今天给大家分享的是2026年1月发表在《TECHNOLOGICAL FORECASTING AND SOCIAL CHANGE》上名为《The impact of network relationships on green innovation and industrial growth: Evidence from China’s production and technological interdependencies》的实证论文,译为《网络关系对绿色创新和产业增长的影响:来自中国生产和技术相互依赖的证据》。期刊水平为ABS3,中科院管理学一区TOP。
摘要:本研究探讨生产网络和技术网络如何共同影响产业增长和绿色技术创新。本文利用中国省级投入产出表和专利引文数据,结合关系嵌入和结构嵌入,构建了生产网络中相互依赖的生产、生产网络中的技术和技术网络中的技术相互依赖的三种网络相互依赖关系。研究结果表明,生产网络中的技术相互依赖对绿色创新的促进作用有限,而生产网络中的技术相互依赖对绿色创新的促进作用显著。技术网络中的技术相互依赖对生产的影响最小;然而,当与较高的结构性空洞占用率相结合时,它们大大增强了绿色创新,降低了总能源强度、清洁能源强度和化石能源强度。进一步分析表明,上游实质性绿色创新和绿色技术网络中的知识积累是绿色转型的关键驱动力。通过对双网络的整合,本研究揭示了双网络在协调增长、绿色创新和可持续能源结构调整中的系统作用,为研究生产网络和技术网络之间的联系机制提供了新的见解,并为寻求在复杂的工业和技术系统中推进绿色创新的经济体提供了实践参考。
关键词:生产网络;技术网络;网络相互依存;绿色技术
1、引言
在全球可持续发展议程的背景下,稳定的经济增长和能源转型已成为世界各国的中心目标(UN, 2015)。【现实需求】这种两重性使绿色创新成为一把关键钥匙:它提高生产效率,支撑工业增长;它减少能源消耗和排放,推动绿色转型。【绿色创新的作用】然而,绿色技术和工业增长并不是由孤立的因素决定的。相反,它们深深植根于复杂的工业联系和技术互动网络中。这些网络控制着跨部门的知识、资源和冲击的流动。【绿色创新与生产、技术网络的联系】因此,采用一体化的生产与技术网络,系统分析二者如何共同塑造产业增长与绿色创新的动态关系是必要的。【研究目的】
创新与生产之间的关系已经通过技术推动(TP)和需求拉动(DP)来解释(Aflaki等人,2021;Choi, 2024; Di Stefano等人,2012)。前者强调技术突破如何直接促进生产,后者强调市场需求如何引导创新。【两种创新推动生产的方式】经验证据证实了两种机制在绿色技术中的相关性(Costantini et al., 2017; Xing et al., 2024)。绿色技术通过节约能源和降低成本来优化生产(Wang et al., 2025),而低碳产品的市场需求反过来刺激企业的绿色创新努力(Tang et al., 2025; Yang et al., 2025)。【二者的互动关系】
随着专业化和全球化的推进,传统的推拉二分法已不能反映产业间的相互影响。每个部门的发展都依赖于上下游行业的资源供给、技术转移和市场反馈,形成生产网络(Barrot and Sau vagnat, 2016; Bigio and La 'O, 2020; McNerney et al., 2022)。同时,技术创新和跨领域整合的累积过程构建了技术网络(Acemoglu et al., 2016; Fronzetti Colladon et al., 2025)。例如,光伏产业的技术突破依赖于与上游多晶硅材料的生产联系,而新能源汽车需求的增长反过来刺激了电池技术的进步。对生产网络的研究侧重于通过中间产品贸易形成的产业联系,揭示了这些网络传递生产冲击,并作为扩散具体化技术的渠道(Acemoglu和Azar, 2020; Ayerst等,2023)。例如,高附加值零部件贸易可以带动下游产业的技术升级。对技术网络的研究揭示了无实体知识的跨领域溢出,验证了创新的累积过程是“站在巨人的肩膀上”(Krammer, 2014; Luan et al., 2022)。【当前生产、技术已经形成网络】一个小型但不断增长的研究机构已经开始联合分析生产和技术网络,重点关注它们相互交织的扩散机制如何加速创新传播(H¨otte, 2023)。然而,这些研究仍然集中在技术溢出上,并没有充分探讨网络对创新与生产互动的系统影响。【现有研究未关注到技术网络与创新、生产的关系】
