到的压力增大
D.若A、B之间的夹角θ增大,则马扎对地面的压力不变,一个支撑腿受到的压力减小
【答案】C
【详解】A.书包对马扎的压力大小等于书包的重力大小,但压力和重力不是同一个力,压力属于弹力,重力属于引力,只是两个力的大小相等而已,力的性质却完全不同,A错误;
B.马扎对地面的压力是由于马扎形变产生的,B错误;
CD.马扎始终静止,地面支持力等于马扎和书包的重力和,由牛顿第三定律知,马扎对地面的压力不变,由于书包对马扎的压力大小不随马扎两边支撑腿之间的角度变化,对整体根据力的分解则有,解得,可知两边支撑腿上产生的力随着夹角的增大而增大,根据牛顿第三定律可知,一个支撑腿受到的压力增大,C正确,D错误。
故选C。
4.老虎车是一种搬运工具,如图所示,车的平面与挡板垂直。某次运货时货物与车保持相对静止并水平向右做加速运动,车平面与水平地面的夹角为,重力加速度为g。不考虑货物与车平面及与挡板之间的摩擦,下列说法正确的是( )

A.当老虎车的加速度为时,车平面对货物的支持力为0
B.当挡板对货物作用力为0时,老虎车的加速度为
C.当加速度不断增大时,货物会沿车平面向上滑
D.当老虎车突然刹车时,货物只会沿车平面滑动,不会离开车平面
【答案】C
【详解】A.运货时货物与车保持相对静止并水平向右做加速运动,设平面对货物的支持力为,挡板对货物的弹力为,对货物由牛顿第二定律有,,当老虎车的加速度为时,有,可知车平面对货物的支持力不为0,故A错误;
B.当挡板对货物作用力为0时,货物只受重力和车平面的支持力,由牛顿第二定律可得,解得老虎车的加速度为,故B错误;
C.对货物由牛顿第二定律有,,可知当加速度不断增大时,平面对货物的支持力增大,挡板对货物的弹力减小,当车的加速度增大到时,挡板对货物作用力为0,平板车加速度再增大货物将会沿车平面向上滑,故C正确;
D.当老虎车突然刹车时,老虎车减速,但货物由于惯性会保持原来的运动状态,货物会离开车平面,故D错误。
故选C。
5.如图甲所示,一款旋转硬币游乐设备。图乙是该装置的示意图,OO'为其对称轴,且OO'竖直。将一元钱的硬币从上端入口沿容器壁边缘水平切线方向滚入,硬币恰好沿容器壁做螺旋运动,转很多圈后到达底部。该硬币在水平方向的运动可近似看做匀速圆周运动,曲面在A、B两点的切线与水平方向的夹角分别为30°和45°,匀速圆周运动的轨道半径分别为、,重力加速度g取10m/s2.则硬币在运动过程中( )

A.容器壁对硬币的支持力充当了硬币做匀速圆周运动的向心力
B.硬币做匀速圆周运动在A点的向心加速度大于做匀速圆周运动在B点的向心加速度
C.硬币在A点做匀速圆周运动的周期小于在B点做匀速圆周运动的周期
D.硬币做匀速圆周运动在A、B两点的动能之比为5∶6
【答案】D
【详解】A.容器壁对硬币的支持力与硬币重力的合力充当了硬币做匀速圆周运动的向心力,选项A错误;
B.对硬币受力分析可知,因在A点时θ角较小,则硬币做匀速圆周运动在A点的向心加速度小于做匀速圆周运动在B点的向心加速度,选项B错误;
C.根据,解得,因硬币在A点时θ角较小且R较大,则硬币在A点做匀速圆周运动的周期大于在B点做匀速圆周运动的周期,选项C错误;
D.根据,可得,可得硬币做匀速圆周运动在A、B两点的动能之比为,选项D正确。
故选D。
6.一般地球同步卫星要经过多次变轨才能进入地球同步轨道。如图所示,先将卫星送入较低的圆轨道I,再经过椭圆轨道Ⅱ进入地球同步轨道Ⅲ。已知引力常量为G,卫星的质量为m,地球的质量为M,轨道I的半径为r1,轨道Ⅲ的半径为r2,P、Q分别为两轨道与轨道Ⅱ的切点,则下列说法不正确的是( )

A.卫星从轨道I进入轨道Ⅱ需要在Q点点火加速
B.卫星在轨道Ⅱ上经过P点的速率vP与经过Q点的速率vQ满足的关系为
C.卫星分别在轨道I和Ⅱ上运行时,卫星与地心的连线在单位时间内扫过的面积不等
D.若已知距地球球心r处的引力势能,则卫星从轨道I进入轨道III的过程中,发动机做功至少为
【答案】B
【详解】A.卫星从轨道I进入轨道II,轨道变高,需要在Q点点火加速,故A正确,不符合题意;
B.卫星在轨道II的P点和Q点,都在同一椭圆轨道,由开普勒第二定律可得,即,故B错误,符合题意;
C.由开普勒第二定律,只有同一轨道上的卫星与地心的连线扫过的面积才相等,故C正确,不符合题意;
D.卫星在轨道I运行时,引力势能,动能,卫星在轨道III运行时,引力势能,动能,从轨道I进入轨道III的过程中,发动机做功至少为,故D正确,不符合题意。
故选B。
7.如图所示,某滑雪场安装了一条长直“魔毯”运送滑雪者上山,“魔毯”与水平面的夹角为16°,表面与其他物品的动摩擦因数均为0.75,其最高点与最低点之间的距离为100m,“魔毯”始终匀速运行,额定功率为40kW。忽略“魔毯”与冰面的摩擦及其质量,成年人(含装备)平均质量约为70kg,,,取。下列说法正确的是( )

