“ 库存是“万恶之源”吗?“等米下锅”、停工待料的人们肯定不会这么想;囤积货物、待价而沽的人们肯定也不会这么想;需要用库存实现淡旺季产品平衡和实施战略库存的人们,当然更不会这样想了。库存有它存在的道理,你恨它也好,爱它也罢,看得见或看不见,它就在那里。”
01
—
库存管理基础
1.库存管理的目标及平衡
1)尽量保持低水平库存投入
站在部门绩效指标的角度上看,如果绩效衡量标准是最小化整体库存成本或者最小化物料的单位成本,那么财务和采购团队都有动力去获取低库存水平。然而盲目地追求低库存水平,可能会导致物料齐套率变低,反而会增加整体的库存成本。站在管理策略的角度上看,有的企业为了减少库存,接了客户订单后再进行原材料的采购,而为了快速响应客户需求,同时维持本企业的低库存水平,企业要求供应商保持高库存水平,以达成快速交货的目的。这样看上去企业的财务状况良好,然而站在供应链总库存的角度来看,由于需求信息传递的低效和失真,这样做的总库存水平其实变高了,而且并不是所有供应商都愿意配合备库,这也会导致物料采购成本的增加。
所以我们应该站在整体供应链的角度去看待库存,企业应致力于减少整体供应链的总库存投入,避免类似库存成本的转嫁,通过合理的备库策略,设定一个库存投入的合理范围。
2)满足客户需求
高库存水平并不代表高客户服务水平,一味地备货并不能满足客户的所有需求。然而我们也不能走极端,不备任何库存,这样就违背了库存持有的初衷:及时满足客户的需求。我们应通过分类管理制订不同的库存计划,以尽量低的库存成本去最大化地满足客户的需求。
3)确保生产效率最大化
合理的库存水平可以确保高物料齐套率,避免缺料等,保证产线产出不受到影响。我们可以通过如下两类方式,利用库存来最大化地提高生产效率。
第一,建立和管理战略性的分离点库存缓冲区来增强流动性。举个例子,在某运动鞋厂,有两名工人分别负责进行鞋子裁剪和鞋子缝合,如果只进行少量生产,极端一些,次只做一双鞋子,那么缝合的工人就必须等裁剪的工人完工才能开始工作,但是如果有足够的存货,两人的工作就相对独立了,这部分库存就可以将生产步骤划分开,从而提高生产效率。
3)确保生产效率最大化
合理的库存水平可以确保高物料齐套率,避免缺料等,保证产线产出不受到影响。我们可以通过如下两类方式,利用库存来最大化地提高生产效率。
第一,建立和管理战略性的分离点库存缓冲区来增强流动性。举个例子,在某运动鞋厂,有两名工人分别负责进行鞋子裁剪和鞋子缝合,如果只进行少量生产,极端一些,一次只做一双鞋子,那么缝合的工人就必须等裁剪的工人完工才能开始工作,但是如果有足够的存货,两人的工作就相对独立了,这部分库存就可以将生产步骤划分开,从而提高生产效率。
第二,设置一定的库存,以便实现平衡生产。我们前面供应链-供应能力计划与管理(6)提到了生产策略一般会被分为平衡策略、追随策略和复合策略。平衡策略依靠需求预测来设立库存,同
时也需考虑建立额外的安全库存来避免预测误差,防止由于低估需求导致的低客户服务水平。备库可以减少产线人员的管理成本和产能的浪费,提高生产效率。
4)如何设定库存目标
企业战略会指导和影响供应链战略,因此平衡库存目标需要根据企业战略来设置优先级,比如有些企业会优先考虑客户服务水平,所以在成本和收入两方面会更侧重于收入;有些企业则优先考虑成本,无论采用哪种策略,只要收益高于成本,该策略对他们来说就是好策略。通过对效益和成本的评估,综合评估库存目标对客户服务水平、生产效率、总成本的影响,来选择企业各个部门达成共识的方案,就是最好的库存平衡方法。
2.与直接物料和产品相关的库存种类
在努力达成库存管理目标的时候,组织需要识别不同的库存种类,有针对性地管理和优化,以实现客户服务水平和生产效率的提高。库存主要分为以下种类。
原材料:生产某种产品的基本原料,通过制造过程转化为产品。
●在制品:各个阶段的材料,包括从原材料到成品的所有材料,等待最终检验和验收为成品。
●产成品:已经通过所有制造步骤,可供客户使用的产品。
●MRO(Maintenance,Repair and Operation,维护、维修和运行)库存:是指在实际的生产过程中,不直接构成产品,只在制造过程和设备维护与维修操作过程中使用的物料、备件和消耗品。
·分销渠道库存:位于分销系统中的库存,通常是产成品和服务零件。
3.库存成本
库存管理之所以对企业如此重要,一个重要原因是库存具有成本。库存成本通常包含持有成本、订货成本和缺货成本。如何在三者之间权衡,一直是库存管理者面临的挑战。
