
比翱科技集团有限公司,科技创新与工业研发领域的行业领先平台与现代工程技术服务商,致力于基础科学和前沿科技的工业转化、创新研制、标准化与产业推进。比翱提倡和引领多孔介质基多物理场设计革新与数智赋能,以工业软件、科学仪器和功能材料为内核驱动,成就材料物理全球工程生态和智能制造时代新质生产力。
传输参数在表征微几何的热粘性行为方面起着关键作用。半现象学模型为建立多孔材料的动态行为与这些传输参数之间的联系提供了有价值的工具。但是,每个模型在可以准确表示的频率范围和材料类型方面都有其局限性。
文献中最常用的半现象学声学模型之一是Johnson-Champoux-Allard-Lafarge(JCAL)模型。JCAL模型的频率效度范围以及通过数值和实验评估所有传输参数的可能性使其成为文献中的主要模型。该模型需要了解六个传输参数,称为孔隙率φ、流阻率σ、热特性长度Λʹ、粘性特征长度Λ、曲折度α∞和静态热渗透率kʹ0,它建立多孔材料的微观几何特征与其在声波作用下的宏观行为之间的联系。JCAL模型适用于所有类型的多孔材料,并且可以使用合适的设备测量所需的传输参数。
随着增材制造的最新进展,现在可以创建具有精确和可调控几何形状的多孔材料。因此,了解微观几何形状和传输参数之间的关系对于设计具有特定声学特性的多孔材料至关重要。
本研究全面概述了表征JCAL模型所涉及的所有传输参数。它综合了用于评估这些参数的各种直接、间接和逆向测量技术。此外,还提出了从材料的代表性基本体积(REV)评估传输参数的计算方法。最后,本研究从现有文献中汇编了传输参数与晶胞微观几何之间的现有相关性。
此项工作的研究创新和贡献包括:
•对控制静态多孔材料中声传播的传输参数进行了全面综述
•收集并研究了各种多孔材料,包括各种材料类型
•综合了最先进的传输参数评估方法
•这些公式适用于声学和传输现象应用的材料设计
多孔材料通常用于不同的声学应用(Allard和Atalla,2009年,Swift,1998年)。声波在充满空气的多孔介质中的传播可以用求解Navier-Stokes方程以及连续性和能量方程来描述。在声学领域,已经开发了不同的模型来描述声音在多孔介质中的传播。



本研究的目的是对传输参数进行综述,特别关注在微观几何形状已知的情况下如何通过数值模拟确定它们,以及如何通过实验测量它们。此外,还报告了文献中发现的各种类型材料的传输参数的相关性。一旦确定了所需的声学特性,这些相关性的知识就代表了一种能够表征多孔材料几何骨架的设计工具。
图文快览
左侧是宏观尺度描述,右侧是周期性多孔介质的微观尺度描述
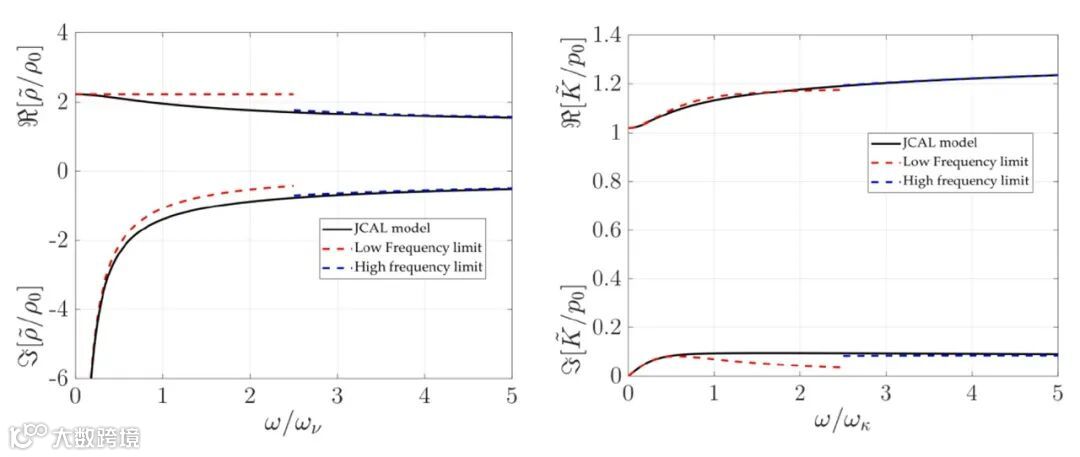
来自JCAL模型的无量纲复密度和复体积模量
文献中传输参数的直接测量设置
不同的孔隙率测量系统:(a)Beranek的系统(Beranek,2005)(b)空气体积比(Leclaire等人,2003年)
流阻测量系统:ISO 9053-1流阻测量设置(ISO - ISO 9053-1:2018、2021)
用于测量流阻的交流法,ISO 9053(ISO - ISO 9053-2:2020、2021)
