大数跨境
0
0

清华大学,最新Science!

清华大学,最新Science! 高分子科学前沿
2025-10-31
7
导读:烯烃作为重要的化工原料,传统上通过合成气(syngas)经甲醇中间体路线制备。
烯烃作为重要的化工原料,传统上通过合成气(syngas)经甲醇中间体路线制备。然而,该过程存在氢原子经济性低的问题,主要原因是反应过程中生成大量水副产物,且需使用高H/CO比的原料。这不仅提高了生产成本,也带来了环境负担,制约了合成气直接制烯烃技术的发展。
今日,清华大学伟中教授崔超婕助理研究员开发了一种钠修饰的 FeC x @ Fe 3 O 4 核壳催化剂,通过耦合水煤气变换反应与合成气制烯烃反应,实现了在低H/CO比条件下高效转化合成气为烯烃。在623 K、2 MPa条件下,该催化剂实现了约95%的CO转化率>75%的烯烃选择性,以及33 wt%的烃类产率氢原子经济性高达66%至86%,远高于传统甲醇制烯烃路线。该技术显著降低了蒸汽消耗、废水产生和CO排放,为烯烃工业的绿色转型提供了新路径。相关研究成果以题为“Conversion of syngas into olefins with high hydrogen atom economy发表在最新一期《science》上。
催化剂结构与性能
催化剂前体为平均粒径7.6 nm的 Na-ZnFe 2 O 4 尖晶石纳米颗粒。在反应过程中,逐渐演化为Na掺杂的ZnO FeC x @多孔 Fe 3 O 4 核壳结构(图1A–F)。 FeC x 核由 Fe 5 C 2 Fe 3 C相组成,具有良好的STO催化活性。钠元素不仅分布于表面,也存在于内核,显著提升了烯烃选择性。
在不同H/CO比条件下,催化剂表现出优异的性能(图1G)。当H/CO=1时,CO转化率为66%,而在H/CO=1.25~3范围内,转化率提升至90%~96%。烃类选择性保持在较高水平,且CO与HO的选择性呈互补关系。HAE最高达88.4%(H/CO=1),远高于MTO路线的理论上限50%(图1H)。产物中 C 2 C 6 烯烃占主导,烯烃/烷烃比高达6~12(图1I)。长期稳定性测试表明,催化剂在500小时内性能稳定(图1J)。
图 1. Na/FeCx@Fe3O催化剂,具有高 HAE 和烯烃收率
WGS与STO反应的耦合机制
为了深入探究高性能背后的机理,研究团队设计了一系列精巧的实验来验证WGS与STO反应是否真正在催化剂上实现了耦合。首先,催化剂本身在623 K和2 MPa的条件下就表现出良好的WGS反应活性(图2A)。变温实验(图2B)和加压下的瞬态质谱分析(图2C)表明,升高压力和温度能够同时激活WGS和STO两个过程,并且CO的质谱信号峰出现时间早于烃类产物,这为“WGS反应原位为STO反应提供H的设想提供了初步证据。通过同位素示踪(DO)实验,检测到CD3H与CH3D信号,证实水中的氢被纳入烃类产物(图2D)。阻断WGS路径(如添加MgCl)后,CO转化率从96%降至约40%,CO选择性从29.3%降至3.5%(图2E),说明CO主要来自WGS反应。出口H/CO比从2升至7,进一步验证了WGS-STO耦合效应(图2F)。催化剂结构模型显示, FeC x 核与 Fe 3 O 4 壳协同作用,实现了WGS与STO的高效耦合(图2G–H)。
图 2. WGS 和 STO 在 Na/FeCx@Fe3O催化剂中的偶联
WGS贡献的定量分析与高HAE的理论基础
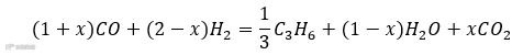
通过建立理论模型,推导出总反应方程为:
所需H/CO比为 (2-x) / (1+x) ,始终低于2。随着WGS贡献比例 x 的增加,所需H/CO比降低,HAE提升(图3A–D)。基于实验数据(图3E–F),可以直接计算出 x 值。因为CO的摩尔分数(约24%至43%)等于 x / (1+x) 。计算得出,在H/CO比为1时,该催化剂的 x 值(WGS贡献)高达约74%;而当H/CO比升至3时, x 值降至约34%。这一量化分析不仅清晰地揭示了WGS反应在不同条件下的贡献程度,为催化剂的理性设计提供了明确指导,也开辟了一条与以往多数研究(旨在抑制催化剂WGS活性)截然不同的新思路:即主动、经济地利用WGS反应来推动高效的STO过程。
图 3. 量化 WGS 在合成气转化中的贡献
工业过程分析与环境效益评估
基于坚实的实验和理论基础,研究团队对WGS-STO耦合路线进行了系统的工业过程分析,并将其与已商业化的WGS-甲醇合成-MTO路线进行对标比较(图4A-B)。分析结果表明,得益于固有的高HAE特性,WGS-STO耦合路线能够在H/CO比低于2的条件下高效生产烯烃。虽然在单独的STO工段其CO排放可能较高,但在集成化的WGS-STO流程中,由于使用了低H/CO比的原料,其总的CO排放量得到了有效降低(图4C)。同时,该集成流程也显著减少了WGS工段的蒸汽输入量和STO工段的废水量(图4D)。
为了更全面地衡量过程的绿色程度,研究引入了环境因子(E-factor)和完全环境因子(cE-factor)作为评估指标。E-factor定义为生产单位质量产品所产生的废物(不包括水)质量;cE-factor则进一步将废水也计入废物。分析显示(图4E),WGS-STO路线的E-factor随着原料H/CO比的升高而增加,表明原子经济性下降。然而,由于其远高于传统路线的高HAE,WGS-STO路线的cE-factor与WGS-MTO路线相比,大幅降低了46%(图4F)。这一数据凸显了该技术在节约水资源、降低CO排放和提高原子经济性方面的巨大综合优势,为实现烯烃生产的可持续发展奠定了坚实的技术基础。
图 4. 环境因子分析及与 MTO 技术的比较
【总结】
本文成功开发了一种具有核壳结构的Na/FeCx@Fe3O4催化剂,通过耦合WGS与STO反应,在低H/CO比条件下实现了高CO转化率高烯烃选择性与高氢原子经济性。该技术不仅提升了资源利用效率,还显著降低了环境负荷,为合成气制烯烃的工业化提供了一条绿色、可持续的新路径,对实现碳中和目标具有重要意义。

【声明】内容源于网络
0
0
高分子科学前沿
1234
内容 20490
粉丝 0
高分子科学前沿 1234
总阅读51.8k
粉丝0
内容20.5k