1)持有成本
企业想拥有库存,就要付出代价。持有成本包括资金成本、仓储成本、保险、损耗、贬值和税金(如 2011年7月,美国有 14个州收取库存税)等。首先,库存占用公司的资金,而资金是有相应占用成本的。资金占用成本=库存占用资金相关收益率。如何确定相关收益率?可以考虑两种场景:第一,公司资金有限,相关收益率为库存占用资金用于其他用途时的最小收益率;第二,公司资金充裕,相关收益率为库存占用资金用于某方面的收益率。比如,当库存占用资金为100万元,相关收益率是5%时,那么,资金成本就是100万元x5%=5万元。其次,另一个较为重要的持有成本是仓储成本。仓储成本主要包含两部分内容:一部分是场地费,即仓库租金,通过租赁面积乘以租金单价得到;另一部分就是仓储运营投入的设备、系统、人员等,折合成操作费用,按件/票计费。最后,存货损耗成本也是持有成本不可忽视的一环。美国零售业对损耗(Shrinkage)的定义是企业各项存货发生的正常损耗。国内大部分零售企业则把不明原因的库存短缺和报损商品金额合在一起作为损耗,这种观点认为损耗是未对销售产生贡献的商品金额,强调了损耗对利润的影响。不是所有商品都需要计算损耗,例如生鲜类商品(肉类、海鲜、熟食、果蔬、面包等)很难做到单品管理,所以定期计算部门的毛利率是评估其运作效果的最好方法之一,只有非生鲜类商品的自有库存部分,才需要通过盘点确定其损耗和损耗率。根据库存不同的计价方法,损耗金额的计算方法有零售价法(Retail)和成本价法(Cost)两种零售价法:损耗金额=实际盘点库存-账面库存。其中,实际盘点库存为年终盘点时所有商品的零售价乘以库存数量的总和;账面库存=期初库存+收货金额-销售额-∑降价金额(Markdown);降价金额=(原售价-新售价)x商品现货数量。
成本价法:损耗金额=实际盘点库存-账面库存。其中,实际盘点库存为年终盘点时所有商品的成本价乘以库存数量的总和,账面库存=期初库存+收货成本-销售额成本;损耗率=损耗金额 :盘点商品的销售额x100%。其他持有成本的介绍,可以查看本套丛书的其他模块。
2)订货成本
因为订货,在提前期内发生的所有为获取库存而产生的费用,称为订货成本订货成本分为固定成本和变动成本两种。前者指在一定范围内,不论订货多少,都会产生的固定费用,如设施成本、计算机系统的维护费用和运费等。后者往往指订单处理成本、生产准备成本和运费等。某项成本是固定的还是变动的视具体情况而定。例如,每次订货量远小于一个运输工具容量时,那么在运力范围内,每次订货的运费即为固定成本。但如果采用零担运输,运费随订货量近似线性变化,则会被视为变动成本。
假设,某企业目前有 10名采购员,年工资总额是 100万元;办公面积是 10平方米,一年租金等其他固定成本是5万元。假定,采购部的工作负荷有 30%来自订货工作,订货工作分摊的总固定成本是(100万元+5万元)x30%=31.5万元;采购部全年一共发送 12,000 张采购订单,每张采购订单分摊到的固定成本是 315,000-12,000=26.25 元。其中,某一物料的年需求是6,000个,每次进货量是1,000个。该物料订货的变动成本是90元,那么该物料的单次订货成本为:26.25+90=116.25元;同理,该物料全年订货成本:
4.库存价值
库存管理除了指管理各个品种物料的数量之外,还指管理库存的价值。这对企业的财务表现和与库存相关的分析和决策至关重要。对于同样的库存数量使用不同的库存估价方法,其库存价值就不同。常见的库存估价方法如下。
1)先进先出法
库存估价法:期间出货被视为第一批购进的库存,余货库存被视为后购进的库存,那么对库存余额的估价为 800元。
库存价值估价法
2)后进先出法
同样以表 7-1为例,期间出货被视为后购进的那批库存,余货库存被视为先购进的那批库存,那么库存余额的估价为 1,000 元。
3)标准成本法
依然以表假设在上年年末或本年年初,企业设定的该物料的标准成本为9.5 元,那么库存余额的估价为 950元。这里,每次进货的实际价格可能会与标准成本存在差异。在财务上,该差异称为采购(或材料)价格差异,并作为材料科目的调整科目。当实际进货成本大于标准成本时,称为超支差异(Unfavored);反之,称为节约差异(Favored)。