尽管取得了这些进步,但仍存在三个关键差距。【三个缺口】首先,生产和技术网络常常被孤立地分析。因此,我们对这些网络如何共同影响工业增长和绿色创新的理解仍然有限。【未关注生产与技术的网络之间的关系】其次,大多数现有研究主要将网络概念化为技术溢出(具体化和非具体化技术)的渠道,而在很大程度上忽视了它们在传递生产冲击方面的作用。这种疏忽导致对绿色转型过程中交叉联系如何影响创新和增长动态的理解不完整。【两个网络之间对创新与增长的影响尚未探讨】最后,很少有研究从绿色技术的角度分析技术网络。鉴于绿色技术与非绿色技术的不同来源和影响(Ali et al., 2025; Jee和Srivastav, 2024),忽视这些差异会限制推进绿色经济的有效策略。【未关注到不同技术的差异影响】
本研究开发了一个连接生产和技术网络的综合双网络框架,以解决这些差距。我们确定了三种类型的相互依赖:(1)生产网络内的生产相互依赖;(2)生产网络内部的技术相互依赖;(3)技术网络内部的技术相互依赖。我们研究了关系嵌入性和结构嵌入性在塑造产业增长、绿色创新和能源强度中的作用。【网络的不同关系及嵌入的影响】此外,我们区分了实质性和策略性绿色创新,并区分了绿色和非绿色技术网络,以捕捉绿色技术的独特特征。【网络对不同创新的影响】
这项研究在几个方面对文献有所贡献。首先,虽然这不是第一个将生产活动与绿色创新联合考虑的研究,但它超越了传统的推拉二分法,采用了外部嵌入网络的视角。通过将生产和技术网络整合到一个统一的框架中,该研究将绿色技术置于跨部门和跨区域的生产创新动态之中,而不是作为一个孤立的过程。【从网络的角度整合生产、技术网络并研究其对绿色创新的影响】其次,本研究明确说明了绿色技术的独特性。它区分了多种能源强度措施,以揭示生产和绿色创新如何以不同的方式影响能源使用的水平和构成。进一步区分实质性绿色创新与策略性绿色创新,并分别对绿色和非绿色技术网络进行建模,以反映绿色知识基础的独特结构。【绿色创新对能源强度的影响,并进一步划分不同的创新类型】最后,在方法上,该研究从双重网络中得出了三种形式的依赖关系,捕获了关系和结构嵌入性,并区分了上游和下游的联系。这一设计为网络如何推动增长和绿色创新提供了更丰富、多维的视角。【研究方法】虽然中国提供了实证背景,但其概念框架、相互依存理论和方法设计广泛适用于其他具有复杂工业和技术联系的经济体,使研究结果与全球关于网络结构如何制约工业增长和绿色技术转型的共同演变的辩论相关。【选择中国的原因】
本文的其余部分结构如下。第2部分是文献综述和研究框架;第3节描述了数据、网络中相互依赖性的量化和经验方法;第四节详细介绍了生产网络和技术网络中的关系;第5节给出了相关的实证结果;第6节包含结论、讨论和研究的含义。
2、研究框架
2.1 生产网络中的相互依赖关系
没有一个部门或区域是孤立运作的;生产通过中间产品的交易相互联系,形成一个完整的产业链。因此,每个部门都受到其活动和在更广泛的生产网络中的地位的影响(Bak等人,1993年)。【网络与部门的关系】生产网络通常使用投入产出表或企业层面的供应链数据来衡量(Acemoglu等人,2012;Barrot和Sauvagnat, 2016)。由于披露供应商和客户信息的局限性,通常使用投入产出数据来描述生产关系。生产关系直接影响经济活动。H¨otte(2023)利用投入产出关系分析了生产网络中下游部门的需求拉动效应和上游部门的供给推动效应。这些关系也推动了技术创新。