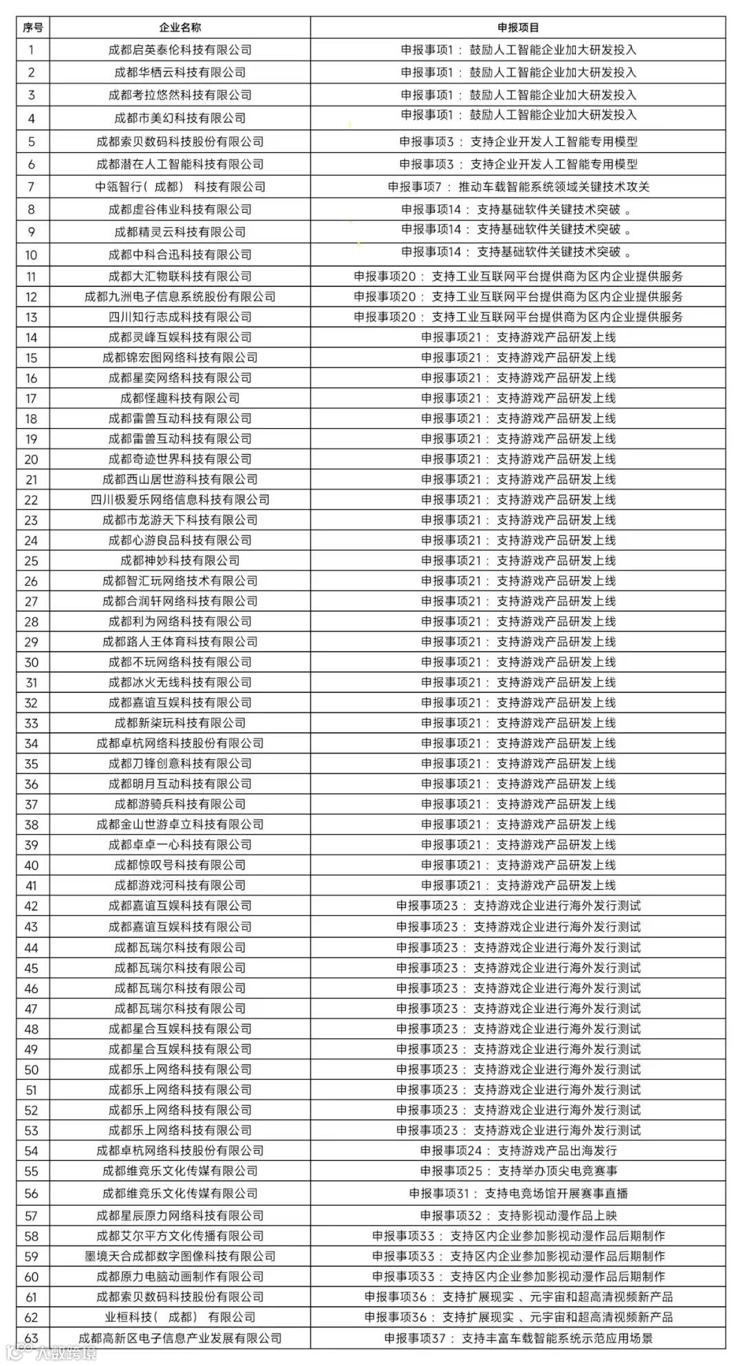
自我们整理了各地版号补贴政策之后还不足一个月,成都高新区公示了兑付企业名单,对应着2024年达到条件的相应企业,点击阅读原文查看官方链接。
其中,申报事项21,为版号补贴事项。
对于这次公示的企业和版号情况,我们简单梳理了一下,总结了以下几点:
1,出版单位没有地域限制
2,游戏版号下发年份没有限制
3,部分企业为软件著作权企业,并非运营单位企业
4,部分企业名下有多款版号
5,四类(移动)版号占多数
可以看出,兑付条件还是比较宽松的,当然,真正操作时候也有一些注意事项,已经在前篇有所叙述,此处再次做个提醒。
游戏企业领取版号补贴应该注意些什么呢?
第一,是地方的资金储备,政策是好的,但是兑付困难也是常见的,这其中最重要的原因就是资金是否充足,1000万资金池的地方可能会有各种门槛,而1个亿资金池的地方就要顺畅许多。
第二,是政策的持续时间,同时评估自身的落地速度,大部分都是获取版号且上线,这就要求有注册公司、取得ICP资质、游戏研发顺利、出版申报高效、渠道审核上线等事情都需要完成,最后的时间节点不能超过政策限期。
第三,是一些兑付硬性要求,以及如社保人数,实地办公等,是否有实际需求或者需要第三方提供解决方案。
第四,是研读相关配套政策,如地方希望把利润留下,往往需要配套返税或流水补贴等政策进一步锁定企业。这些政策是否可以匹配自身情况。
以上,是一些要点的简单概括,除此之外,最重要的其实是,我们一定要站在政府角度换位思考,***帮助政府完成他们的核心目标***。
后续我们将会持续调研,制作更详细的各地补贴领取攻略,请持续关注。

【弈维科技提供服务】
1,评估规划:只要有想拿版号的意愿,不论是在立项还是制作中还是已经上线推广甚至没有产品,都可以和我们进行沟通,我们会给出初步建议,帮您进行规划,提前掌控申请节奏。如果有游戏包或视频给过来,我们会出具一份初审报告,给出大概方向,方便评估修改成本及版号价值。
2,方案制定:作为多年的游戏人,深知可能一个符合出版系统标准的修改,研发团队付出的成本。所以,我们15年上百款产品的资深游戏制作人,会参与版号包的修改方案制定,保障修改方案是可以过审的最高性价比。
3,出版选择:基于和多家出版社有良好的合作关系,以及深入了解多个省局的审核风格,再考虑到不同的排队情况,我们会为游戏产品选择最适合的省和社,减少沟通成本和排队情况。
4,进度沟通:由我们负责不断跟进出版系统老师们加快进度,并且把对游戏理解有偏差的地方捋清楚达成共识,压下去不必要的修改工作量,在符合出版要求情况下通过沟通争取最好的结果,大幅节省时间。
5,授权服务:已经拿到版号的小伙伴,也许除了自己运营,也可能会需要把运营权授权出去,在这方面,我们每周都有超过30+的需求对接过来,我们将会为双方进行匹配,达成授权合作。
6,其他服务:除了回答什么游戏能报?什么时候报?推广了能不能报?多久能下号?这些基础问题之外,我们还擅长处理一些疑难杂症,比如怎么加速?没有研发如何拿版号?被打回的怎么处理?进口游戏怎么算?IP游戏怎么弄?等等……。
关于版号的任何问题,都可以联系我们,知无不言言无不尽!20年游戏经验,9年版号经验,解决过无数疑难杂症~游戏版号最专业!
联系方式:公众号留言或添加小助理微信号Chjw2023