标准成本通常是企业的财务部门根据近期的历史数据及对未来(如未来一年)的预算测算出来的,成为管理者们在未来一定期间的业务管理依据。在实际情况中,财务部门在测算标准成本时,要有供应链部门的参与,以评估引用的进货成本、持有成本、制造成本和内部的其他成本等是否恰当。
4)平均成本法
采用该方法进行库存估价时,要计算一定期间内单个进货成本的一次移动平均值(简单移动平均值或加权移动平均值)。以为例,如计算简单移动平均值,则库存的估价为 900 元。
5)移动平均法
这是指每次发生库存变动(进货或出货)时,重新计算库存价值的估价方法。每次计算时,采用当期进货总成本除以当时的库存数量,从而得出单位库存价值。以表7-1为例,假设期初库存为0个,那么,第一次进货后,单位库存价值为10元;第二次进货后,单位库存价值为9元(1,800-200);而出货100个(假设成本价记为9元)之后单位库存价值为9元(900-100)。移动平均法一般仅在期末核算,在此期间内库存发生变动时不核算。
移动平均法更适合在永续盘存体系中采用,而不适合定期盘存体系。
5.库存价值的一般衰减特性
通常,过量库存、过时(期)库存和报废等情况的发生,会导致库存价值衰减,下面是对库存价值的一般衰减特性的解释。
●运营库存:为满足客户订单而持有的库存;运营过程中不断消耗,未用完的运营库存则变为过量库存。
过量库存和慢周转库存:备库数量超出正常生产需求的库存,储存时间越长,成本越高;随着时间的推移,如果过量库存没有被使用和消耗,并且未来只有少量的消耗需求,它就会转为慢周转库存。
●过时库存:部分物料由于内外因素的综合影响,存储时长超过保质期后,其会失去原有的优良性能,最终丧失使用价值。
●报废:不符合图纸规格要求,且不具备返工条件的物料。
6.库存管理策略和控制
库存管理切忌一刀切,我们需要通过一些科学的物料分类方式,对不同的物料制定不同的管理策略。
1)使用 ABC/XYZ 分类方法对库存物料进行分类
如果出现新物料,我们可以用预测的需求量进行 ABC/XYZ定义,并根据实际消耗进行纠偏。如果产品生命周期较短,可统计所消耗物料在过去一个季度以周为单位的实际消耗数量;如果产品生命周期较长,可统计所消耗物料在过去一年以月为单位的实际消耗数量;我们也可以用滚动的数据,每周或者每个月更新物料的 ABC/XYZ属性。
使用 ABC 分类方法的步骤如下。
●物料的资料统计:用每一种物料上一年的使用量乘以单价,得出消耗金额。
按消耗金额大小顺序进行排列,并计算每种物料消耗金额占物料总金额的百分比。
·按消耗金额大小顺序计算每种物料消耗金额的累计百分比。
根据累计百分比绘制 ABC 分类表。物料消耗金额累加后占总金额 80%的品类为 A类,累加后占总金额 15% 的品类为 B类,累加后占总金额 5% 的品类为 C类。●对 A、B、C这3类不同物料结合 XYZ分类方法,进行相应的分类管理。使用 XYZ 分类方法的步骤如下。
●统计物料过去一年以月为单位,或者过去一个季度以周为单位的实际消耗数量。●计算各物料的每月或每周平均消耗数量(在 Excel中可用 AVERAGE 函数计算)。●根据物料的消耗数量,计算出该物料的标准差(在Excel中可用STDEV函数计算)
●用标准差除以平均值,计算出该物料的波动系数(CoefficientofVariation,COV)。根据波动系数设定不同的波动区间。在这里,我们可以参考一些企业的实际情况来确定波动区间。比如,我们可以设置:波动系数小于0.5,为X;波动系数为0.5~1,为Y;波动系数大于1,为2(波动区间可以通过计算所有物料的波动系数的平均值和进行内部沟通来设定)。
根据不同物料的 ABC/XYZ分类,采取不同的库存管理策略
示例,不可套用
针对 AX/AY/BX/BY 这类消耗金额高、需求相对稳定的物料,除了上述建议,管理者在物料的采购管理中,还可以尝试供应商管理库存(Vendor Managed Inventory,VMI)或者准时制生产(Just In Time,JIT)等供货方式,但必须慎重考虑。ABC/XYZ分类方法主要基于物料的特点使用,VMI和 JIT的采用还要考虑供应商距离、供应商能力、潜在的单一供应源倾向、物料的尺寸/重量等多个因素。管理者在使用 XYZ 分类方法分析物料需求稳定性时,还要注意数据分析的时间维度,例如,月需求相对稳定的物料,其周需求或日需求可能是剧烈波动的。目前,国内一些装备制造企业一窝蜂地、不假思索地采用 VMI或 JIT,给自身带来了不少物料供应问题。因此,企业要根据具体情况,如产品需求特点、供应市场分析(供应商的能力、节拍),进行针对性的补货方法和安全库存设置方法的选择。