A.一个成年人乘“魔毯”上山过程中克服重力做功约为
B.一个成年人乘“魔毯”上山过程中克服摩擦力做功约为
C.若“魔毯”同时承运100个成年人,则其最大运行速率约为
D.若“魔毯”以1m/s速率运行,则最多可以同时承运50个成年人
【答案】C
【详解】A.最高点与最低点之间的距离,一个成年人乘“魔毯”上山过程中克服重力做功,故A错误;
B.“魔毯”始终匀速运行,一个成年人乘“魔毯”上山过程中所受静摩擦力大小为,一个成年人乘“魔毯”上山过程中摩擦力做正功,大小为,故B错误;
C.若“魔毯”同时承运100个成年人,则,得,故C正确;
D.若“魔毯”以速率运行,则最多可以同时承运N个成年人,则,解得,故D错误。
故选C。
8.西藏那曲市色尼区欧玛亭嘎风电厂是当前世界超高海拔地区单机容量最大、装机规模最大的风电项目。如图是发电厂输电网络供电的原理图。已知发电机转子以角速度ω匀速转动,输电线上的总电阻R0 = 60 Ω,输电线上消耗的功率为3840 W,升压变压器的匝数比为1∶40,降压变压器的匝数比为50∶1,用户端获得220 V的电压。不计其余电阻,下列说法正确的是( )

A.输电线上的电流为6 A
B.发电机输出电压的最大值为287 V
C.用户获得的功率为88 kW
D.若转子角速度ω增加一倍,则R0消耗的功率为7680 W
【答案】C
【详解】A.根据输电线上消耗的功率,可得,故A错误;
B.输电线上损失的电压,根据电压比与匝数比的关系可知,可得降压变压器的输入电压,升压变压器的输出电压,根据电压比和匝数比的关系可知,可得发电机输出电压的有效值,则最大值为,故B错误;
C.根据公式,解得,所以用户得到的功率,故C正确;
D.转子转动产生的电动势有效值,转子角速度ω增加一倍,变压器、负载不变,则E变为原来的2倍,故通过R0的电流变为原来的2倍,根据可知R0上消耗的功率变为原来的4倍,大小为15360 W,故D错误。
故选C。
9.电子墨水是一种无光源显示技术,它利用电场调控带电颜料微粒的分布,使之在自然光的照射下呈现出不同颜色,透明面板下有一层胶囊,其中每个胶囊都是一个像素。如图所示某一像素胶囊中有带正电的白色微粒和带负电的黑色微粒,当胶囊下方的电极极性由负变正时,微粒在胶囊内迁移(每个微粒电量保持不变),像素由黑色变成白色。下列说法正确的是( )

A.像素由黑变白的过程中,电场力对黑色微粒做正功,对白色微粒做负功
B.像素由黑变白的过程中,黑色微粒向下迁移过程中电势能增大
C.像素呈黑色时,黑色微粒所在区域的电势低于白色微粒所在区域的电势
D.无论人眼看见的透明面板是白色还是黑色,黑色微粒所在区域的电势高于白色微粒所在区域的电势
【答案】D
【详解】A.像素由黑变白的过程中,电场力对黑色微粒和白色微粒都做正功,A错误;
B.像素由黑变白的过程中,黑色微粒受到的电场力向下,位移向下,电场力对黑色微粒做正功,黑色微粒的电势能减小,B错误;
C.像素呈黑色时,胶囊下方的电极带负电,像素胶囊里电场线方向向下,黑色微粒所在区域的电势高于白色微粒所在区域的电势,C错误;
D.透明面板为黑色时,电场向下,黑色微粒所在区域的电势高;透明面板为白色时,电场向上,黑色微粒所在区域的电势也高,D正确。
故选D。
10.夏天的雨后经常可以看到美丽的彩虹,古人对此有深刻认识,唐代词人张志和在《玄真子涛之灵》中写道:“雨色映日而为虹”。从物理学角度看,虹和霓是两束平行太阳光在水珠内分别经过一次和两次反射后出射形成的,人们在地面上逆着光线看过去就可看到霓虹现象。如图甲所示,一束白光水平射入空中一球形的水滴,经过两次折射和一次反射后射出形成光带MN,出射光线与水平面的夹角称为彩虹角。如图乙所示,从球心O的正下方C点射出的某单色光的入射角,已知,,则下列说法正确的是( )

A.该单色光的彩虹角
B.该单色光在水滴内部B点处发生全反射
C.水滴对该单色光的折射率约为1.42
D.若分别用图甲中M、N所对应的两种光在同一装置上做双缝干涉实验,则M所对应的光的条纹间距更大
【答案】C
【详解】C.在题图乙上标出各角度,如图所示

