本文刊载于《石油与天然气化工》2025年第54卷第4期。
引用本文:陈晓彦,赵超,付斌,等. 基于IEO-MKELM模型的重整产品辛烷值软测量方法[J]. 石油与天然气化工,2025,54(4):131-139
CHEN Xiaoyan, ZHAO Chao, FU Bin, et al. Soft sensing method for octane number of catalytic reforming product based on IEO-MKELM model[J]. Chemical Engineering of Oil & Gas, 2025, 54(4): 131-139
doi:10.3969/j.issn.1007-3426.2025.04.017
作者简介:陈晓彦,1985年生,硕士研究生,主要从事节能技术及石化产品标准化工作。E-mail:
基于IEO-MKELM模型的重整产品辛烷值软测量方法
Soft sensing method for octane number of catalytic reforming product based on IEO-MKELM model
陈晓彦, 赵超, 付斌, 李卫东, 范克威
CHEN Xiaoyan, ZHAO Chao, FU Bin, LI Weidong, FAN Kewei
福州大学化工学院
摘 要:目的 针对催化重整产品辛烷值测量实时性较差的问题,提出基于改进平衡优化器算法的多核极限学习机(IEO-MKELM)辛烷值软测量模型。方法 采用混沌映射、反向学习策略、优化非线性因子、莱维飞行和贪心选择策略优化基础平衡算法,获得具有更高全局和局部搜索能力的改进平衡算法(IEO)。随后将这一改进后的平衡优化算法应用于多核极限学习机(MKELM)多项参数的优化,进而建立了催化重整产品辛烷值软测量模型。结果 利用某炼化企业的实测数据对模型精度进行验证,结果表明,由IEO-MKELM模型得到的预测值与实测值间的误差在10−3数量级以下,与其他同类模型相比,IEO-MKELM模型具有更高的预测精度。结论 基于IEO-MKELM的辛烷值软测量方法研究对于提高催化重整生产过程的自动化水平具有重要意义。
关键词:IEO-MKELM; 平衡优化算法; 多核极限学习机; 辛烷值; 软测量; 预测模型
Abstract:
Keywords: IEO-MKELM; equilibrium optimizer; multiple-kernel extreme learning machine; octane number; soft sensing; prediction model
催化重整是以低辛烷值汽油为原料,产生高辛烷值汽油的工艺过程[1-2]。随着车用燃料环保标准日益严格及石化企业对BTX芳烃需求量的不断增加,催化重整过程在炼化工业中的作用愈发重要。辛烷值是评价催化重整过程产品品质的重要指标,可表征生产过程的质量和水平。但受限于目前的技术水平,辛烷值仍采用化验分析方法获取,使得检验结果滞后于生产过程,仅能通过间接指标表征生产过程,从而影响了控制精度。针对这类反应机理复杂、参数检测存在较大惯性和滞后的生产过程,通常借助软测量技术来解决生产参数工业控制的问题[3-4]。近年来,研究人员针对这一方向展开了一系列研究,提出了许多以基于数据驱动为主的软测量预测模型,虽具有一定的应用价值,但也体现出BP
建立多核极限学习机(MKELM)软测量模型的一项重要工作是确定核参数和加权系数,这一过程需要配套一定的优化算法完成。研究人员已使用粒子群算法、野犬优化算法、灰狼优化算法等启发式智能算法对MKELM模型的相关参数进行了优