3)库存控制思路和方法
库存控制思路和方法主要有5个方面。
●确定库存目标:一般可将库存周转率或者库存周转天数设定为库存目标,及时识别当前的库存水平是否超出既定的库存目标范围。
●执行与控制:数字化库存管控(DigitalInventory Management,DIM),即库存目视化管理,便于企业发现库存问题并及时整改。一般 DIM 可将前文提到的库存目标作为目视化管理的内容。
●确保库存相关数据的完整性:确保物料清单准确;计划参数定期核查和正确维护:确保库存信息准确度,账实相符。
供应商协作:优化供应周期:减少起订量;选择恰当的补货方式;库存信息共享及时控制呆滞库存出现的风险。
尽量考虑物料通用标准设计:比如,公司设计产品时,若该项目物料都是非标准品,则需要考虑是否可以使用标准品取代,是否可以使用库存中的相似品替代等,以达成库存控制和优化。
02
—
库存计划模型
库存管理涉及众多的管理方法。不论管理哪种或哪个环节的库存,管理者事先都需要确定采用哪种库存计划模型,或称库存补货模型。基础的库存补货模型有3种:连续补货模型、定期补货模型和最小-最大补货模型。
1.连续补货模型
连续补货模型是学术名,我们习惯称之为再订货点补货模型。连续补货模型需要管理者时刻关注库存的变动,一旦库存量下降到事先设定的再订货点(ReorderPoint,ROP),则立即触发订货行为。
连续补货模型
ROP=LTxD+SS
公式中,LT为前置期,D为前置期内单位时间的平均需求量,SS为安全库存。需求量D 建议采用未来的需求量,而LTxD意味着未来一段前置期的总需求量。理想情况下,如果需求和供应都是稳定的,就不需要设置安全库存SS 了。但遗憾的是,多数情况下,管理者不可能事先 100%地确定需求量,供应方不论在时间上还是在数量上,也不能 100%地稳定供应。这样,就有必要设置安全库存,来保护库存的服务水平不受供应链不确定性的影响。
基于天数的再订货点,在计算再订货点时,可采用数量单位或时间单位。在实际情况中,有的管理者习惯在公式的两边分别除以需求量D,则再订货点按天数计算的公式:
其中,SS/D为安全(库存)天数。特别是在利用诸如SAP这样的ERP系统管理库存时,采用此做法能减少管理者在系统中不断修改参数的次数。
选择连续补货模型时,订货批量 Q可采用任意一种订货批量法则,参见本章第3节。这时,平均库存为:Q/2+SS。最基本的连续补货模型是假设补货瞬间到达。而实际上,补货也可以非瞬间而持续到达,这样的模型就更为复杂了。
经常使用 SAP系统的计划人员有时容易混淆再订货点和安全库存这两个概念,误以为两者相同。SAP 系统等不少的系统手册中,常常判断做出补货行为所参照的公式如下:
I-LTxD ≤ SS
即当前库存减去一个前置期的需求量后,如果小于等于设定的安全库存,则触发订货行为。正因为这样的定义,不少人误认为安全库存就是再订货点。这种观点是不正确的。采用以上公式,其实是为了展望库存在未来一个前置期的消耗情况,即LT时间后的库存情况。如果那时,库存消耗到小于等于安全库存就应该立即订货了。因此,以上判断做出补货行为的公式与传统的再订货点方式并不矛盾,只是观察角度不同罢了。
除了上述模型之外,不少公司还会用到双料箱系统(Two-Bins System)。双料箱系统亦称复仓法、双箱系统、两箱系统、双箱存货系统。双料箱系统的本质是再订货点是使用两个料箱装运库存物料的一种定量订货系统。双料箱系统的定义是,当把第一个料箱中的物料用光时,即发出补充物料的要求;在物料补充提前期内,则使用第二个料箱中的物料,其中的物料数量为提前期内的需求量加安全库存;在接到物料之后,则把第二料箱重新装满,剩余的部分放进第一个料箱;从此时起,又使用第一个料箱中的物料,直到用光为止。三料箱系统(Three-BinsSystem)的逻辑与双料箱系统类似,只是在双料箱的基础上加了一个料箱。
再订货点补货模型的优势如下。
简单的进程易于理解和建立。
●可控制最大库存。
拉动物料而不是由物料推动。
再订货点补货模型的劣势如下。
●不能很好地应对预测需求的变化。
需要线下计算在多个末端项目使用的物料的再订货点。
要求对系统库存有足够的信任。
2.定期补货模型