Li等人(2024)建立了基于投入产出联系的上下游溢出指数,以考察生产依赖对绿色技术的影响。【用什么数据来表征生产网络】同样,Yang等人(2021)证明频繁而密集的生产互动有意或无意地促进了技术合作和创新。并非生产网络中的所有节点都是直接连接的。一些中心部门虽然没有与所有节点紧密相连,但对网络施加了重大控制,使其不可替代(Choi和Zo, 2022; Guo等人,2021;Kao等人,2017;Ramírez- Alvarez等人,2024)。因此,本研究将生产相互依赖定义为关系嵌入性和结构嵌入性,具体表现为上游投入增加、下游需求上升和网络结构变化。【关系与结构嵌入性的划分】
除了生产相互依赖之外,生产网络还表现出技术相互依赖,因为中间产品体现了技术创新(Cresti et al., 2023)。生产网络内的技术溢出通过学习和乘数渠道影响创新(Magalh ~ aes和Afonso, 2017)。此外,生产网络的内生变化通过影响成本结构和市场力量来推动技术进步(Lei和Chen, 2012)。这些相互依赖关系促进了创新并促进了工业发展(Cani¨els and Romijn, 2003)。【生产网络中的技术依赖】
2.2 技术网络中的相互依赖
技术网络是从知识的累积过程中产生的,因为创新建立在先前的进步之上(Acemoglu et al., 2016; Liu and Ma, 2021)。在这样的网络中,上游节点作为主要的知识来源,决定了专利申请的速度和方向(Barbieri et al., 2020)。基于专利引用关系构建的技术网络说明了知识的扩散。Acemoglu等人(2016)使用来自180万项美国专利的引文数据量化了行业间技术网络的影响。【有什么数据表征技术网络】然而,由于学科之间的显著差异,技术网络内部的技术溢出并非普遍存在。Fronzetti Colladon等人(2025)利用专利引用关系和文本相似网络分析了相邻节点的技术溢出和网络结构的影响,证实了后者的溢出效应更为明显。虽然一些研究考察了生产和技术网络,但它们主要强调技术溢出,往往忽略了它们的相互作用(Cai et al., 2022)。【既往研究忽略了生产与技术的依赖】
2.3 研究框架
本文通过生产网络和技术网络构建了三种相互依存的关系,探讨了它们对产业增长和绿色技术创新的影响。
生产相互依赖关系。上游投入增加带来的供应冲击和下游消费上升带来的需求冲击推动了生产网络内的部门产出。位于网络中心的节点控制着大量与生产相关的信息,增强了它们的增长潜力。它说明了生产相互依赖对网络内部的影响。生产的相互依赖性也影响到绿色技术。例如,需求拉动机制强调主动创新以满足消费者需求。上游投入结构的变化通过成本和价格效应直接影响技术进步和生产效率。它反映了生产相互依赖对绿色技术创新的跨网络影响。如图1所示,生产网络(Ny)中节点的关系嵌入性和结构嵌入性影响着节点的生产和创新活动。
技术的相互依赖关系。在技术网络中,丰富的知识来源增强了创新的基础,而专利引用的增加产生了技术需求冲击,共同推动了绿色技术进步。这些网络中的中心节点具有实质性的信息控制,且难以被取代,因此具有更强的绿色技术创新能力。此外,技术进步促进了技术对生产活动的驱动效应。由于一项发明的主要使用者不一定是其开发者,因此技术推动效应超越了单一部门,并通过网络互动出现。因此,技术网络中节点的关系嵌入性和结构嵌入性影响着节点的生产和创新活动。
生产网络中产生的技术相互依赖。涉及中间产品的交易是技术溢出的关键渠道。当技术创新出现在特定部门时,它们通过生产网络传播,促进上游和下游环节的创新(Shih和Chang, 2009)。关键部门的绿色技术进步提高了生产流程,重塑了投入结构,改变了产品价格,最终影响了整个供应链的生产活动。因此,第三类相互依赖关系被定义为生产网络(Nyp)中影响节点生产和创新的上下游技术活动。
3、方法与数据
3.1 数据
