P手性次膦酸酯(P-chiral phosphinates)这类化合物具有广泛的应用,但相关的不对称合成仍然面临重大挑战。与传统方法相比,过渡金属催化不对称合成已成为构建P-手性化合物的更有效方法。对于次磷酸酯的不对称合成目前的策略主要依赖于使用贵金属催化剂,并且通常存在对映选择性低的问题。最近,上海大学胡天骄老师等报导了未活化炔烃的简单镍催化氢膦酰化反应,从而能够高度区域选择性和对映选择性地合成对手性次膦酸酯。
产率和对映体过量(ee)值分别可达95%和94%,具有广泛的官能团耐受性。克级放大反应也可以实现,所获得的双键产物容易获得各种转化应用。
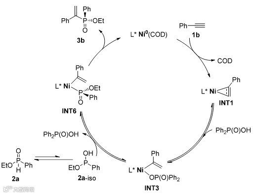
作者结合同位素标记实验和 DFT 计算对可能得反应机理也进行了研究:
该方法为获取各种功能化的立体次膦酸酯提供了一种实用且有效的方法。
其中部分化合物的手性拆分方法开发和手性色谱柱(Artchiral®)由星谱科技(Guangzhou Starchrom Technologies Co., Ltd.)提供支持。星谱科技将持续以最专业的产品和服务助力高水平的科研工作。
星产品 | Artchrom®鬼峰捕集小柱(文末附试用申请通道)
星谱学堂 | 基于模拟的反相色谱方法开发中的梯度优化——以西尼必利有关物质方法开发为例
星应用 | 半胱氨酸衍生物(Fmoc-DL-Cys-(Trt)-OH)的手性拆分
星应用 | 正亮氨酸衍生物(Fmoc-DL-Nle-OH)的手性拆分
星应用 | 苏氨酸衍生物(Fmoc-DL-Thr(tBu)-OH)的手性拆分
星应用 | 脯氨酸衍生物(Fmoc-DL-Pro-OH)的手性拆分
星应用 | 天冬酰胺衍生物(Fmoc-DL-Asn(Trt)-OH)的手性拆分
星应用 | 组氨酸衍生物(Fmoc-DL-His(Trt)-OH)的手性拆分
星应用 | 缬氨酸衍生物(Fmoc-DL-Val-OH)的手性拆分
星应用 | 苯丙氨酸衍生物(Fmoc-DL-Phe-OH)的手性拆分
星应用 | 谷氨酸衍生物(Fmoc-DL-Glu(OtBu)-OH)的手性拆分
星应用 | 丙氨酸衍生物(Fmoc-DL-Ala-OH)的手性拆分
星应用 | 精氨酸衍生物(Fmoc-DL-Arg(Pbf)-OH)的手性拆分
星应用 | 亮氨酸衍生物(Fmoc-DL-Leu-OH)的手性拆分
星应用 | 丝氨酸衍生物(Fmoc-DL-Ser(tBu)-OH)的手性拆分
星应用 | 甲硫氨酸衍生物(Fmoc-DL-Met-OH)的手性拆分
星应用 | 赖氨酸衍生物(Fmoc-DL-Lys-(Boc)-OH)的手性拆分
星应用 | 天门冬氨酸衍生物(Fmoc-DL-Asp(OtBu)-OH)的手性拆分
GB 25537—2010 | L-乳酸钠占总乳酸钠的含量的测定
关于我们
广州星谱科技有限公司(Guangzhou Starchrom Technologies Co., Ltd)获得国家高新技术企业认证,是由具有丰富色谱分析方法开发经验的服务团队和纳米材料研发团队组成,我们致力于为最优秀的分析团队提供最优质的产品和最专业的服务,助力中国的药品质量研究、食品安全建设和精准医疗的普及。我们坚守“客户第一,专业敬业,拥抱变化,不断创新”的价值观,不断提升产品力和服务,与中国一线的分析工作者携手前行。

