日前,教育部印发《关于做好2026年普通高等学校部分特殊类型招生工作的通知》及相关基本要求,当中提到有关外国类保送生的相关要求。有哪些政策发生改变?一起来看——
对于家长和同学最关心的外语类保送政策,2026年的核心框架不变(2026年与2025年完全一致),但在考核过程上提出了一个至关重要的“刚性”要求。
核心政策不变
• 专业限制(小语种): 政策完全一致。继续要求“加大向国家‘一带一路’建设发展所需语种专业及国家急需紧缺语种专业倾斜力度”。
• 英语专业特例: 政策完全一致。仅允许“北京外国语大学、上海外国语大学、外交学院”可招收少量保送生安排在英语语种相关专业。
• 转专业限制: 政策完全一致。“保送至小语种相关专业的学生入校后不得转入小语种以外的专业”。
核心变化:强制要求线下考核
这是2026年外语类保送政策最核心的变化。
• 2025年的录取程序规定:具备保送资格的考生“参加有关高校组织的保送生综合考核”。
• 2026年的录取程序在2025年的基础上,新增了以下关键条文:“高校要按照有关规定要求...坚持宁缺毋滥,精心设置保送生考核内容及录取标准,不得简单以提交材料审核代替线下考核。”
【政策解读】2026年的政策强制要求所有高校必须组织保送生进行“线下考核”(或至少是区别于“材料审核”的某种形式的“考核”),并强调了“宁缺毋滥”的选拔标准。
2026年新增要求高校“合理确定招生规模”,2025年未明确提及。
小语种保送
是四种保送途径中的一种
而东三省唯一具有保送资格的
就是长春外国语中学
保送需要什么条件?
每年保送资格有多少?
……
我们一起往下看
↓↓↓
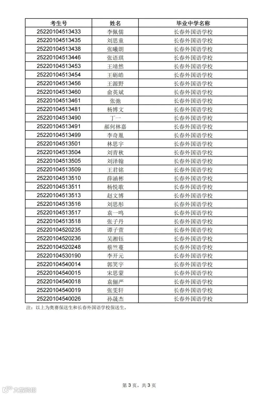
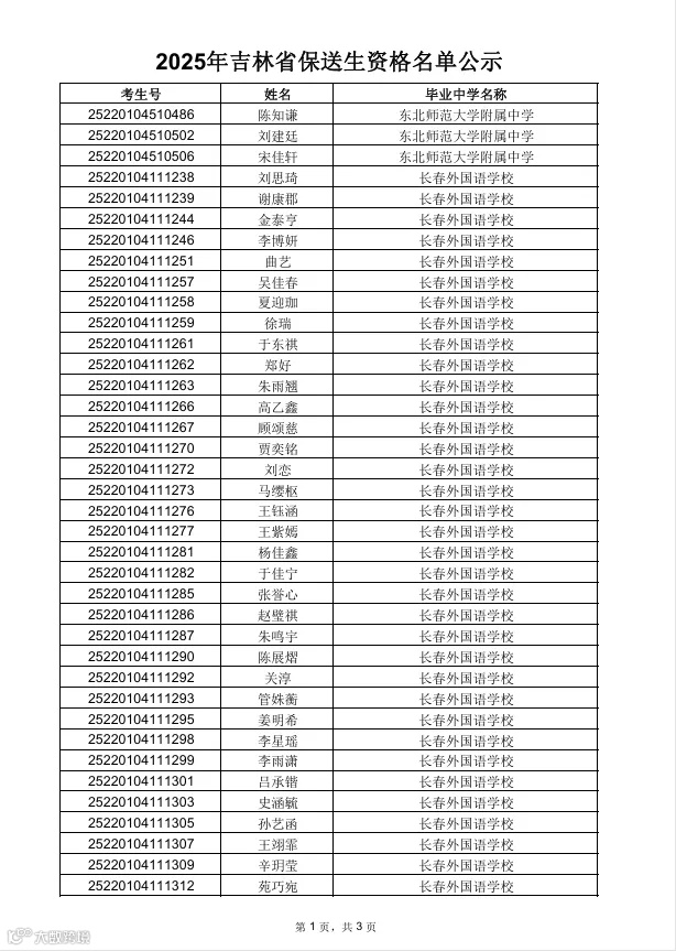
根据名单显示,其中有3名学子是师大附中竞赛保送生,其余107名学子均来自于外国语学校保送。
2025年,长春外国语学校通过外语类保送叩开理想大学之门的共有107名学子(保送名额108),其中985院校录取人数创历史新高,为73人,占比达68.2%。
那么外国语中学的保送名额和流程都是什么样的?一起来看看吧~
据了解,各地的保送名额每年都是由教育部下发给具有保送资格的外国语学校的。
长外保送资格遴选保证公平、公开、公正,外国语学校的保送生平台真会让不可能变成可能,是实现“高进优出”、“低进高出”一条途径。
保送资格如何获取?
据了解,在高三上学期,长春外国语学校会组织一次保送资格选拔考试,这个考试是保送资格遴选,最终看学生校内排名,获得了保送资格后接下来就要参加各高校的笔试与面试。
获得保送资格后,每位同学可参加多个高校的考试,最终由学生进行“反选”。也就是说如果一个学生拿到了多个大学的录取,学生可选择自己最心仪的高校。
等待教育部下发的保送名额,一般都是在高三上学期的11月份左右,学校会组织考生报名。整个高三的学生,不论是哪个类别录取的,只要是具有外国学校学籍的学生都可以参与保送资格的考试报名。
报名结束之后,学校将进行考试,考试形式等同于高考。命题、批卷、监考均按高考要求来执行。以六科的总分作为名次的排序,整个保送资格选拔考试是以六科成绩为准。
根据长春外国语学校当年实际报名参加保送生考试的物理类、历史类人数,按比例分配当年物理类和历史类的保送名额。即:
物理类名额=总名额x(物理类报名考试人数/历史类物理类考生总人数)
历史类名额=总名额x(历史类报名考试人数/历史类物理类考生总人数)
根据名额来确定最终入围学生名单。
当保送名单公示之后,进行七个工作日一个公示期。公示期结束之后,将组织保送生们去参加保送班学习。
每年高校复试环节一般都是在1月份左右陆陆续续进行,各高校依据自己学校的时间点安排保送生的复试时间。
复试考试内容:主要围绕着语文、英语和数学这三科进行。
获得保送资格后,每位同学可参加多个高校的考试,最终由学生进行“反选”。也就是说如果一个学生拿到了多个大学的录取,学生可选择自己最心仪的高校。
当然,如果不想走保送途径,想正常参加高考的话也是可以选择外国语的哦。因为外国语成绩最好的那一批学生都被保送了,不参加高考,所以外国语每年在公布=高考成绩的时候,保送和非保送是分开说的。但不管从录取分数还是出口都可以看出外国语的整体的成绩保持的还是非常不错的。
群内分享初高衔接资料及选科讲解
(非好友添加请备注学校+年级)