在使用系统管理库存之前,不少的库存管理者认为使用连续补货模型需要时刻监控库存的变化,因而产生了额外工作量。再者,连续补货模型的补货点可出现在任意时间,从而可能造成供应方安排物流或调整生产计划方面的麻烦,因而定期补货模型或固定订单间隔模型应运而生。定期补货模型需要管理者事先设定好固定的补货时间,如每周二、每两周的周一或每月月初等,一旦到达补货时间,管理者则根据事先设定的供应渠道及最大库存目标,按照下面的公式计算补货量并补货。
S=Dx(LT+T)+SS
Q=S-I
上述两个公式中:S--最大库存目标;D--单位时间需求量;LT--前置期;T--订货的间隔时间;Q--订货量;SS--安全库存;--当时的库存量,应该包括订货时刻的在库库存、在途库存和供应方的未完成订单,缺一不可。同样,定期补货模型在使用时,也可采用最大库存目标天数的方法,而使用下面的公式:
其中:S/D--最大库存天数;SS/D--安全(库存)天数。
总体来说,在基本条件相同的情况下,采用连续补货模型可将库存水平控制得更低,而定期补货模型操作起来更容易。对于后者,补货时间的间隔期越短,则库存水平越低。管理者可根据不同品类的重要性和对库存水平的影响,制定不同品类的库存补货的间隔期。有研究表明,不同品类补货的间隔期最好保持为 2n 这样的规律,从而在一个订货时点有机会对更多的品类进行补充,也使得供应方能在一个时点同时收到不同品类的补货订单。
定期补货模型的平均补货量,实际上是一个补货间隔期的需求量,即Q=TxD。而此时的平均库存为Q÷2+SS=(TxD)/2+SS。例如,某个品类的前置期LT为12周,补货间隔期T为4周,安全库存SS为2周。那么,最大库存目标天数为:12周+4周+2 周 =18周。这并不是指组织内的最大库存目标天数为 18周,而是指在整个供应渠道中的最大库存目标天数为 18周。而每次的补货量,也会由于包括了在库库存、在途库存和未完成订单,根据公式 Q=S-1的扣减,约为补货间隔期为4周时的需求量,而平均库存大致为 4周。
3.最小-最大补货模型
随着传统的连续补货模型和定期补货模型的发展,管理者又结合两种模型各自的特点,得到了一种新的模型,称为最小-最大补货模型(Min-Max)。该模型通常视为连续补货,即管理者需要随时检查库存的变化,一旦库存降到事先设定的再订货点(Min 即为ROP),则触发一次补货,补货量为最大库存目标(Max即为S)减去当时的库存。不少供应链管理者倾向对那些关键的物资采用最小-最大补货模型来进行库存控制。除此之外,有些管理者在最小-最大补货模型的基础上,又添加了一个补货间隔期,即每隔一个时间 T,检查一下库存水平,如果库存水平下降到小于或等于事先设定的再订货点(即 Min),则触发一次补货行为;否则等待下一个间隔期。
4.离散随机需求下的库存订货模型
慢速流动的物资,通常指零售环节的多数C类产品、工厂设备的维修部件和家电、仪器等的售后服务环节的维修部件等。这类物资的需求经常不是连续的,而是离散出现的并且每次出现的时间间隔也是随机的,如下所示:
010000020010
这类物资的需求预测和库存管理都是极其困难的。一些管理者逐渐习惯引入代表需求离散分布的数学模型,如二项式分布或泊松分布,来管理这类物资的库存。
例如,某计算机公司的售后维修服务部门要针对维修备件库存进行管理,根据一段时期的数据统计得知,平均每销售 1,000 台计算机会有2台的内存条存在质量问题,这样售后服务部门要进行内存条的替换。假设在某段时间内,公司在市场销售了8,000台该款计算机,试计算这批计算机都不存在内存条质量问题的概率。根据泊松分布的概率密度公式:
内存条的平均需求μ=0.2%x8,000=16(个)。不存在内存条故障的概率,即x=0时,f(0)=e-16=1.13x10-?,因此 8,000 台计算机中没有内存条质量问题几乎是不可能的。那么售后服务部应该准备多少内存条呢?在工作中,我们可以利用 Excel里的泊松函数“=POISSON(x,μ,参数)”进行计算,其中,参数为 False 时,代表概率密度;参数为 True 时,代表概率累积,而在进行库存管理时,我们常使用的是概率累积。管理这类物资时,可如表7-4所示,列出连续的概率累积,然后,根据事先设定的服务水平(或命中率),在概率累积列中查看大于设定的服务水平所对应的故障数(需求)。如设定的服务水平为 80%,则查表7-4可以发现在倒数第三行,概率累积大于 80%,该行左侧所对应的故障数为19,即需要储备19个内存条;如果服务水平设定为 90%,同样可以查到最后一行的概率累积大于90%,该行所对应的故障数为 21,即需要储备 21个内存条。