本研究的重点是生产网络和技术网络。投入产出网络和专利引用关系是现有研究中用于描述生产和技术联系的最广泛使用的数据源之一(Ayerst等人,2023;McNerney等人,2022)。我们使用了来自CEADS数据库的2012年、2015年和2017年的中国多区域投入产出(MRIO)表(Zheng et al., 2020)。CEADS MRIO数据已广泛应用于中国省际和部门间生产联系年龄的研究中(Wang et al., 2021),因此与本研究高度相关。该数据集最初覆盖31个省份和42个行业,后来为了研究的一致性,我们将数据集整合为29个行业。此外,该数据库还为每个省提供了涵盖47个部门的能源清单。每个省29个部门的能源消耗数据是通过合并该清单中的部门得出的。部门合并的对应关系载于附录表A1。专利引文网络的构建使用了来自谷歌patents的中国上市公司的专利引文数据。该数据库已被广泛用于创新研究(Liu and Li, 2024; Sung et al., 2024),包含专利公共号、申请人、相关行业、IPC分类代码和引文相关信息。我们根据申请人的注册地点和行业分类确定引文关系。基线回归采用5年引文窗口,排除同一申请人的自引。最终,从2012年、2015年和2017年提交的专利中选择了44万份引文记录。附录中的表A2显示了本研究中使用数据的详细信息。
3.2 变量
3.2.1 因变量
绿色专利变化(△P)。绿色专利是根据中国国家知识产权局(CNIPA)于2023年发布的“绿色技术专利分类系统”进行识别的。该分类体系由国家权威部门根据WIPO IPC绿色清单制定,涵盖了节能环保、新能源、资源回收等重点领域。它符合中国特色,具有很强的政策相关性,与研究目标高度一致。为了进行国际比较,在稳健性检验中使用WIPO IPC绿色清单进行交叉验证。
输出变化(△Y)。该变量从CEADS数据库提供的MRIO表中获得,衡量每个省每个行业的增加值变化,以准确反映生产活动的净水平。
3.2.2. 核心自变量
网络连接(Upα i,t, Downα i,t)。生产和技术网络通过中间产品交易和专利引用相互联系。现有研究主要使用中间商品价值流和专利引用流来构建网络接近度的加权指标(Krammer, 2014; Rahko, 2025; Shih and Chang, 2009)。然而,很少有研究区分上游关系(知识来源)和下游关系(引用实体)。借鉴H¨otte(2023)的研究,我们不仅区分了生产网络和技术网络,还构建了上游连接和下游连接。本研究以中间商品价值流与专利引用流为模型,建构网路矩阵。每个矩阵元素Zij表示节点i到节点j的输入,或者节点i对节点j的引用。对于基线回归,关键消费者和供应商被定义为每一行或每列中关系排名前25%的人。这些关键实体的权重被设置为1,而其他所有实体的权重都被设置为0。因此,将网络矩阵Z转化为二进制矩阵Wα,d和Wα,u,其中,Wα,d表示下游网络权值,Wα,u表示上游网络权值。与许多关于溢出效应的研究不同(Ayerst et al., 2023; Fronzetti Colladon et al., 2025; Rahko, 2025),基于0-1矩阵计算的网络连接代表关键节点变化的总和,而不是加权平均值。参数α (α = y, p)表示生产网络或技术网络。节点i的网络连接数计算如下:
当α = y时,ΔAj,t表示输出变化,表示生产网络内的连接;当α = p, ΔAj时j,t表示绿色专利的变化,表示技术网络内的连接。考虑到中间产品交易是技术溢出的关键渠道,本文利用生产网络中得出的权重矩阵Wy、d和Wy、u来计算生产网络中绿色专利的技术联系。测量Downyp i,t和Upyp i,t代表本研究中检验的第三种类型的连接。从两种类型的网络中构建三类关系是本研究的创新贡献。
虽然基于中间商品价值流和引用计数的网络连接衡量了节点与其邻居之间的关系强度,但它们并不能说明关系质量。继H¨otte(2023)之后,本研究采用PageRank中心性指标来评估网络连接质量。考虑节点连接的数量和质量,迭代计算PageRank中心性。较高的上游中心性得分表明广泛的投入使用或频繁的专利引用,反映了强大的上游(知识来源)关系。相反,下游中心性得分高表明该节点是具有高质量下游连接的关键供应商或知识来源。每个网络中节点的PageRank值使用Gephi计算。
