【问】功率增大为10倍,用?dB表示
+3dB,表示功率增加为2倍;+10dB,表示功率增加为10倍。
-3dB,表示功率减小为1/2;-10dB,表示功率减小为1/10。
1 W = 30 dBm。
【问】44 dBm=?W
1. 30 dBm的功率是()
A. 1 W
B. 10 W
C. 1 mW
D. 10 mW
答案:「A」
2. 假定小区输出总功率为46 dBm,在2天线时,单天线功率是( )
A. 46 dBm
B. 43 dBm
C. 23 dBm
D. 40 dBm
1、dBm
dBm是一个考征功率绝对值的值,计算公式为:10lg(功率值/1mw)。
[例1] 如果发射功率P为1mw,折算为dBm后为0dBm。
[例2] 对于40W的功率,按dBm单位进行折算后的值应为:
10lg(40W/1mw)=10lg(40000)=10lg(4*10^4)=40+10*lg4=46dBm。
2、dBi 和dBd
dBi和dBd是考征增益的值(功率增益),两者都是一个相对值,但参考基准不一样。dBi的参考基准为全方向性天线,dBd的参考基准为偶极子,所以两者略有不同。一般认为,表示同一个增益,用dBi表示出来比用dBd表示出来要大2. 15。
[例3] 对于一面增益为16dBd的天线,其增益折算成单位为dBi时,则为18.15dBi (一般忽略小数位,为18dBi)。
[例4] 0dBd=2.15dBi。
[例5] GSM900天线增益可以为13dBd(15dBi),GSM1800天线增益可以为15dBd(17dBi)。
3、dB
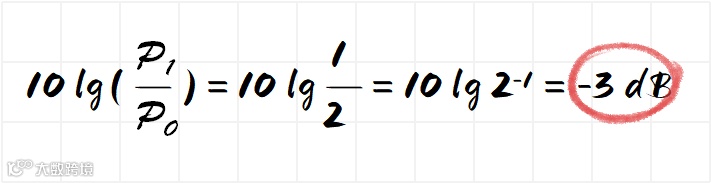
dB是一个表征相对值的值,当考虑甲的功率相比于乙功率大或小多少个dB时,按下面计算公式:10lg(甲功率/乙功率)
[例6] 甲功率比乙功率大一倍,那么10lg(甲功率/乙功率)=10lg2=3dB。
也就是说,甲的功率比乙的功率大3 dB。
[例7] 7/8 英寸GSM900馈线的100米传输损耗约为3.9dB。
[例8] 如果甲的功率为46dBm,乙的功率为40dBm,则可以说,甲比乙大6 dB。
[例9] 如果甲天线为12dBd,乙天线为14dBd,可以说甲比乙小2 dB。
4、dBc
有时也会看到dBc,它也是一个表示功率相对值的单位,与dB的计算方法完全一样。一般来说,dBc 是相对于载波(Carrier)功率而言,在许多情况下,用来度量与载波功率的相对值,如用来度量干扰(同频干扰、互调干扰、交调干扰、带外干扰等)以及耦合、杂散等的相对量值。在采用dBc的地方,原则上也可以使用dB替代。
搞无线和通信经常要碰到的dBm, dBi, dBd, dB, dBc
经验算法:
有个简便公式:0dBm=0.001W 左边加10=右边乘10
所以0+10dBm=0.001*10W 即10dBm=0.01W
故得20dBm=0.1W 30dBm=1W 40dBm=10W
还有左边加3=右边乘2,如40+3dBm=10*2W,即43dBm=20W,这些是经验公式,蛮好用的。
所以-50dBm=0dBm-10-10-10-10-10=1mW/10/10/10/10/10=0.00001mW。
+6dBm= *4 (2*2)
+7dBm= *5 (+10dB-3dB = 10/2)
+4dBm= *2.5 (+10dB-6dB = 10/4)
+1dBm= *1.25 (+4dB-3dB=2.5/2)
+2dBm=*1.6(+6dBm-4dBm=4/2.5=1.6)
功率(W ): 相对1 瓦(Watts )的线性水准。例如,WiFi 无线网卡的发射功率通常为0.036W ,或者说36mW 。
增益(dBm ):相对1 毫瓦(milliwatt )的比例水准。例如WiFi 无线网卡的发射 增益 为15.56dBm 。
=20dBm +10dBi
=30dBm
或者: =1000mW
=1W