概率积累
03
—
库存订货批量
1.经济订货批量(EOQ)
1)基本经济订货模型
早在 1913年,由福特·哈里斯(Ford W.Harris)2开发,并由威尔逊(R.H.Wilson)3最终完善的经济订货批量模型,在当时就很好地取得了前面所述的平衡。库存管理的核心就是平衡成本与服务水平,其中包括持有成本与订货成本的平衡(如 EOQ),也包括持有成本与缺货成本(服务水平)的平衡。平衡就是结合业务场景,找到合适的库存策略和补货方法。最容易理解也最普遍的一种平衡做法,就是从总成本最优角度找合适的方法。当然,总成本的界定则是对管理者的另一项挑战。上节介绍的报童模型也是平衡持有成本与缺货成本的方法。
经济订货批量
持有成本随着订货批量的增加而增加,订货成本随着订货批量的增加而减少。总成本曲线的最低点所对应的订货批量即为经济订货批量(EOQ)。降低EOQ,就是降低订货成本,而通过精益管理等方式,运用快速换模(Single MinuteExchange of Die,SMED),可以达成降低 EOQ的目的。
EOQ 的计算公式如下:
其中,D为期间内的需求量,C。为单次订货成本,C。为单位货物的持有成本。在计算中,一定要保证需求量D和单位货物的持有成本C,的时间和货量的单位一致。然而,一百多年前定义 EOQ模型时,有些假设条件放在如今激烈竞争的年代就不太妥当了,因此在实际工作中,即使计算出来 EOQ并依照它去订货,也不能保证期间内库存成本是最低的。
2)经济生产批量
即便 EOQ模型因其假设条件的局限性,在当今的实际工作中的应用不再广泛,但其蕴含思想一直影响着管理者们。很多时候,我们可以借鉴 EOQ的这种权衡思想。例如,在管理工厂的成品库存时,如果某产品的月需求量为 10,000箱,库存计划人员需要决定如何制订生产计划和批量。从传统的生产者角度来看,他们当然希望一批就把这10,000箱生产出来,因为这样仅做一次生产准备;而从传统的库存管理者角度来看,他们又希望尽可能地小批量、多批次地生产,从而获得较低的平均库存。如何在这两个方面权衡呢?此时,我们可以借鉴 EOQ 的概念,把生产的准备成本视为单次订货成本。生产准备成本可以由生产主管和成本会计测算得出,通常包括生产准备过程中的机时损失、工时损失和过程中的废料成本。需求量即为月需求量 10.000箱,通过 EOQ 的计算公式就能近似得到生产的最佳批量。这样就权衡了生产成本和库存持有成本。考虑到生产换模、生产准备需要时间,一次生产多少最划算,这就是经济生产批量。
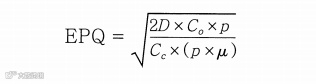
经济生产批量
EPQ 模型的假设条件:对库存系统的需求率为常量;一次订货量无最大、最小限制;采购、运输均无价格折扣;订货提前期已知,且为常量;用生产准备费用替代采购中的订货费用;维持库存费是库存量的线性函数;不允许缺货;需要连续补充库存。EPQ 的计算公式(公式推导过程可上网查阅)如下
其中:EPQ--最佳经济生产批量;
D--年需求量;
--生产率(件/天);
μ--需求率(件/天);
-调整准备费(元/次);
C.--持有成本。
例如,某工厂是生产氢气瓶的专业厂。该厂年工作日为220天,市场对氢气瓶的需求率为50件/天。氢气瓶的生产率为200件/天,年库存成本为1元/瓶,设备调整准备费为 35元/次,求经济生产批量(EPQ)。
已知:
C。=35(元/次)
p=200(件/天),
u=50(件/天)
C。=1(元/件·年),
年需求量 D=50x220=11,000(瓶)。
2.简单批量方法
有许多确定订货批量的方法并不追求库存成本的最低,而更多的是考虑使用方便,这类方法通常被归类为简单批量方法。这些方法包括固定数量法、最小订单法、倍数法、批量对批量法、固定期间需求法和周期性订货法等。为了便于讲解,我们将通过如下示例分别揭示不同简单批量方法的应用。例如,某产品未来 10 周的需求如表 ,期初库存为0箱,订货成本为 132元/单,年库存持有成本率为22%,产品价值141.82元/箱,则周库存(全年52周)持有成本为 141.82x0.22-52~ 0.60 元/箱。
某产品未来10周的需求