参数α表示生产和技术网络,j表示节点i相邻的节点,q表示节点i和j共同相邻的节点。pα i,q和pα j,q分别表示节点q在相邻节点i和j中所占的权重比例,该指标值越高,说明该节点占据的结构洞越多。
3.2.3. 控制变量
本研究控制了影响生产和绿色创新活动的其他变量。这些变量的数据来源于各省统计年鉴。由于本研究采用省际面板数据,具体指标的可得性有限;因此,使用插值方法来补充缺失值。控制变量包括固定资本存量、城镇就业、研发人员数量、行业平均工资和省级科技支出。固定资本和劳动是生产的基本要素(Rahko, 2025; Zhang et al., 2025)。研发人员数量和科技支出被广泛用作衡量研发投入的关键指标,影响创新效率(Chen et al., 2023; Czarnitzki and thorworth, 2012)。工资差异可以反映行业特征,是劳动力质量和技术成熟度的重要代表(Griffith et al., 2004)。
3.3. 模型与方法
从上下游网络连接和网络结构两个角度分析网络的相互依赖关系。构建如下回归模型:
式中ΔAc,i,t分别代表ΔYc,i,t和ΔPc,i,t,定义为t时刻c省i部门的产出增长和绿色专利增长,用比例表示。α = y, p, yp表示生产网络、技术网络以及在生产网络基础上形成的技术关系。Downα c,i,t和Upα c,i,t通过上下游关系的密度来衡量网络连接,代表溢出效应。PRα,d c i,t和PRα,u c i,t是反映上下游网络连接质量的PageRank中心性。本研究使用这两个指标来衡量网络连接。Eq.(5)将网络连接与结构指标结合,形成相互依赖关系。表1显示了变量的含义。在方法上,采用多固定效应回归方法,控制时间、行业和区域个体效应,以尽量减少结果中的潜在偏差。
4、生产和技术网络关系
在使用网络图进行实证分析之前,有必要对中国31个省份29个行业的中间产品投入产出和专利引用关系进行可视化分析。
4.1. 生产网络关系
图2描绘了由区域间投入产出数据得出的中国中间产品的区域间贸易网络。早期,江苏、山东和浙江是生产网络的中心节点,促进了国内中间产品的流动。随着时间的推移,山东对中间商品流通的影响逐渐减弱,而广东则日益突出。从部门的角度来看,金属冶炼和轧制、化学工业和其他服务是生产网络的关键组成部分。值得注意的是,2012年,江苏、广东、山东等地的金属冶炼和轧制产能大量流出。此外,生产网络显示出很强的本地化,同一省份内各部门之间的投入产出联系更紧密。这种模式表明,生产关系主要受到地理邻近性的限制。在省一级,生产关系主要表现为两种形式:(1)单向产出流动,如金属冶炼和轧制业与化学工业之间的产出流动;(2)双向互动,如农业、林业和渔业部门与食品制造和烟草加工业之间的产出流动,以及批发和零售、住宿和餐饮部门与其他服务业之间的产出流动。
4.2. 技术网络关系
图3为利用中国专利引文数据构建的技术网络。广东在技术网络上占据主导地位,在通信设备、计算机和其他电子设备制造以及数字服务行业的专利被广泛引用,使其成为一个重要的知识中心。北京、上海、江苏和山东也发挥了重要作用,因为它们的专利在不同地区和行业被广泛引用,为技术进步做出了贡献。从部门的角度来看,通信设备、计算机和其他电子设备的制造以及数字服务部门构成了网络的核心。作为高科技产业,这些部门带动了其他领域的技术进步。运输设备制造业和金属冶炼和轧制业的技术联系在各地区分布更为均匀。它们虽然不是技术网络的中心,但通过引用与其他区域保持技术联系。与生产网络不同,技术网络的特点是部门内聚集,而不是地理聚集。这种模式可能是由于部门内的技术发明高度相似,从而促进了知识溢出。
5.结果
5.1 相互依赖对绿色创新和产业增长的影响