由几何关系可知,解得,根据折射定律有,故C正确;
A.由光路的可逆性可知,光在C点的折射角依然为,故该单色光的彩虹角为
故A错误;
B.该单色光在水滴内发生全反射的临界角C满足,又sinθ <sin< span>C,则该单色光在水滴内部B点不可能发生全反射。故B错误; </sin<>
D.根据题图甲可知水滴对M所对应的光的折射率大于对N所对应的光的折射率,则M、N所对应的光分别为紫光和红光,紫光波长比红光短,又双缝干涉条纹间距,则M所对应的光的条纹间距更小。故D错误。
故选C。
二、选择题Ⅱ(本题共3小题,每小题4分,共12分。每小题列出的四个备选项中至少有一个是符合题目要求的。全部选对的得4分,选对但不全的得2分,有选错的得0分)
11.如图所示,甲图为粒子散射实验装置图;乙图是氢原子的光谱线图;丙图是“互感式”钳式电流表;丁图是电子束穿过铝箔后的衍射图样。关于各图的下列说法正确的是( )

A.甲图中荧光屏在相同时间内接收到的粒子数,处在①位置时比在②位置时少
B.乙图中的谱线是氢原子核外电子从第三轨道跃迁到第一轨道时发光而产生的
C.丙图中的“互感式”钳式电流表不能用来测量恒定电流的大小
D.丁图中的实验现象能说明电子具有波动性
【答案】ACD
【详解】A.图甲是粒子散射实验示意图,由粒子散射实验现象知,当显微镜在②位置时荧光屏上接收到的粒子数最多,故A正确;
B.谱线是氢原子核外电子从第四轨道跃迁到第二轨道时发光而产生的,故B错误;
C. “互感式”钳式电流表是利用电磁感应原理,需要磁通量发生变化,即电流发生变化,故不能用来测量恒定电流的大小,故C正确;
D.图丁是电子束穿过铝箔后的衍射图样,该实验现象说明实物粒子也具有波动性,故D正确;
故选ACD。
12.有位游客在江边观光,水面上有相距为d的两个浮标A、B,如图所示,水波(可视为简谐波)传播到A浮标时,A浮标从平衡位置开始向上振动,若此时开始计时,经历时间,A浮标第一次到达波峰,此时B浮标从平衡位置开始振动。下列说法正确的是( )

A.水波的波速为 B.水波的波长为2d
C.时刻,两浮标的速度相同 D.时刻,两浮标的加速度相同
【答案】AC
【详解】A.由题意知,两浮标的振动图像如图所示

水波从A浮标传到B浮标的时间间隔为,故波速,故A正确;
B.由图可知,故波长,故B错误;
C.由,所以,时刻,浮标A和B的位置分别位于平衡点下方振幅处和平衡点上方振幅处,浮标A和B的速度大小相等,方向都向下,故C正确;
D.时刻,浮标A和B加速度大小相等,方向相反,故D错误。
故选AC。
13.如图所示为超市里可以相互嵌套的手推购物车,现水平地面上有4辆质量均为的手推车沿一条直线排列,相邻两手推车的间距均为,从左往右依次编号1、2、3、4,人在极短时间内给第一辆车一水平冲量使其向右运动,当车运动了距离时与第二辆车相碰,两车以共同速度继续运动了距离时与第三辆车相碰,三车以共同速度运动,后面重复。已知手推车在运动时受到的阻力恒为车重的倍,手推车第一次碰撞时损失的机械能,假设车与车之间仅在碰撞时发生相互作用,且碰撞时间极短,重力加速度大小为,下列说法正确的是( )

A.第一辆车获得的初动能为
B.第一辆车获得的初动能为
C.手推车第一次碰撞与第二次碰撞过程损失的机械能之比为
D.第一辆车滑行的总距离为
【答案】ACD
【详解】AB.设第一辆车获得的初动能为,经过距离与第二辆车相碰,第一辆车碰前瞬间的速度为,与第二辆车相碰后的共同速度为,根据动量守恒和能量守恒有,,解得,,又第一辆车经过距离,根据动能定理有,联立解得,故A正确,B错误;
C.由上可知,第一、二辆车以共同速度,经过距离与第三辆车相碰,设第一、二辆车碰撞前的速度为,碰撞后三辆车的共同速度为,则对第一、二辆车,根据动能定理有,三辆车碰撞前后,根据动量守恒和能量守恒有,,联立解得,,故手推车第一次碰撞与第二次碰撞过程损失的机械能之比为,故C正确;
D.由上可知,第一、二、三辆车以共同速度向右做减速运动,设向右运动了s,速度减为零,且s<L,根据动能定理有,解得,故假设成立,即前三辆车不会与第四辆车相碰撞,故第一辆车滑行的总距离为,故D正确。
故选ACD。
非选择题部分
三、实验题(本大题共2小题,共14分)
14-Ⅰ.某同学在“用单摆测量重力加速度”的实验中,利用了智能手机和一个磁性小球进行了如下实验:
(1)将摆线上端固定在铁架台上,下端系在小球上,做成图1所示的单摆。下列摆线安装最合理的是 。