1)固定数量法
库存计划人员有时会根据事先与供货方设定的固定数量进行订货。这种固定数量可能源自运输工具容器的限制或生产的批量要求。使用这种方法进行订货,补货量、期末库存和库存成本的表现如表所示。此处假设补货均于每周初到货,每次补货量为120 箱。
2)最小订单法
需求方有时与供应方事先约定了最小订单量,如例表中的50箱。那么,每次计算补货量后,如果补货量小于最小订单量 50 箱,则按照 50 箱下单;如果补货量大于或等于50箱,则按照补货量下单。在表中,第5、6、8和 10周,均为补货量大于最小订单量 50 箱的情况。
3)固定期间需求法
库存计划人员有时会按照自身的工作节拍或与供应方事先约定的频率,对每次的订货量按照单位时间的固定倍数期间的需求量和进行确定,如表7-10所示的每2周。如同我们在第2节谈及的定期补货模型一样,专家建议这里的固定节拍的设置最好也遵循2n 这样的规律。与批量对批量法相比,采用这种方法可以减少订货次数,但会有更多的库存。
4)周期性订货法
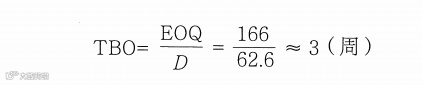
周期性订货法与之前的固定期间需求法看似相同,实则不完全相同,与其相同的是每次订货量也是单位时间的固定倍数期间的需求量和,不同的是此方法的固定倍数是计算出来的,而固定期间需求法的固定倍数往往是库存计划人员主观制订或与供应方约定的。在周期性订货法中,需计算订货间隔时间(TBO),公式如下:
其中,EOQ 即为经济订货批量,此例中为166箱;D为整个期间内的需求平均量此例中为 62.6 箱。在表 中,根据公式测算出的间隔期为3周,每次下单时采用近 3周的需求量和,如 141箱、221箱和 159 箱等。
04
—
库存安全
安全库存仅是库存构成的一部分,安全库存设置得正确与否,与库存是否安全是两码事。库存不安全也可能是因为周期库存设置得不合理造成的。安全库存的存在,是为了应对供应链的不确定性。
1.安全库存的基本原理
表所示为某物品未来 10 周的需求量,如果要表述该物品的需求量大小,通常,我们的第一反应是计算其平均值,约为234箱。我们应当清楚,平均值仅能表示一组数据集中的趋势,不能表示该组数据的发散程度。事实上,我们可以构造出无限多组数据来,使得它们的平均值也是 234,但这些数据的发散程度可能不尽相同。
如果我们为此物品设置库存为 234 箱,那么我们很可能分别在第 3、4、6、7、9和10周出现缺货。因而,管理者可能考虑增加一部分库存,比如50箱,来应对超过平均需求的情况的发生,而这 50 箱可以简单理解为安全库存。
1)经验法与统计学方法
在企业的供应链管理中,管理者通常有两种思路来处理安全库存:一种称为经验法一种是统计学方法。其实,二者殊途同归。有的管理者习惯回想过去,根据自己的感觉决定额外储备一些库存,比如,多存放50箱、多存放15%或4天的用量等。这种经验法就是管理者大致在脑海里做了一次“模糊”的统计,根据自己的初步想法,在头脑里回顾-下以往的经历,判断多存放这些库存量是否能避免缺货。
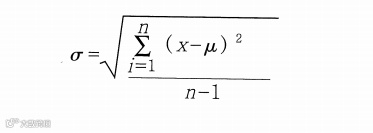
而统计学方法是根据历史数据,推测需求量在各个量级(或区间)中出现的概率,并以此推断应存放多少安全库存,以满足未来的需求并达到一定程度的满足率。统计学中对概率的计算需要依赖数据,而历史数据样本的完整性和真实性就决定着标准偏差的置信度,因此统计学方法也会存在一定程度的不准确性。以表7-16为例,我们可以很容易地计算出该物品未来 10 周的平均需求为 234 箱,需求的周标准偏差为 54 箱。标准偏差的计算可采用下面的公式或 Excel 中的 STDEV 函数来进行。公式中的σ、x、μ、和n,分别代表标准偏差、任意数值、数据的平均值和数据个数。
在生产、物流和供应管理中,管理者通常把大量的连续需求近似地看成呈正态分布。这样,需求量分布如图。根据统计学原理,我们很容易得出如下几条判断结果。
需求小于平均值 234 箱的可能性(概率)为 50%;均值为对称轴。
需求落在以均值(μ=234箱)为中心,正负1个标准偏差的区间(234-54,234+54)内的概率为 68.26%。
需求落在以均值(μ=234箱)为中心,正负2个标准偏差的区间(234-108,234+108)内的概率为 95.44%。