针对催化重整产品辛烷值测量这一复杂工程问题,本研究提出一种由改进平衡算法优化核极限学习机的软测量模型。考虑到采用单一核函数的核极限学习机算法在处理多变量、非线性、强耦合和多模态复杂过程建模时,仍然存在回归能力不足的问题,将具有不同性能的多个核函数组合构成MKELM模型,以期获得更好的预测精度[15]。由于MKELM模型随机生成隐含层和输出层间的连接权值,容易破坏模型稳定性,因此在确定了MKELM模型的输入、输出变量和核函数后,需借助算法对MKELM模型进行参数优化,以提高模型性能。
1 改进平衡优化算法
1.1 改进平衡优化算法流程
EO是一种在控制体积基础上进行的简单混合动态质量平衡算法[16],其运算过程包含3个关键过程:初始化、建立平衡状态池和浓度更新。针对EO在初始化和浓度更新两个过程中存在的不足,提出改进措施,得到改进平衡优化算法(IEO),优化后的IEO寻优步骤如图1所示。
图1 改进平衡优化算法流程图
EO通常采用随机初始化来产生初始种群,
1.2 平衡优化算法改进措施
1.2.1 混沌映射和反向学习初始化算法
本研究采用Tent混沌映射产生的个解
)作为预备初始种群,见式(1)。
式中:
为第i个初始解,
为第i+1个初始解。
为了进一步扩大种群的搜索范围,加入反向学习策略,由式(1)生成初始解集,并由集合的最大值加上最小值减去初始解,从而生成反向解
,见
式中:
为反向解;
分别表示初始解的最小值和最大值。
将初始解和反向解合并后,选出
个适应度较优的个体形成初始种群,采用这一初始化方式可改善算法的搜索性能。
1.2.2 非线性收敛因子优化指数项
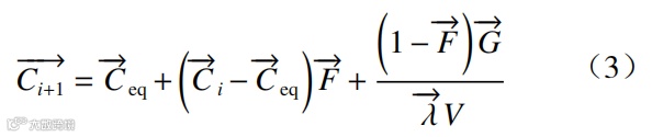
浓度更新是EO算法寻优的关键步骤,基础EO的浓度更新公式如式(3)所示。
式中:
为这一寻优周期粒子步长及方向向量;
为上一寻优周期粒子步长及方向向量;
为平衡状态,是算法收敛的终态;
为生成速率,此处定义为一阶指数衰减过程;
为(0,1)区间内的随机向量;
为单位体积;
为指数项,是浓度更新过程中引导粒子运动方向的重要指示值,决定了算法平衡全局搜索和局部搜索的能力,其表达式如式(4)
式中:
为常数项;
为非线性因子。
由式(4)可见,指数项
受非线性因子
直接影响。EO将
定义为一个随迭代次数增多而衰减的非线性因子,其表达式如式(5)所示。
式中:
为常数项,一般取1;
为当前迭代次数;
为最大迭代次数。
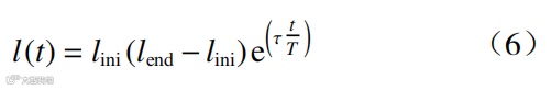
将非线性因子调整为迭代次数t的自然指数函数,调整后的非线性因子表达式如式(6)所示。
式中:
和
分别为未调节策略前的非线性因子的初值和终值;τ为调节系数,一般取1。
1.2.3 莱维飞行和贪心选择策略优化浓度更新过程
采用Mantegna所提出的生成莱维分布随机数算法[22],其步长计算公式如式(7)所示。
式中:
为步长;
为衰减系数,一般取值1.5;u与
为初始随机数,
,
。
对应的浓度更新公式如式(8)所示。
式中:
为莱维飞行策略优化后的浓度;
为步长控制量,其与莱维飞行步长采用点对点相乘。
采用莱维飞行策略可以强化算法的全局寻优性能,但不能保证得到的新解的适应度值一定优于原解。采用贪心算法对比新解和原解的适应度值,将适应度更好的解送入下一次循环,见式(9)。
1.3 仿真分析
为了检验所提出的IEO的寻优能力,选取4种标准函,分别对改进平衡优化器算法(IEO)、基础平衡优化器算法(EO)、粒子群优化算法(PSO)、蝙蝠算法(BA)、和声搜索算法(HS)以及布谷鸟搜索算法(CS)在同等条件下进行测试,标准测试函数的形式及其搜索范围见表1。
