大数跨境
0
0

限域效应 VS 界面效应

限域效应 VS 界面效应 华算科技
2025-11-19
16
导读:做计算,找华算!
【做计算 找华算】超值回馈!华算科技预存立享30%增值,更有¥8500+返利直接送!名额告急,手慢无!

劲爆低价!华算八周年庆DFT计算5折钜惠,自由能、吸附能、态密度、d带中心等均可计算,速抢!

说明:限域效应与界面效应是两种至关重要且相互关联的重要物理化学现象。本文将系统剖析这两种效应的含义机制区别联系,重点探讨它们在催化等领域的协同应用。

一、什么是限域效应?


限域效应是指物质被限制在孔道、夹层、空腔等纳米尺度空间内时,其物理化学性质偏离体相特性的现象。这种纳米尺度空间的约束作用会改变物质的分子排列、电子结构及动力学行为,从而产生独特的性能,如粒子尺寸调控、晶相转变、反应活性提升等。
图1. 碳纳米管内部空腔的限域效应促进二氧化碳转化为甲醇。10.1038/s41467-025-62656-3
限域效应的产生源于空间维度的限制导致的分子运动自由度降低,以及限域空间与被限域物质之间的相互作用。具体可分为量子限域、介电限域、空间限域。






量子限域







量子限域效应是指当材料尺寸减小至纳米尺度(接近或小于电子 / 激子的玻尔半径) 时,电子、空穴等载流子的运动被限制在有限空间内,导致其能量状态从体相的连续能带分裂为离散能级的现象。
量子限域效应的本质是尺寸诱导的电子态量子化,是纳米材料区别于体相材料的核心量子特性之一,主要体现在半导体、金属纳米粒子等体系中。
图2. 量子阱状催化结构示意图,QWCS通过量子限域效应实现了电子的选择性传输,提高了镍的抗电氧化性能。10.1038/s41560-024-01604-9






介电限域







介电限域效应是指当材料处于纳米尺度限域空间时,周围介电环境的介电常数与体相环境存在显著差异,导致材料表面电荷分布、电势状态及离子溶剂化行为改变的现象。
该效应的本质在于介电环境非均匀性诱导的电荷行为调控,核心是限域空间内介电常数的变化对电荷相互作用的影响,常见于限域水体系、纳米粒子 - 载体界面体系中。






空间限域







空间限域效应是指通过构建纳米尺度的物理空间结构,如孔道、层间间隙、笼状空腔,对物质的生长、扩散、排列进行几何约束,从而调控其尺寸、形状、分散性的限域现象,是限域效应中最直观的类型。
图3. 反应性电化学膜(REM)通过空间限域效应强化传质与反应过程,孔径减小一方面压缩扩散层、加速传质,促进DET路径;另一方面因电位分布不均抑制·OH生成。10.1038/s41467-023-42224-3
空间限域效应的原理是空间尺寸匹配性,当限域空间尺寸与被限域物质的粒子生长临界尺寸、分子动力学直径等特征尺寸接近时,空间会对物质的生长 / 扩散产生显著约束,具体表现为:
尺寸约束:限域空间尺寸决定被限域粒子的最大生长尺寸(通常粒子尺寸≈0.6-0.8 倍空间尺寸),抑制粒子团聚;
形状调控:限域空间形状(如管状、球形、层状)诱导粒子生长为对应形状,如管状空间诱导纳米线生长,球形空腔诱导纳米球生长;
扩散限制:限域空间的孔径 / 层间距决定分子扩散速率,孔径越小,扩散系数越低,延长分子与载体的相互作用时间。
图4. a 基于维度的纳米受限空间分类,b 不同盐溶液调控的氧化石墨烯膜层间距对比。10.1007/s10311-021-01355-z

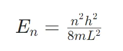
二、限域效应核心原理与公式


限域效应的关键量化公式之一为限域空间内粒子的能级分裂公式:
符号含义:En为粒子在限域空间内的第 n 个能级(n=1,2,3...),h为普朗克常数,m为被限域粒子的质量,L为限域空间的特征尺寸。
物理意义:被限域粒子的能级呈现量子化分布,且能级间隔与限域空间特征尺寸L的平方成反比。当L减小到纳米尺度时,能级分裂现象显著增强,粒子的电子结构与能量状态发生根本性改变,进而导致其光学、电学、催化等性能的调控。
另一关键公式为限域空间内分子扩散系数修正公式:
符号含义:Dconf为限域空间内的分子扩散系数,D0为体相中的扩散系数,Ea为扩散活化能,k为玻尔兹曼常数,T为热力学温度,L0为体相环境特征尺寸,L为限域空间特征尺寸。
物理意义:此公式量化了限域空间尺寸对分子扩散行为的抑制作用,限域空间越小,扩散系数降低越显著,分子在空间内的停留时间延长,从而增强其与限域载体的相互作用

图5. 与增强吸附相关的纳米限域效应。10.1007/s10311-021-01355-z


三、什么是界面效应?