测量流阻率的声学方法:(a)Dragonetti等人建立(Dragonetti等人,2011年),(b)Ingard和Dear建立(Ingard等人,1985年)
动态渗透率测量系统:Smeulders等人建立(Smeulders et al.1992)
超声设置测量(Fohr et al.n.d.)
用于测量静态热导率的Tarnow声学装置 (Tarnow,1998)
传输参数的数值计算基于三个非耦合稳态问题
无量纲粘性(热)渗透率
此篇综述研究了如何使用实验方法、数值模拟和分析相关性来评估传输参数。这可能有助于研究人员为其特定应用选择合适的微观几何形状。此外,由于增材制造技术允许实现具有精确控制几何形状的多孔材料,因此还提供了设计多孔材料新微观几何形状的关键工具。
原文来源:International Journal of Heat and Fluid Flow,Volume 108, September 2024, 109426;Transport parameters for sound propagation in air saturated motionless porous materials: A review
通过阅读原文了解此项研究成果。

比翱科技集团有限公司(ProBiot Group),是科技创新与工业研发领域的行业领先平台与现代工程技术服务商,致力于基础科学与科研成果的前沿技术研究、知识体系构建、工业转化、创新研制、标准化与产业推进,赋能国家智能制造与民生工程,构建高科技工程与产业生态平台。
比翱科技集团在理论研究、科技创新、正向设计、测量测试、高性能仿真、人工智能、新材料与新技术研究、工程开发与咨询、计量校准、虚拟试验及验证、软硬件及功能材料产业化研制等方面拥有国内外专家工程团队、自研技术、系统创新能力和广泛的国际合作资源,为全球用户提供工业研发专项领域的先进技术、产品、解决方案与工程服务。
比翱科技集团旗下比翱研究院、比翱工程实验室、比翱声学技术有限公司、MetaBiot先进材料中心等功能平台,基于国家在发展智能制造基础能力平台建设的政策指导,针对于“新材料、新声学、新技术”先行研究和全链路工程技术体系建设的实际需求,致力于成为多物理场建模-表征-验证、声振工程设计、虚拟试验与数智化、功能材料与结构创新研制等领域的现代技术服务商和世界级工程生态平台。
联系方式:021-33600060,0512-52802111,NVH@prosynx.com
-
声振超材料表征丨比翱测量与分析系统应用新篇
-
比翱2025用户大会 报告精选丨多孔弹性和阻尼材料表征
-
MetaBiot先进材料中心丨多孔材料诺奖之后:MOF遇上声学与振动控制
-
比翱用户大会报告精选丨多孔弹性和阻尼材料仿真
-
比翱参数解析与测定丨JCAL和Biot声学材料表征
-
比翱研究院丨现代材料声学表征理论与技术
-
比翱研究院丨“材料声学日” Material-Acoustics Day
-
比翱研究院丨MOF多孔材料先驱:开创全新化学领域的诺贝尔奖获得者

