广州市工业和信息化局关于2025年省级促进小微工业企业上规模发展奖补资金项目安排计划的公示
根据《广东省工业和信息化厅 广东省财政厅关于2025-2027年省级民营经济及中小微企业发展专项资金方案的通知》(粤工信融资函〔2025〕7号)和《广东省工业和信息化厅关于组织实施2025年促进小微工业企业上规模发展专项资金的函》(粤工信融资函〔2025〕20号)要求,我局会同各区政府开展了2025年省级促进小微工业企业上规模发展专项资金项目的申报、审核、推荐等工作。经省工业和信息化厅审定,我市共有970家企业获得2025年省级促进小微工业企业上规模发展奖补资金奖励,其中2024年新升规企业654家,2023升规后2024年工业增加值增长超过10%企业307家,2023年首次升规后2024年成为专精特新中小企业的企业24家(含15家2023年新升规后2024年工业增加值仍保持10%以上增长企业)(详见附件)。现将项目安排计划予以公示。公示时间为2025年11月14日至2025年11月20日(工作日9:00-12:00,14:00-18:00)。
对公示内容如有异议,请在公示期内以书面形式反映(地址:广州市越秀区东风中路268号广州交易广场26楼广州市民营经济和中小企业局创业创新服务处,邮编:510032,联系电话:83726612)。以个人名义反映情况的,请提供真实姓名、联系方式和反映事项书面证明材料等;以单位名义反映情况的,请提供真实单位名称(加盖公章)、联系人、联系方式和反映事项书面证明材料等。
广州市工业和信息化局
2025年11月14日
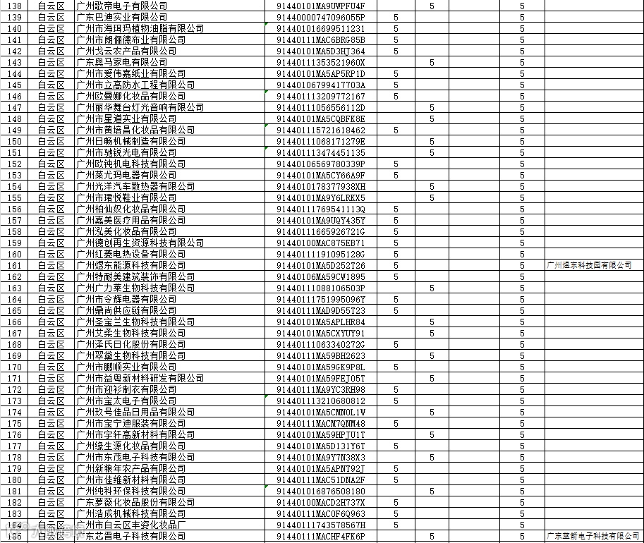
附件:2025年促进小微工业企业上规模发展奖补资金项目拟安排计划
......
点击进入下方小程序可快速查企业立项结果
也可查看全省科技信息资讯
随时随地 方便快捷
小程序查询:迈勤政能源
广东省科技创新服务平台
只做政策咨询的标杆平台
更多的资金扶持机会,是留给有准备的您,如果您想拥有这个机会,请及时做好准备。平台将会一如既往为您服务!我们能迅速帮您评估项目、规划项目,成为您最放心的项目管家!
辅导热线:13928924880(微信同步)
(请添加微信时注明姓名,所在单位)
------《迈勤咨询机构》
戳下面的
原文阅读,查看详情附件!