界面效应则是指两种或多种不同物质在界面处因组分、结构与性质的差异而产生的特殊物理化学现象。界面作为不同相的过渡区域,其原子排列电子分布化学键合状态均与体相不同,会引发电荷转移、吸附行为改变、反应路径优化等效应。
界面效应的本质是界面处的不对称相互作用打破了单一相内的均匀性,形成了具有独特性质的界面区域,其影响范围通常局限于界面附近几个原子层厚度的区域。






界面效应核心原理与公式







界面效应的核心是界面处的电荷转移与相互作用,其关键量化公式为界面电荷转移量计算式:
符号含义:Q为界面电荷转移总量,σ为界面电荷面密度,A为界面面积,n为单位面积界面处的电荷载流子浓度,e为电子电荷量。
物理意义:反映了界面处电荷转移的总量,电荷转移量的大小决定了界面电场强度与界面相互作用强度,是界面吸附、催化等性能的核心影响因素。
界面吸附能公式用于描述界面效应对吸附行为的调控:
符号含义:Eads为吸附质在界面的吸附能,Etotal为吸附质-界面体系的总能量,Esurface为界面载体的能量,Eadsorbate为吸附质分子的能量。
物理意义:吸附能负值越大,表明吸附质与界面的相互作用越强,吸附越稳定。界面效应通过改变Esurface的数值,显著调控吸附能大小,进而优化材料的吸附性能。

四、限域效应 VS 界面效应:区别与联系








(一)核心区别







作用空间范围不同:限域效应的作用范围是整个纳米尺度限域空间,被限域物质完全处于约束空间内,性能改变是空间整体约束的结果;界面效应仅发生在不同相的交界处,作用范围局限于界面附近几个原子层,是局部区域的不对称相互作用导致的。
产生机制不同:限域效应源于空间维度的物理约束,通过改变粒子的运动自由度、能级分布及分子排列实现性能调控;界面效应源于不同物质间的化学 / 物理相互作用,如电荷转移、化学键合、范德华力作用等,核心是界面处的能量状态重构。
图6. (a):纳米限域下水分子的特定结构和行为变化;(b):限域水对AOPs反应过程的促进作用;(c):限域水行为机理分析中理论模拟与实验表征的结合。10.1016/j.apcatb.2025.125877
调控参数不同:限域效应的核心调控参数是限域空间的尺寸、形状及空间对称性;界面效应的核心调控参数是界面面积、界面粗糙度、组分间电负性差异及界面化学键类型






(二)内在联系







相互依存与协同作用:在多数纳米复合材料中,限域效应与界面效应往往同时存在并协同作用。例如,限域空间的构建必然伴随新界面的形成,限域效应通过调控粒子尺寸与分散性优化界面接触状态,而界面效应则通过增强粒子与载体的相互作用稳定限域结构,共同提升材料性能。
共同调控材料性能:二者均通过改变物质的电子结构、分子运动行为及相互作用方式实现材料性能的调控,如在催化反应中,限域效应提升反应物浓度与反应选择性,界面效应促进电荷转移与反应中间体吸附,协同加速反应进程
图7. 量子尺寸效应耦合界面限域构筑高密度、氧空位团簇实现高效CO2加氢制甲醇。10.1002/anie.202508091

五、催化领域应用








限域效应







限域效应在催化中的应用核心是通过一维、二维或三维纳米空间对催化剂(如金属纳米粒子、金属氧化物、酶)进行结构调控,同时调控反应物/中间体的传输与吸附行为,主要应用场景包括选择性加氢氧化反应碳碳键偶联甲烷转化等。
例如图8,采用三维有序介孔和大孔二氧化硅(3DOM SiO₂)作为支撑材料,以空间隔离的方式限制Cu物种在孔内分散生长,防止其团聚并降低配位数。
通过原位X射线吸收精细结构(XAFS)光谱分析,证实了这种策略能够稳定超低配位Cu位点,并在广泛的电位范围内保持其结构完整性。
图8. 10.1021/jacs.4c16129






界面效应







在催化领域,界面效应通过金属 - 载体、金属 - 氧化物等相界面的相互作用,从 构建新型活性位点调控电子转移稳定高活性物种三个维度强化催化性能,核心是利用界面处的结构与电子不对称性,创造体相材料不具备的高效催化位点。
如图9a,CO-TPR结果表明Co3O4/ZnO催化剂中Co3O4的CO还原温度明显高于纯相Co3O4,这也表明该催化剂中Co-O键更稳定。
在H2气氛中,H2-TPR和XPS数据(图b-d)均表明Co3O4与ZnO之间的界面作用抑制了Co3O4/ZnO催化剂中Co3O4被彻底还原为金属Co。
图9. 10.1021/jacs.3c02483

总结


总之,限域效应与界面效应是调控材料催化、吸附等性能的核心机制。限域效应依托纳米空间约束,可稳定活性中心调控电子态实现形状选择性,显著提升催化剂稳定性与反应选择性;
界面效应则借相界面相互作用,构建新型边界位点诱发金属-载体强相互作用,优化催化动力学与活性物种稳定性,限域为界面提供精准载体,界面强化限域调控效果,二者常协同提高材料性能。
#限域效应 #界面效应 #材料科学 #纳米材料#表征技术 #理论计算#吸附催化 #能源存储#界面工程 #限域合成#华算科技
【做计算 找华算】
🏅 华算科技提供专业的第一性原理、分子动力学、生物模拟、量子化学、机器学习、有限元仿真等代算服务。
🎯500+博士团队护航,累计助力5️⃣0️⃣0️⃣0️⃣0️⃣➕篇科研成果,计算数据已发表在Nature & Science正刊及大子刊、JACS、Angew、PNAS、AM系列等国际顶刊。 👏👏👏
👉 点击阅读原文,立即下单

【声明】内容源于网络
0
0
华算科技
1234
内容 2415
粉丝 0
华算科技 1234
总阅读10.1k
粉丝0
内容2.4k