以此类推,因此,如果我们把库存设为 288箱,那么,日后任意一周出现缺货的概率就是近 16%1-68.26%=15.87%)。因而,我们可以说,周期库存为234箱,安全库存为54箱2缺货概率为 16%,满足率或服务水平为84%。然而 84%的服务水平意味着什么呢?我们假设对该物品采取每周补货1次的方式管理库存,那么2年内大致有100次的补货。84%的服务水平意味着2年内大概会有 16周出现缺货。如果管理者不可忍受这样的缺货程度就只能增加安全库存了。
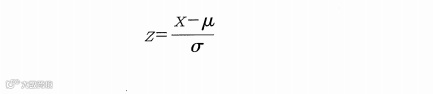
统计学中还有一个偏离量的概念,用来描述某数值距离均值有多少个标准偏差,其公式如下。以表的数据为例,我们可以说 228箱的偏离量为 1,而 180 箱的偏离量为 -1。
由上式可推导出:x=μ +z0。
比照上述例子中 288箱库存的建立,可归纳出:288箱=234箱+1x54箱,以及公式x=μ+zσ为安全库存的基本公式,其中SS代表安全库存,z在数学上是偏离量,在库存管理中通常称为服务水平系数或因子。在实际工作中,服务水平系数对应着服务水平。对于既定的服务水平,管理者可通过在正态分布积分表中查找获得,或通过 Excel的NORMSINV 函数查得,常见的服务水平系数如表所示。
SS =zσ
由于安全库存是为了控制补货周期设置的,因此严格地讲,补货周期内的不确定性,而不应简单理解为单位时段的不确定性。图中给出了安全库存与服务水平的关系。可见,服务水平越高,安全库存水平就会越高;并且,随着服务水平从 90%越往上升高,安全库存水平会越快地上升。
安全库存与服务水平的关系
2.常见的服务水平体系
我们在之前讲述安全库存的量化测算时引入的服务水平概念,仅是多种服务水平体系中的一种。 在供应链管理,特别是制定库存策略时,管理者常用的服务水平体系包括缺货概率体系、缺货次数体系、缺货量体系、完成率体系等。当我们谈及服务水平时,必须对其有清楚的理解,而不是仅仅给出一个服务水平的百分数要求。比如,当我们说希望服务水平为 95% 时,必须要说清楚,此概念是指缺货次数的比率、缺货数量的比率、订单层面的完成率,还是品种完成率。错误的理解会造成库存准备的偏差,从而无法真正支持服务水平的实现。
1)缺货概率体系(Probabilityof Stockout,POS)
之前讲解安全库存的量化测算时,采用的服务水平属于缺货概率体系。如果管理者定义缺货概率为 x% ,则服务水平为 1-x%。计划人员可以通过正态分布积分表,查找服务水平 1-x%所对应的系数z,并进行安全库存的计算。缺货概率体系有个缺点,就是概率比较抽象,不易被理解。
2)缺货次数体系(Timeof Stockout,TOS)
如果管理者将库存的服务水平定义为,在1年内某物料的缺货次数不得超过2次,这时所采用的定义方法就是缺货次数体系。这时又如何计算安全库存呢?
首先,我们可以得出:TOS=Nxf(k)。其中,N为整个周期内的补货次数,k为需求量,f(k)代表需求量为k时的缺货概率。其次,管理者则可根据缺货概率及之前谈及的安全库存制定方法来计算。如果管理者规定物料A在一年内的缺货次数为2次,并且物料 A每周进行1次补货,那么1年内大致有50个周期(N=50),则可求得f(k)=TOS-N=2-50=4%,即服务水平为 96%。通过查找正态分布积分表,可得z=1.75。随后即可选择之前讲述的公式,恰当地计算安全库存。
值得注意的是,相同的缺货概率 POS 可能会有着不同的缺货次数TOS。例如,对于一个缺货概率是10%(服务水平为90%)的产品,如果1年内每周都进行补货,则它有52个补货周期,那么该产品1年内的缺货次数(TOS)可能为:
52x10%=5.2次/年
而如果该产品的缺货概率还保持在10%,但其补货频率为每2周1次,即1年内有26个补货周期,那么该产品1年内的缺货次数(TOS)为:
26x10%=2.6次/年
----------
参考文献:
1.Edward A. Silver. Inventory Management and Production Planning and Scheduling[M]3ed. fohnWiley & Sons, p217,1998.
2.唐纳德].鲍尔索克斯(Bowersox,D.J.),克劳斯(Closs,D.J.)著.林国龙等译.物流管理:供应链过程的一体化[M].北京:机械工业出版社,p211~213,1999.