A.
B.
C.
(2)用刻度尺测量悬线的长度,用游标卡尺测得磁性小球的直径如图2所示,则直径 cm,算出摆长L。

(3)将智能手机磁传感器置于磁性小球平衡位置正下方,打开智能手机的磁传感器,测量磁感应强度的变化。
(4)将磁性小球由平衡位置拉开一个小角度,由静止释放,手机软件记录磁感应强度的变化曲线如图3所示。试回答下列问题:
①由图3可知,单摆的周期为 。
②改变摆线长度l,重复实验操作,得到多组数据,画出对应的图像如图4所示,图像的斜率为k,则重力加速度g的表达式为 。(用题中物理量的符号表示)。
③图4中图像不过原点的原因是 ,对g的测量结果 (选填“有影响”或“无影响”)。
【答案】 B (1分) 1.070 (1分) 2t0 (1分) (1分) 没有考虑磁性小球的半径 (1分) 无影响(1分)
【详解】(1)[1]A.图中采用了弹性绳,实验过程中,摆长会发生明显的变化,该装置不符合要求,故A错误;
B.图中采用铁夹固定悬点,细线丝弹性小,磁性小球体积小,空气阻力的影响可以忽略,该装置符合要求,故B正确;
C.图中没有用铁夹固定悬点,摆长会发生明显变化该装置不符合要求,故C错误。
故选B。
(2)[2]根据游标卡尺的读数规律,该读数为
(4)①[3]磁性小球经过最低点时测得的磁感应强度B最大,根据图3有,解得周期为
②[4]摆长等于摆线长与小球半径之和,则有,根据周期公式有,解得,结合图像有,解得
③[5]结合上述可知,图4中图像不过原点的原因是没有考虑磁性小球的半径。
[6]结合上述可知,重力加速度的求解是根据图像的斜率,实验中,虽然没有考虑磁性小球的半径,但对斜率没有影响,即对g的测量结果无影响。
14-Ⅱ.某同学指导小学科学兴趣小组时,用苹果、铜片、锌片、导线、发光二极管连接了如1图电路,发现二极管不亮,为此他设计并完成了如下实验。
(1)判断发光二极管LED的极性:如2图所示,选择多用电表的 (选填“电压挡”“电流挡”或“欧姆挡”),当黑表笔接M端、红表笔接N端时二极管发光,对调红、黑表笔位置连接时二极管不发光;

(2)测量苹果电池的电动势和内阻:将苹果电池、电阻箱、开关、多用电表(电压挡)连接成3图所示电路,记录不同电阻箱阻值(以为单位)与对应多用表电压挡读数,某次多用表的表盘读数与选择旋钮如4图所示,则电压读数为 V;

(3)在Excel软件中作图:以为横坐标,为纵坐标,据步骤(2)中的电阻,电压数据作图,发现误差允许范围内数据点在同一直线上,拟合得该直线的函数表达式为,由此可得水果电池的电动势 V,内阻 
(4)根据上述实验结果,判断1图中二极管不亮最可能的原因是__________(单选)。
A.二极管损坏 B.二极管正负极接反了 C.苹果电池输出电压小
【答案】(1)欧姆挡 (1分) (2)0.65 (1分) (3) 0.70 (1分) 3.0 (1分) (4)C(1分)
【详解】(1)判断发光二极管LED的极性:如2图所示,选择多用电表的欧姆挡,当黑表笔接M端、红表笔接N端时二极管发光,对调红、黑表笔位置连接时二极管不发光;
(2)4图电压挡量程为,由指针所在位置可知电压读数为。
(3)[1][2]根据闭合电路欧姆定律可得,可知,现误差允许范围内数据点在同一直线上,拟合得该直线的函数表达式为,则有,,解得,
(4)根据上述实验结果,1图中二极管不亮最可能的原因是:苹果电池的内阻很大,内阻分得大部分电压,使得苹果电池输出电压小,二极管不亮。
故选C。
14-Ⅲ.以下实验中,说法正确的是( )
A.在“用单摆测重力加速度”实验中,要求摆球上升到最高点位置时开始计时
B.在“制作门窗防盗报警装置”实验中,利用干簧管将门与门框的相对位置这一非电学量转换为电路的通断
C.在“研究气垫导轨上滑块碰撞时的动量守恒”实验中,利用气垫导轨来减小摩擦力,利用数字计时器来测量滑块碰撞前后的速度
D.在“用油膜法估测油酸分子的大小”实验中,为了使油酸充分展开,获得一块单分子油膜,需要将油酸在酒精中稀释后再滴入水中
【答案】BCD (3分,少选没有错得1分)
【详解】A.在“用单摆测重力加速度”实验中,要求摆球在最低点处开始计时,误差会更小。故A错误;
B.在“制作门窗防盗报警装置”实验中,利用干簧管在磁场中的特性实现门窗防盗报警功能,在门上沿嵌入一小块永磁体,门框内与该永磁体相对的位置嵌入干簧管,并将干簧管接入报警电路,从而利用干簧管将门与门框的相对位置这一非电学量转换为电路的通断。故B正确;
C.在“研究气垫导轨上滑块碰撞时的动量守恒”实验中,利用气垫导轨可以忽略滑块与导轨接触面间的摩擦力,保证滑块的系统合外力为0,利用数字计时器可以迅速得出滑块碰撞前后的速度。故C正确;
D.在“用油膜法估测油酸分子的大小”实验中,为了使油酸充分展开,获得一块单分子油膜,需要将油酸在酒精中稀释后再滴入水中,否则浓度较高的油酸分子会因无法充分展开而使测量的表面积偏小,最终使油酸分子的大小测量偏大。故D正确。
故选BCD。
四、计算题(本大题共4小题,8分+11分+12分+13分共44分,解答过程请写出必要的文字说明和必需的物理演算过程,只写出最终结果的不得分)
15.为了监控某高温锅炉外壁的温度变化,在其锅炉外壁上镶嵌了一个底部水平、开口向上的圆柱形导热汽缸。汽缸内有一质量不计、横截面积的活塞封闭着一定质量的理想气体,缸内气体温度等于锅炉外壁温度,活塞上方的警报器通过轻绳悬挂一质量的重物,如图所示。当缸内气体温度时,活塞与缸底相距;当缸内气体温度时,活塞刚好接触重物;当轻绳拉力刚好为零时,警报器开始报警。已知锅炉房内空气压强,,不计活塞厚度及活塞与缸壁间的摩擦。求:
(1)缸内气体温度由变化到的过程中,活塞上升的高度;
(2)警报器开始报警时,锅炉外壁的温度。

