什么是台阶图?
怎样计算过渡态能垒?
如何获得表面活性位点的吸附构型与吸附能?
DFT计算已成顶刊标配,你还不会自己做计算?
华算科技催化计算专题培训,六天三十个专题,朱参谋长带你横扫难点,早发顶刊!

1 讲师介绍
往期学员评价
赵同学:课程评价肯定是满分的,老师的讲授和解答都很不错,自己感觉学到了不少东西,现在还在不断地回看,毕竟才接触这个领域,不会的太多了。利用超算去搞很练习很不错,省去了琢磨安装的烦恼。
杨同学:受益匪浅!老师们都很用心,课程利于实际操作。课程设计很用心,知识面讲的很周到,学习了很多,慢慢吸收中!
刘同学:总体来说,真的不错。课程很紧凑、内容丰富,朱老师的扎实专业使课程有一种很强的带入感;授课老师与服务售后都很认真负责、诚恳友善。
朱同学:挺好的,上课节奏和课程氛围都很不错,大家学的很积极。老师答疑也非常耐心。
2 课程安排
课程具体涉及晶体表面/二维结构/一维结构的结构性质,功函数、d带中心、吸附能、差分电荷密度等电子性质,CO、CO2、CH4、C6H6等分子的吸附与分解过程,HER、OER/ORR、NRR、CO2RR等催化反应的自由能与过渡态计算(课表详见下文)。

3 课程内容
本专题介绍超算平台的连接方法、VASP输入输出文件的内容与意义、Linux操作系统基础命令。这能够让大家了解VASP的运算平台、各个输入参数的功能与输出结果的含义,掌握如何编写输入文件、提交任务、解读输出结果,为后续案例计算打下基础。
使用开源的VESTA与ASE软件构建晶体表面(slab)模型、掺杂与未掺杂二维结构、二维异质结构、一维结构模型。计算结构性质,包括面间距与原子磁矩。这能够让大家熟练掌握模型构建方法与软件操作技巧,为后续计算提供结构模型。
晶体表面静电势、功函数、d带中心计算,掺杂对二维结构功函数影响计算,二维异质结构差分电荷密度、结合能计算,一维结构电荷密度、自旋密度计算。这能够让大家掌握吸附剂与催化剂材料的基本电子性质,为后续反应中吸附位点判断提供参考依据。
NH3、CH4、CH3、CH2、CH、C6H6吸附位点与分子空间构型的筛选与计算,对比掺杂与未掺杂位点的吸附效果,CH4分解为CH3和H的迁移路径与能垒计算,CH3分解为CH2和H的迁移路径与能垒计算,CH2分解为CH和H的迁移路径与能垒计算,CH分解为C和H的迁移路径与能垒计算。这能够让大家理解掺杂与未掺杂位点的吸附效果差别,掌握基于C和H的基团与分子吸附、分解、迁移的计算技巧。
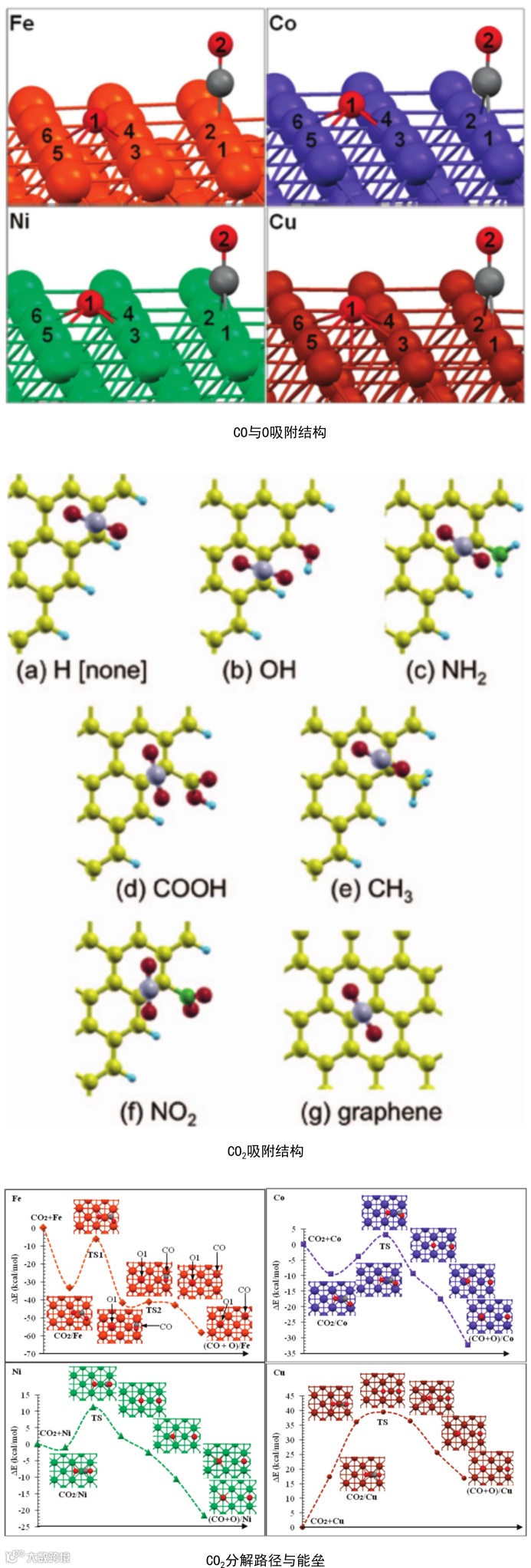
C、O、CO、CO2吸附位点与分子空间构型的筛选与计算,对比边缘与体相位点的吸附效果,CO分解为O和C的迁移路径与能垒计算,CO2分解为CO和O的迁移路径与能垒计算。这能够让大家理解体相与边缘位点的吸附效果差别,掌握基于C和O的基团与分子吸附、分解、迁移的计算技巧。
金属是一类常见的催化剂材料,催化反应发生在表面的某些活性位点上。HER涉及到催化剂对H2O、H、H-OH中间体的吸附以及H2O的分解过程。计算HER中间体的自由能(包括总能、零点振动能、熵)、H2O分解的路径与能垒(包括过渡态与虚频),并绘制HER的台阶图。
负载过渡金属原子的二维材料与金属氧化物是理想的催化剂,OER/ORR涉及中间体OH、O、OOH的吸附。计算中间体的自由能(包括总能、零点振动能、熵)、OOH脱H反应动力学过程,并绘制OER/ORR台阶图。
过渡金属原子掺杂是调控催化剂活性的一种手段,NRR主要涉及4条反应路径(Distal、Alternating、Enzymatic、Consecutive)。计算不同反应路线中间体的自由能(包括总能、零点振动能、熵),绘制NRR台阶图,并判断反应路线发生的可能性。

多位点催化剂较单位点催化剂更容易调控催化性能。CO2RR涉及中间体HCOO、COOH、CO等的吸附。计算中间体的自由能(包括总能、零点振动能、熵)、CO2加氢反应动力学过程、催化剂线性约束关系(通过掺杂实现),并绘制CO2RR台阶图。

4 报名方式
5 缴费方式