表1 标准测试函数
得到6种智能算法对4种标准测试函数进行寻优的过程,如图2~图5所示。从图2~图5可看出,BA算法和PSO算法的寻优结果都十分接近,特别是采用F1、F3、F4这3个函数时,都无法有效收敛,收敛曲线互相重叠,无法分辨;不论是采用哪一种测试函数进行收敛曲线评价,IEO的寻优过程均优于其他5种算法,特别是针对
~
这3个多峰函数,IEO不仅收敛速度快,而且更易摆脱局部最优解,获得较高的收敛速度。
图2 基准函数
测试曲线
图3 基准函数
测试曲线
图4 基准函数
测试曲线
图5 基准函数
测试曲线
将6种算法运行30次后所得的最优值、平均值及方差列于表2。从表2可看出,不管是针对哪一种测试函数,采用IEO得到的最优值、平均值及方差均明显低于其他5种算法,证明其具有较高的寻优精度。
表2 6种算法测试结果对比
由测试结果可以说明,所提出的改进策略有效地提升了IEO的求解精度和收敛速度。将该优化算法用于软测试模型的参数寻优,可提升模型的预测性能。
2 多核极限学习机
极限学习机(ELM)属于单隐层前馈神经网络[9],其输出函数的表达式如式(10)所示。
式中:
为输入向量;
为特征映射函数;
为隐层节点和输出层节点之间的连接权值;
为正则化系数;
为隐含层输出矩阵,
为
的转置;
为输出矩阵;I为单位矩阵。
当极限学习机(ELM)的特征映射函数
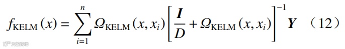
未知时,引入核函数概念形成核极限学习机(KELM),由此得到核矩阵的定义,如式(11)所示。
式中:
为核函数集;
为核函数。
由此得到核极限学习机的输出函数
的表达式,如式(12)所示。
核函数决定了核极限学习机拟合性能的优劣,对强非线性和多模态工业过程进行建模时,采用单一核函数极限学习机容易出现拟合精度不高的问题。为解决这一问题,通常将具有不同特性的多个核函数组合,构成多核极限学习机(MKELM)。多核极限学习机兼具多种核函数的特点,具有更好的学习能力和泛化性能。
3 基于IEO-MKELM的重整产品辛烷值软测量建模及仿真实验验证
3.1 数据采集和预处理
选择国内某石化企业催化重整生产装置作为研究对象,该对象采用 UOP大型连续重整新技术,由4个串联的重整反应器组成。收集装置1年时间段内生产负荷和催化剂表面积炭情况接近的稳态工况下的过程参数,组成样本,该样本可基本表征该套装置正常操作状态下的情况。数据来源于该石化企业的DCS数据库和化验结果历史记录。
根据反应机理和流程工艺,在催化剂条件一定的情况下,生产工况和入口原料组成是影响产品辛烷值的主要因素。结合文献[23]的研究成果,初步将第一、第二、第三与第四反应器入口温度(X1、X2、X3、X4)、反应平均温度(X5)、反应压力(X6)、氢油比(X7)、进料负荷(X8)、液时空速(X9),以及进料中的烷烃含量(X10)、芳烃含量(X11)、正异构己烷含量(X12)、正异构庚烷含量(X13)、正异构辛烷含量(X14)、九碳以上烷烃含量(X15)、六碳烷烃含量(X16)、七碳环烷烃含量(X17)、八碳环烷烃(X18)含量和九碳以上环烷烃(X19)含量共19个过程变量作为备选的模型输入变量。
考虑到所选择的19个过程变量与产品辛烷值之间的关系可能并不全部显著,为了降低模型的复杂度,提高拟合精度,进一步对输入变量进行筛选。互信息值可表示两个变量之间关系的密切程度,两个变量间的互信息值越大,变量之间的相关性就越强[24]。计算得到各过程变量
与重整产品辛烷值之间的互信息值,结果如表3所列。按照互信息值从高到低排序,并设置阈值为