【答案】(1)8cm (2)605K
【详解】(1)温度由变化到的过程中,气体压强一定,根据盖—吕萨克定律有(2分)
解得(1分)
(2)从活塞刚好接触重物到轻绳拉力刚好为零过程,气体体积一定,根据查理定律有(2分)
对重物与活塞整体进行分析有(2分)
解得(1分)
16.如图所示,表面光滑的水平轨道左端与长L = 1.25 m的水平传送带平滑相接,传送带以v0 = 1 m/s的恒定速率逆时针匀速运动。水平轨道右侧的竖直墙上固定一轻弹簧,现用质量m = 0.1 kg的小物块(可视为质点)将弹簧向右压缩到某一位置(弹簧处于弹性限度范围内),由静止开始释放小物块,小物块到达水平传送带左端B点后,立即沿切线进入固定的竖直光滑半圆轨道最高点,并恰好沿半径R = 0.4 m的半圆轨道做圆周运动,最后经圆周最低点C,滑上质量为M = 0.9 kg的长木板上,若物块与传送带间动摩擦因数μ1 = 0.8,物块与木板间动摩擦因数μ2 = 0.25,g取10 m/s2。求:
(1)小物块到达B点时速度vB的大小;
(2)小物块刚滑上水平传送带A点时的动能Ek;
(3)若木板和地面之间动摩擦因数μ3 < 0.025,要使小物块恰好不会从长木板上掉下,则木板长度s与木板和地面之间动摩擦因数μ3应满足什么关系(设最大静摩擦力等于滑动摩擦力)。

【答案】(1)2 m/s (2)1.2 J (3)
【详解】(1)物体在光滑半圆轨道最高点恰好做圆周运动,由牛顿第二定律得(1分)
解得(1分)
(2)设物块到达A点时的速度为vA,有(1分)
由
可知,物体在传送带上一直做匀减速运动;(1分)
则物块在传送带上滑行过程由动能定理可得(1分)
联立以上各式解得(1分)
(3)根据题意,从B到C过程中,由动能定理可得(1分)
解得
因为μ3 < 0.025,对物块有,解得
对长木板有(1分)
共速时有(1分)
木板的长度为(1分)
整理可得(1分)
17.近年来,电动汽车在我国迅速发展,其动力装置是电动机。如图甲所示是一台最简单的直流电动机模型示意图,固定部分(定子)装了一对磁极,旋转部分(转子)装了圆柱形铁芯,将abcd矩形单匝导线框固定在转子铁芯上,能与转子一起绕轴转动。线框与铁芯是绝缘的,线框通过换向器与直流电源连接。定子与转子之间的空隙很小,可认为磁场沿径向分布,线框无论转到什么位置,它的平面都跟磁感线平行,如图乙所示,线框所处位置的磁感应强度大小均为B。已知ab、cd边的质量均为M、长度均为L,其他部分质量不计,线框总电阻为R。电源电动势为E,内阻不计。当闭合开关S,线框由静止开始在磁场中转动,忽略一切阻力与摩擦,以及线圈的自感系数。
(1)分别求出刚闭合开关S后瞬间、线框的转速达到稳定后线框中的电流和;
(2)求闭合开关后,线框由静止开始转动,到转动速率达到稳定的过程中,线框ab边能达到的最大速度和电源所释放的电能W;
(3)当用电动机带动其他机器稳定工作时,线框的ab、cd边相当于都受到与转动速度方向相反、大小恒定的阻力f,f不同转动速率也不同。写出此时电动机工作效率的表达式,并求出当时,线框的ab、cd边转动的速率。

