未来食品有望在实验室中培育。江南大学陈坚院士团队刘潇副教授课题组利用CRISPR基因编辑技术,对一种名为威尼斯镰刀菌(Fusarium venenatum)的新型丝状真菌蛋白进行改造。
(来源:Trends in Biotechnology)
真菌蛋白的口感取决于加工方式:以菌丝体形态直接使用时,具有类似肉类的咀嚼感和蘑菇风味;若加工为蛋白粉,则其口感由最终食品形式决定。
图 | 刘潇(来源:刘潇)
降低进口大豆依赖,保障国家粮食安全
我国蛋白质供给面临严峻挑战,目前主要依赖传统畜禽养殖提供的动物蛋白及大豆、豌豆等植物蛋白。全球蛋白质生产高度依赖畜牧业与渔业,存在资源消耗大、环境压力高等问题,难以满足持续增长的需求。
发展生物科技,拓展微生物蛋白资源,是实现蛋白来源多元化的重要路径。威尼斯镰刀菌是全球首个获批用于食品的菌丝蛋白。继2023年我国批准首个微生物源蛋白(酿酒酵母)后,2025年初该菌种获卫健委新食品原料受理,并已正式通过认证,可合法进入市场。
CRISPR无痕编辑提升效率与营养
当前野生型威尼斯镰刀菌存在转化率低、必需氨基酸含量不足等问题。刘潇团队采用CRISPR技术对其进行“无痕敲除”——未引入外源基因,仅精准删除目标基因,符合非转基因定义,在法规申报上更具可行性。
研究聚焦两个关键方向:提高葡萄糖向蛋白质的转化效率以降低生产成本,同时优化氨基酸组成以增强营养价值。团队成功敲除了几丁质合酶和丙酮酸脱羧酶基因,获得新型工程菌株FCPD。
结果显示,FCPD菌株的胞内蛋白更易释放与吸收,必需氨基酸指数提升32.9%;单位蛋白产量所需葡萄糖减少44%,蛋白转化效率提高2.24倍,生产速度加快88.4%。
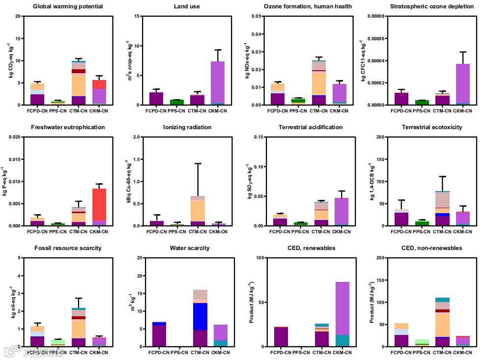
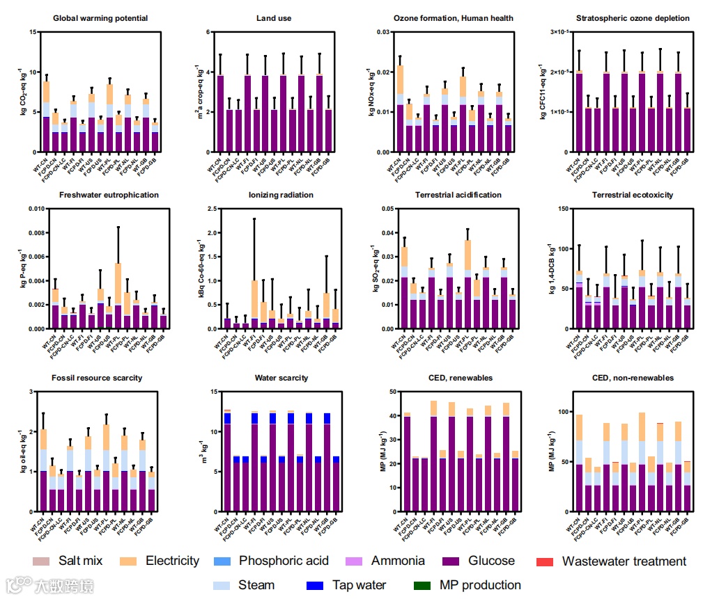
显著环保效益助力可持续发展
研究人员通过生命周期评估模型,在多国场景下测算环境影响,涵盖美国、英国、荷兰及中国景德镇等地,考虑能源结构与成本差异。
数据显示,相比普通真菌蛋白,FCPD菌株生产每公斤蛋白可减少4%–61.3%的温室气体排放,在土地利用、水资源消耗方面也优于豌豆蛋白、细胞培养肉和鸡肉。
(来源:Trends in Biotechnology)
不止于“人造肉”:打造基础蛋白新原料
威尼斯镰刀菌菌丝体结构类似动物肌肉纤维,常被用作人造肉基料。但研究目标并非局限于仿肉制品,而是将其作为高效蛋白原料进行开发。
除加工成素鸡块、素汉堡外,还可提取胞内蛋白制成功能优异的蛋白粉,应用于饮料等功能食品中,类似乳清蛋白或大豆蛋白的应用模式。
该项目旨在补充而非替代传统蛋白来源,挖掘真菌蛋白在高附加值领域的独特价值,响应国家蛋白质多元化战略,缓解对进口大豆的依赖,保障饲料与动物蛋白供应链安全。
(来源:Trends in Biotechnology)
(来源:Trends in Biotechnology)
刘潇表示,真菌蛋白作为前沿领域,具备巨大创新潜力。随着应用场景拓展和技术迭代,该产业有望在未来几年快速发展,实现从基础科研到市场价值的转化。
威尼斯镰刀菌已成为我国第二个获批的微生物源“三新食品”原料,标志着我国在新型蛋白领域迈入新阶段。