,最后选择变量X7、X12、X13、X14和X16共5个变量作为改进平衡优化器算法的多核极限学习机(IEO-MKELM)辛烷值软测量模型的输入变量,剔除与输出变量互信息值小的剩余14个过程变量。
在所采集的材料中剔除存在明显误差的样本,收集得到完整准确的93组数据。在93组数据中随机选取70个样本组成训练集,其余23个样本组成测试集。在开始训练模型前,须将所有样本数据按式(13)进行归一化数据预处理,以减小不同变量由于数量级差异带来的影响。
式中:
为第
个样本某一参数数值标准化处理后的无量纲值;
为第i个样本某一参数数值;
和
分别为样本序列中这一参数的最小值和最大值。
表3 过程变量与辛烷值之间的互信息值
3.2 模型设计
建立基于IEO-MKELM的重整产品辛烷值软测量建模步骤,如图6所示。
图6 IEO-MKELM软测量建模流程图
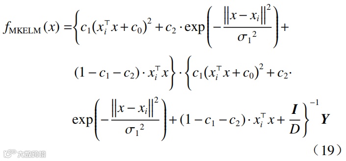
核函数的选择是决定MKELM性能的重要环节,应在综合分析各种核函数特性的基础上完成。高斯核函数在机器学习中为常用的局部核函数,多用于非线性模型中。考虑到研究所涉及对象的复杂性,选择高斯径向基函数作为基核;多项式核函数是全局核函数,选择线性和二阶两种多项式核函数与基核配合,以提升模型的学习能力[25]。3种核函数表达式分别如式(14)~式(16)所示。
式中:
为核函数中心;
为二阶多项式核函数的核参数;
为高斯径向基核函数的核参数。
将上述核函数线性相加,即构成等价核函数,其表达式如式(17)所示。
式中:
、
和
为各个核函数的加权系数,其取值范围在(0,1)内,且必须满足如式(18)所示的约束条件。
将式(14)~式(18)代入式(12),即可得到本研究设计的多核极限学习机的输出函数
,见式(19)。
采用IEO对MKELM模型进行优化的过程实际上是对式(19)所示的核函数中的5个参数进行寻优,即IEO中每个个体的位置信息为
。
为了保证IEO的优化效果和模型的预测性能,迭代开始后,依据式(20)所定义的适应度函数评价个体模型计算结果与实际结果的拟合程度,推进MKELM训练集样本数据。
式中:
为第
个样本的适应度值;
为第
个样本的模型预测值;
为第
个样本的辛烷值实测量。
为了保证IEO的优化效果和模型的预测性能,迭代开始后,依据式(20)所定义的适应度函数评价个体模型计算结果与实际结果的拟合程度,推进MKELM训练集样本数据。
3.3 仿真实验验证
用训练集样本对IEO-MKELM进行训练,从而得到辛烷值软测量模型。用训练好的软测量模型对测试集样本进行模拟,得到预测辛烷值。为了验证所提出的IEO-MKELM软测量模型的有效性,除了将IEO-MKELM模型得到的辛烷值预测值与实测值进行比较,还采用基础平衡优化器算法多核极限学习机(EO-MKELM)模型、核极限学习机(KELM)模型、极限学习机(ELM)模型和BP神经网络(BPNN)模型对相同样本对进行预测。经过反复测试,对得到的5种模型的最优结果进行比较,对应的模型设置见表4,所得到的各模型预测结果对比情况见图7。
表4 预测模型设计
图7中的测量值为重整产品中辛烷值的测量值。从图7可以看出:BPNN模型的预测效果较差,在多个测试点都与测量值相差甚远;ELM模型的预测效果相对较好,各测试点的预测数据能够较好地逼近测量值;引入高斯核函数的KELM模型精度有明显提升,在绝大多数测试点上都与测量值高度拟合;MKELM结合多种核函数的优点,具有较为均衡的局部和全局搜索能力,使其回归性能优于采用单一核函数的KELM;在采用EO优化MKELM参数后,进一步提高了模型的收敛精度;IEO-MKELM模型由于采用了IEO,搜寻到全局最优解的概率更高,相较于其他4种模型,其预测误差最小。