【答案】(1); (2), (3)
【详解】(1)刚闭合开关S,线框中的电流为(1分)
线框的转速达到稳定后,线框的转动不再加速,又因不计一切阻力和摩擦,所以稳定后ab、cd边所受安培力为0,因此线框中的电流为。(1分)
(2)线框转动速率达到稳定时,ab、cd边产生的感应电动势与电源的电动势相等,所以稳定时有(1分)
解得(1分)
在很短的时间内可认为电流不变,以ab为研究对象,在ab边转动的方向应用动量定理得
对整个过程求和有(1分)
其中为在整个过程中通过杆横截面的电量,又因为电源所释放的电能为(1分)
联立以上各式求得(1分)
(3)因线框ab边和cd边所受的阻力均为f,当线框稳定转动时,线框ab边和cd边所受安培力大小与f相等,即f=BIL
则电动机的输出功率可表示为P=2 fv= 2BILv(1分)
又因为电源消耗的功率为EI,所以效率为(1分)
又因为(1分)
解得(1分)
当= 50%时,解得(1分)
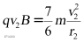
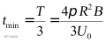
18.碳-14()是碳-12()的一种同位素,具有放射性。如图甲是一个粒子检测装置的示意图,图乙为其俯视图,粒子源释放出经电离后的碳-14与碳-12原子核(初速度忽略不计),经直线加速器加速后由通道入口的中缝进入通道,该通道的上下表面是内半径为、外半径为的半圆环,磁感应强度为B的匀强磁场垂直于半圆环,正对着通道出口处放置一张照相底片,能记录粒子从出口射出时的位置。当直线加速器的加速电压为时,碳-12原子核恰好能击中照相底片的正中间位置,则:
(1)碳-14具有放射性,会发生衰变,请写出它的衰变方程,并计算碳-12原子核的比荷;
(2)照相底片上碳-14与碳-12原子核所击中位置间的距离(结果用根号表示);
(3)若加速电压在 之间变化,求碳-12原子核在磁场中运动的最短时间。

【答案】(1), (2) (3)
【详解】(1)碳14衰变成为氮14的过程,会放出β射线,其衰变方程为(1分)
由题意可知当碳-12恰好能击中照相底片的正中间位置时,其运动半径为(1分)
设碳-12经过加速后获得的速度大小为v,根据动能定理有(1分)
根据牛顿第二定律有(1分)
联立解得,(1分)
(2)设碳-12粒子和碳-14粒子经过加速后获得的速度大小分别为、,根据动能定理有


根据牛顿第二定律有


联立解得,(1分)
则照相底片上碳-12和碳-14所击中位置间的距离(1分)
(3)粒子在磁场做圆周运动的半径与加速电压和比荷的关系(1分)
若,碳-12粒子的半径范围(1分)

粒子打在内圆环上,轨迹与内圆环交于C点。当MC⊥CO时,圆弧MC对应的圆心角θ最小,用时最短,则有



绝密★启用前
2025年高考考前信息必刷卷01(浙江专用)
物 理•参考答案
(考试时间:90分钟 试卷满分:100分)
选择题部分
一、选择题Ⅰ(本题共10小题,每小题3分,共30分。每小题列出的四个备选项中只有一个是符合题目要求的,不选、多选、错选均不得分)
1 |
2 |
3 |
4 |
5 |
6 |
7 |
8 |
9 |
10 |
A |
B |
C |
C |
D |
B |
C |
C |
D |
C |
二、选择题Ⅱ(本题共3小题,每小题4分,共12分。每小题列出的四个备选项中至少有一个是符合题目要求的。全部选对的得4分,选对但不全的得2分,有选错的得0分)
11 |
12 |
13 |
ACD |
AC |
ACD |
非选择题部分
三、实验题(本大题共2小题,共14分)
14-Ⅰ. B (1分) 1.070 (1分) 2t0 (1分) (1分) 没有考虑磁性小球的半径 (1分) 无影响(1分)
14-Ⅱ.(1)欧姆挡 (1分) (2)0.65 (1分) (3) 0.70 (1分) 3.0 (1分) (4)C(1分)
14-Ⅲ.BCD (3分,少选没有错得1分)
四、计算题(本大题共4小题,8分+11分+12分+13分共44分,解答过程请写出必要的文字说明和必需的物理演算过程,只写出最终结果的不得分)
15.(1)温度由变化到的过程中,气体压强一定,根据盖—吕萨克定律有(2分)
解得(1分)
(2)从活塞刚好接触重物到轻绳拉力刚好为零过程,气体体积一定,根据查理定律有(2分)
对重物与活塞整体进行分析有(2分)
解得(1分)
16.(1)物体在光滑半圆轨道最高点恰好做圆周运动,由牛顿第二定律得(1分)
解得(1分)
(2)设物块到达A点时的速度为vA,有(1分)
由
可知,物体在传送带上一直做匀减速运动;(1分)
则物块在传送带上滑行过程由动能定理可得(1分)
联立以上各式解得(1分)
(3)根据题意,从B到C过程中,由动能定理可得(1分)
解得
因为μ3 < 0.025,对物块有,解得
对长木板有(1分)
共速时有(1分)
木板的长度为(1分)
整理可得(1分)
17.(1)刚闭合开关S,线框中的电流为(1分)
线框的转速达到稳定后,线框的转动不再加速,又因不计一切阻力和摩擦,所以稳定后ab、cd边所受安培力为0,因此线框中的电流为。(1分)
(2)线框转动速率达到稳定时,ab、cd边产生的感应电动势与电源的电动势相等,所以稳定时有(1分)
解得(1分)
在很短的时间内可认为电流不变,以ab为研究对象,在ab边转动的方向应用动量定理得
对整个过程求和有(1分)
其中为在整个过程中通过杆横截面的电量,又因为电源所释放的电能为(1分)
联立以上各式求得(1分)
(3)因线框ab边和cd边所受的阻力均为f,当线框稳定转动时,线框ab边和cd边所受安培力大小与f相等,即f=BIL
则电动机的输出功率可表示为P=2 fv= 2BILv(1分)
又因为电源消耗的功率为EI,所以效率为(1分)
又因为(1分)
解得(1分)
当= 50%时,解得(1分)
18.(1)碳14衰变成为氮14的过程,会放出β射线,其衰变方程为(1分)
由题意可知当碳-12恰好能击中照相底片的正中间位置时,其运动半径为(1分)
设碳-12经过加速后获得的速度大小为v,根据动能定理有(1分)
根据牛顿第二定律有(1分)
联立解得,(1分)
(2)设碳-12粒子和碳-14粒子经过加速后获得的速度大小分别为、,根据动能定理有


