今天给大家分享一篇由复旦大学团队发表于 Lancet Planetary Health 杂志(一区Top,IF=21.6)经典关联 Meta 分析,题为:Associations of ambient exposure to benzene, toluene, ethylbenzene, and xylene with daily mortality: a multicountry time-series study in 757 global locations。
掌握多国家时间序列研究的两阶段分析框架,理解化学 - 气候模型在暴露评估中的应用;学习亚组分析、Meta 回归解析异质性,及用 VIF、自然样条函数控制混杂与分析暴露 - 反应关系;熟悉 WQS 回归评估混合物联合毒性,掌握基于异质性、敏感性分析的结果稳健性判断方法。
研究背景
本文整合 46 个国家或地区 757 个地点的 23010 名受试者数据,首次在全球尺度明确短期环境 BTEX 暴露(单独或混合暴露)与每日总死亡率、心血管疾病死亡率及呼吸系统疾病死亡率的关联,为空气污染物防控政策制定提供高等级循证依据。
核心方法路线
1️⃣ 明确的纳入标准
P(人群):46 个国家或地区 757 个地点的普通人群,研究期间累计记录 6240 万例死亡(含 1580 万例心血管疾病死亡、710 万例呼吸系统疾病死亡)。
E(暴露):环境中 BTEX 单独组分(苯、甲苯、二甲苯,其中二甲苯含乙苯、间二甲苯、对二甲苯、邻二甲苯)及混合组分(BTEX 总和),通过化学 - 气候模型估算日暴露浓度。
C(对照):无特定对照干预,通过时间序列设计对比不同暴露浓度下的死亡率差异。
O(结局):主要结局:主要结局为每日总死亡率、心血管疾病死亡率(ICD-10:I00-I99)、呼吸系统疾病死亡率(ICD-10:J00-J99)。
S(研究类型):多国家时间序列研究,数据来源于 2001-2019 年多国多城市(MCC)协作研究网络。
2️⃣ 数据提取与质量控制
提取内容:由多国研究者协同提取数据,涵盖每日死亡率、气象因素(平均气温、相对湿度)、共污染物浓度(PM₂.₅、PM₁₀、二氧化氮等)及 BTEX 暴露浓度;BTEX 浓度通过社区地球系统模型(CESM)模拟获取,经 290 个地面监测点验证(均方根误差 0.43-0.53 ppb)。
质量保障:采用广义加性模型控制时间趋势、季节效应、气象因素等混杂;通过方差膨胀因子(VIF<5)评估多重共线性,确保模型稳定性;采用漏斗图及 Egger 检验评估发表偏倚。
3️⃣ 统计分析策略
核心模型:采用两阶段时间序列设计,第一阶段用准泊松广义加性模型估算地点特异性关联,第二阶段用随机效应 Meta 分析合并结果,以四分位距(IQR)暴露增量对应的死亡率百分比变化及 95% 置信区间(CI)表示效应量;
异质性与亚组分析:按 WHO 区域、国家收入水平、基尼系数、教育水平等分层分析;通过 Meta 回归探索人均 GDP、年平均气温、纬度等效应修饰因子;采用两污染物模型调整共污染物(PM₂.₅、臭氧等)的独立效应
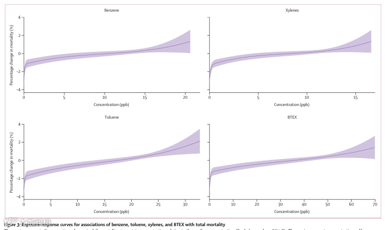
暴露 - 反应关系:采用自然样条函数分析暴露 - 反应曲线,明确剂量效应模式;通过加权分位数和(WQS)回归识别 BTEX 混合物中的关键贡献组分
核心结果
整体关联:BTEX 暴露显著升高死亡风险:
混合暴露(BTEX):IQR 增量(滞后 0-2 天,即当日及前 2 天移动平均)与总死亡率、心血管疾病死亡率、呼吸系统疾病死亡率分别增加 0.57%(95% CI 0.49-0.65)、0.42%(95% CI 0.30-0.54)、0.68%(95% CI 0.50-0.86)相关。
单独组分暴露:苯、甲苯、二甲苯的 IQR 增量对应的总死亡率增加幅度为 0.38%-0.61%,其中甲苯对呼吸系统疾病死亡率影响最大(增加 0.70%),二甲苯对总死亡率影响最显著(增加 0.59%)。
调整共污染物后:关联仍具统计学意义
调整 PM₂.₅、PM₁₀、二氧化氮等共污染物后,BTEX 与死亡率的关联强度略有下降但仍显著。其中调整臭氧后效应略有增强,BTEX 的 IQR 增量对应总死亡率增加 0.48%(95% CI 0.37-0.60),提示 BTEX 与臭氧可能存在协同效应。
暴露 - 反应特征:无安全阈值,低浓度即有风险
所有 BTEX 组分及混合物的暴露 - 反应曲线均呈近似线性,低浓度区间斜率更陡,无明确安全阈值。这表明即使环境中 BTEX 浓度处于较低水平,仍可能对人群健康造成危害。
人群与区域差异:脆弱人群风险更高
区域差异:西太平洋地区(0.88%)、美洲地区(0.64%)的 BTEX 相关死亡风险高于欧洲地区(0.15%);中国、墨西哥、菲律宾等国家的效应估计值显著高于全球平均水平,中国 BTEX 暴露对应的总死亡率增加 1.33%(95% CI 0.91-1.76)。
人群差异:低收入和中等收入国家、收入不平等程度高、教育水平低、医疗支出少的地区,人群对 BTEX 暴露的敏感性更高,死亡风险增加更显著。
混合物贡献:各组分作用相近
WQS 回归显示,苯、甲苯、二甲苯对死亡风险的贡献权重分别为 0.36、0.31、0.34,无单一组分占绝对主导,提示 BTEX 的健康危害源于多组分联合毒性。
总结
环境 BTEX 短期暴露与人群每日总死亡率、心血管及呼吸系统疾病死亡率显著相关,且无明确安全阈值,低浓度暴露即需警惕。防控工作应重点关注以下方面:
重点区域管控:优先加强低收入和中等收入国家、工业及交通密集区域的 BTEX 排放控制,推广清洁能源,优化燃料标准,安装尾气处理及油气回收系统。
脆弱人群保护:针对低教育水平、医疗资源匮乏地区的人群,建立 BTEX 暴露预警机制,减少高峰暴露时段的户外活动。
政策完善:将 BTEX 纳入常规空气监测体系,制定针对性的环境质量标准,同时考虑其与臭氧等污染物的协同效应,实施综合防控。

本号专注分享Meta分析科研干货与最新研究动态,除了上述内容外,对Meta分析感兴趣的同学,也可点击下方链接进行阅读或者留言你感兴趣的内容!
推荐阅读:
IF=5.9!宁波李惠利医院高质量Meta分析教学指南,方法学的详尽展示