图7 辛烷值预测结果对比
进一步得到不同模型的辛烷值预测误差,其对比见图8。从图8可看出:随着样本点数的增加,IEO-MKELM模型、EO-MKELM模型和KELM模型的结果误差未呈现出明显的变化趋势,BPNN模型和ELM模型的结果误差则呈现出一定的下降趋势;BPNN模型各样本点的误差均大于其他模型,ELM模型各样本点误差相对BPNN模型有所降低;EO-MKELM模型和KELM模型的结果误差相对BPNN
图8 辛烷值预测误差对比
为了更准确地评估所提出的模型的预测精度,分别计算5种模型预测结果的平均绝对误差(RMAE)、平均相对误差(RMRE)和均方根误差(RRMSE),结果如表5所列。从表5可知:相较精度最差的BPNN模型,ELM模型的预测效果略有提升;采用高斯核函数的KELM模型的预测精度相比较BPNN模型和ELM模型有了非常明显的提升,已具备较高的预测精度;而采用EO优化过的MKELM模型相比于KELM模型并没有体现出明显的优势,RMAE、RMRE和RRMSE略高于KELM模型,原因可能来自于没有选到合适的核函数;采用IEO优化过的MKELM模型达到了很高的预测精度,相对EO-MKELM模型,其RMAE和RMRE相对降低了77.3%,RRMSE相对降低了76.1%,有了大幅度降低。
表5 5种辛烷值软测量模型性能比较结果
4 结语
研究如何利用软测量技术实现重整产品辛烷值快速、精确估算,对于提高催化重整生产过程的自动化水平具有重要意义。本研究针对这一问题设计了对应的IEO-MKELM预测模型,并探讨
一模型工程应用的可行性。首先,设计对MKELM模型进行参数优化的IEO算法,这一算法在EO的基础上进行优化,由Tent混沌映射和反向学习策略产生初始个体,引入非线性收敛因子优化指数项,在种群更新公式中引入莱维飞行和贪心选择策略。这些策略使得种群更加多样,增加算法跳出局部极值的概率,提高了全局寻优性能,由此获得了更好的收敛效果。通过标准测试函数的数值仿真,证明IEO相较于同类优化算法具有更好的寻优能力。接着,选择线性、二阶多项式和高斯径向基作为核函数设计MKELM模型,建立IEO-MKELM预测流程。最后,以实际的催化重整装置数据为样本,对IEO-MKELM辛烷值软测量模型的预测性能进行验证。结果表明,由IEO-MKELM模型得到的预测值与实测值间的误差在10−3数量级以下,与EO-MKELM模型、KELM模型、ELM模型及BPNN模型相比,IEO-MKELM模型具有更高的预测精度,优势明显。
通过验证发现,采用IEO-MKELM在样本数量较少的情况下可获得预测结果精确的模型,但目前受限于样本数量较少,未能完全体现模型的泛化能力。未来将模型集成于企业的DCS系统,设计与数据库的输入输出接口,开发人机交互界面,即可实现产品辛烷值的实时在线检测,并可形成反馈,对生产过程进行指导和控制。随着大量数据输入模型,可进一步验证模型的稳定性,在此基础上调整优化策略或核函数形式,在精度满足工艺要求的基础上提高运算速度。
中文核心期刊
CSCD来源期刊
RCCSE中国核心学术期刊
CSCIED科技核心期刊
全国石油和化工行业百强期刊
入选《科技期刊世界影响力指数(WJCI)报告》
入选《石油、天然气工业领域高质量科技期刊分级目录》
入选《化工领域高质量科技期刊分级目录》
美国化学文摘(CA)收录刊
美国乌利希国际期刊指南收录刊
美国EBSCO收录刊
JST日本科学技术振兴机构数据库收录刊
◆ ◆ ◆ ◆ ◆
作者:陈晓彦 等
专栏编辑:钟国利
网络编辑:王文渊
点击"阅读原文",访问《石油与天然气化工》官网