根据牛顿第二定律有


联立解得,(1分)
则照相底片上碳-12和碳-14所击中位置间的距离(1分)
(3)粒子在磁场做圆周运动的半径与加速电压和比荷的关系(1分)
若,碳-12粒子的半径范围(1分)

粒子打在内圆环上,轨迹与内圆环交于C点。当MC⊥CO时,圆弧MC对应的圆心角θ最小,用时最短,则有


— END —
需要下载资料的,复制下面的书名号蓝色字后,点开下面公众号名片关注我们后,右上角点发消息,底部粘贴发送。已经关注过的,再次点开公众号名片后底部粘贴,也就是下面圆头相后,底部粘贴,发送就会收到相关资料《新高考试题资料》注:关注后,不会下载的,反回来长按第二个二维码直接下载
扫下面二维码下载全册教案课件(推荐网盘下载)
电脑端下载的复制下载面网址到浏览器打开
https://www.zhienwp.com/index/wjj/340.html
扫下面二维码下载全册教案课件(文档下载)
扫下面二维码下载全册教案课件(文档下载)

电脑端下载的复制下载面网址到浏览器打开
https://jazpan.com/box/23180.html
长按此名片关注公众下载更多优质学习资料
点击标题查看详情
▼▼▼▼
2025年高考英语考前信息必刷卷(江苏专用) 【可下载打印】
2025年高考英语信息必刷卷01(上海专用)-考前信息必刷卷【可下载打印】
2025年高考英语 信息必刷卷01(天津专用)-考前信息必刷卷【可下载打印】
2025年高考英语信息必刷卷01(新高考I卷专用)-考前信息必刷卷
2025年高考英语信息必刷卷01(新高考II卷专用)-考前信息必刷卷【可下载打印】
2025年高考英语考前信息必刷卷(新高考八省专用) 【可下载打印】
2025年高考考前信息必刷卷01(新高考八省专用)解析版【可下载打印】
2025年高考考前信息必刷卷(新高考Ⅱ卷)答案版【可下载打印】
2025年高考数学考前信息必刷卷(浙江专用) 【可下载打印】
【备考2025】2025版新教材高考数学第二轮复习专题练【可下载打印】
【备考2025】2025版新教材高考数学第二轮复习专题练【可下载打印】
【冲刺高考】2025年高考数学二轮复习之压轴大题必杀技系列【可下载打印】
2025华师大版7年级数学下册 期中综合期末素质试卷【可下载打印】
2024华师大版7年级数学上册课件+教案+大单元教学设计+提分卷+期中期末+单元试卷【可下载打印】
华师大版九年级下册初中数学课件+教案+导学案+电子课本+试题【可下载打印】
新高考语文必背60篇理解性默写必修上逐篇过关练(教师版)【可下载打印】
2025高三语文最新名校月考情景默写题精选精练(解析版)【可下载打印】
新高考语言必背60篇理解性默写必修下逐篇过关练(教师版)【可下载打印】
2025届新高考开放式情境默写题训练(解析版)【可下载打印】
道德与法治部编版1年级下册单元测试+分层作业+期中+期末试卷及答案【可下载打
道德与法治部编版2年级下册单元测试期中+期末试卷及答案+知识点【可下载打印】
道德与法治部编版3年级下册分层作业+单元测试期中+期末试卷及答案+知识点【可
道德与法治部编版4年级下册分层作业+单元测试期中+期末试卷及答案+知识点【可
道德与法治部编版5年级下册分层作业+单元测试期中+期末试卷及答案+知识点【可
道德与法治部编版6年级下册分层作业+单元测试期中+期末试卷及答案+知识点【可
(2025春季新版)鲁教版9年级下册-初中化学电子课本+课件+教案【可下载打印】
(2025春季新版)鲁教版9年级下册-初中化学电子课本+分层练习【可下载打印】
(2025春季新版)鲁教版9年级下册-初中化学电子课本+分层练习+单元练习卷【可
(2025春季新版)鲁教版9年级下册-初中化学电子课本+知识清单+期中期末试卷含答案【可下载打印】
2025年人教版七年级物理下册阶段测试试卷含答案【可下载打印】
人教版(2025)八年级物理下册期中质量评价(含答案)【可下载打印】
2025年人教版(2024)九年级物理下册阶段测试试卷含答案【可下载打印】
2024—2025年人教版九年级化学(下册)期中试卷及答案(必考题)【可下载打印】
2025年外研衔接版九年级英语下册阶段测试试卷含答案(4套)【可下载打印】
2025年外研版八年级英语下册阶段测试试卷含答案(4套)【可下载打印】
2025年外研版七年级英语下册阶段测试试卷含答案(4套)【可下载打印】
闽教版三年级起点小学英语三年级下册期中-期末测试试卷含答-【可下载打印】
闽教版(三起)小学英语四年级下册期中-期末检测试题及答案(共2套)【可下载打印】
(闽教版(三年级起点))小学英语五下期中-期末测试(附答案)【可下载打印】
(闽教版(三年级起点))小学英语六下期中-期末测试(附答案)【可下载打印】
点击阅读原文下载更多资料 !
请点个在看,谢谢!
长按此名片关注公众下载更多优质学习资料
点击标题查看详情 ▼▼▼▼
2025年高考英语考前信息必刷卷(江苏专用) 【可下载打印】
2025年高考英语信息必刷卷01(上海专用)-考前信息必刷卷【可下载打印】
2025年高考英语 信息必刷卷01(天津专用)-考前信息必刷卷【可下载打印】
2025年高考英语信息必刷卷01(新高考I卷专用)-考前信息必刷卷
2025年高考英语信息必刷卷01(新高考II卷专用)-考前信息必刷卷【可下载打印】
2025年高考英语考前信息必刷卷(新高考八省专用) 【可下载打印】
2025年高考考前信息必刷卷01(新高考八省专用)解析版【可下载打印】
2025年高考考前信息必刷卷(新高考Ⅱ卷)答案版【可下载打印】
2025年高考数学考前信息必刷卷(浙江专用) 【可下载打印】
【备考2025】2025版新教材高考数学第二轮复习专题练【可下载打印】
【备考2025】2025版新教材高考数学第二轮复习专题练【可下载打印】
【冲刺高考】2025年高考数学二轮复习之压轴大题必杀技系列【可下载打印】
2025华师大版7年级数学下册 期中综合期末素质试卷【可下载打印】
2024华师大版7年级数学上册课件+教案+大单元教学设计+提分卷+期中期末+单元试卷【可下载打印】
华师大版九年级下册初中数学课件+教案+导学案+电子课本+试题【可下载打印】
新高考语文必背60篇理解性默写必修上逐篇过关练(教师版)【可下载打印】
2025高三语文最新名校月考情景默写题精选精练(解析版)【可下载打印】
新高考语言必背60篇理解性默写必修下逐篇过关练(教师版)【可下载打印】
2025届新高考开放式情境默写题训练(解析版)【可下载打印】
道德与法治部编版1年级下册单元测试+分层作业+期中+期末试卷及答案【可下载打
道德与法治部编版2年级下册单元测试期中+期末试卷及答案+知识点【可下载打印】
道德与法治部编版3年级下册分层作业+单元测试期中+期末试卷及答案+知识点【可
道德与法治部编版4年级下册分层作业+单元测试期中+期末试卷及答案+知识点【可
道德与法治部编版5年级下册分层作业+单元测试期中+期末试卷及答案+知识点【可
道德与法治部编版6年级下册分层作业+单元测试期中+期末试卷及答案+知识点【可
(2025春季新版)鲁教版9年级下册-初中化学电子课本+课件+教案【可下载打印】
(2025春季新版)鲁教版9年级下册-初中化学电子课本+分层练习【可下载打印】
(2025春季新版)鲁教版9年级下册-初中化学电子课本+分层练习+单元练习卷【可
(2025春季新版)鲁教版9年级下册-初中化学电子课本+知识清单+期中期末试卷含答案【可下载打印】
2025年人教版七年级物理下册阶段测试试卷含答案【可下载打印】
人教版(2025)八年级物理下册期中质量评价(含答案)【可下载打印】
2025年人教版(2024)九年级物理下册阶段测试试卷含答案【可下载打印】
2024—2025年人教版九年级化学(下册)期中试卷及答案(必考题)【可下载打印】
2025年外研衔接版九年级英语下册阶段测试试卷含答案(4套)【可下载打印】
2025年外研版八年级英语下册阶段测试试卷含答案(4套)【可下载打印】
2025年外研版七年级英语下册阶段测试试卷含答案(4套)【可下载打印】
闽教版三年级起点小学英语三年级下册期中-期末测试试卷含答-【可下载打印】
闽教版(三起)小学英语四年级下册期中-期末检测试题及答案(共2套)【可下载打印】
(闽教版(三年级起点))小学英语五下期中-期末测试(附答案)【可下载打印】
(闽教版(三年级起点))小学英语六下期中-期末测试(附答案)【可下载打印】
点击阅读原文下载更多资料 !
请点个在看,谢谢!