本节分析相互依赖对绿色创新和产业增长的影响。提出了三组结果:生产相互依赖、技术相互依赖和生产网络产生的技术相互依赖。为了考虑网络关系之间的相互作用,最后的分析在回归框架内对它们进行比较。在回归分析之前,多重共线性检验表明,在技术网络中,上游和下游PageRank中心性之间存在很强的相关性。为了减轻多重共线性,分析只包括下游的PageRank中心性。
表2报告了网络连接的回归结果,检验了上下游关系的强度和质量。前两列说明了生产网络连接如何影响产出和绿色创新。供给侧和需求侧刺激对产出都有显著的正向影响。相比之下,绿色创新效应更加微妙:来自关键供应商的更多投入促进了绿色技术创新,但一旦生产网络内相互依赖的技术得到控制,这种正相关关系在统计上就变得微不足道。上游和下游PageRank中心性的回归结果只证实了供给侧的影响;一个节点连接的上游链路越重要,它就越有可能实现更大的输出。这表明,生产网络联系主要产生网络内效应,上游关系强度和质量的溢出效应显著,而跨网络效应仍然较弱。技术网络连接对生产和绿色创新的影响有限。虽然技术网络中较高的PageRank中心性与生产和创新呈正相关,但这种效应缺乏统计学意义。这表明技术网络内部的技术连接在网络内部和网络之间不会产生显著的影响。这一结果令人惊讶,因为来自知识来源的技术创新通常被认为会刺激整体创新,而与关键创新者建立密切联系通常被认为会提高创新产出。(5)和(6)列展示了生产网络中技术连接的影响。上下游技术溢出对生产和绿色技术创新均有显著的正向影响。然而,当同时考虑上下游生产阶段的溢出效应时,这些效应并不持续。(7)和(8)列的结果表明,生产网络溢出对创新的影响和生产网络内部技术溢出对生产的影响变得不显著。这意味着生产受到中间产品投入和产出数量的影响,而绿色技术创新是由中间产品的嵌入式技术驱动的。上游供应商产出变化总量增加10%,下游制造商产出变化总量增加0.13%;绿色技术变化总量增加10%,下游绿色技术变化总量增加0.15%。虽然系数较小,但各关键节点的生产活动和绿色创新活动都发生了显著变化。因此,这最终将产生重大影响。绿色创新与生产的整合度相对较低,主要表现为生产网络与技术网络之间的跨网络联动较弱。
5.2. 内生性检验
在基准回归中,同时控制行业、省份和年份固定效应,以尽量减少潜在的偏差。为了解决由反向因果关系和遗漏变量引起的内生性问题,本研究采用了工具变量(IV)方法。具体而言,本文选取了两类历史网络指标作为重构核心解释变量的工具:一是利用2010年中国MRIO表构建的生产网络依赖关系;其次,利用2010年专利引文矩阵构建技术网络依赖关系。由于2010年的网络关系反映了较早的生产和技术联系,对研究期间的增长和绿色创新没有直接的因果影响,并且考虑到产业和技术结构的高时间持续性,这些历史网络指标与当前变量表现出较强的相关性。因此,它们满足有效仪器的相关性和外生性条件,是合理有效的IVs。本研究中使用的仪器是精确识别的,因此不存在过度识别的问题。表4结果显示,第一阶段Kleibergen-Paap (KP)秩Wald f统计量在10以上,Kleibergen-Paap LM统计量也有报道。对于多个内生变量,分别给出第一阶段Sanderson-Windmeijer f统计量。这些测试支持所采用的仪器的相关性。
将IV回归结果与基准回归结果进行比较,发现生产网络连接显著正向影响生产活动。技术网络内的技术联系对生产和绿色创新没有显著影响。值得注意的是,生产网络内部的技术联系更能促进绿色技术创新。此外,生产网络的上游溢出效应强于下游效应。同时,上游生产活动和绿色创新活动对下游生产活动和技术活动产生正向刺激作用。总的来说,这些发现与表3中的结果基本一致。
5.3. 稳健性检验
使用三种方法评估结果的稳健性。首先,通过确定前5%、10%和50%节点之间的关键连接,细化关键上游(知识来源)和下游(采用者)节点的范围。【上下游标准的改变】其次,排除省内同行业的投入产出关系和专利引文关系。【去掉同省同行业的数据】第三,根据国际标准(IPC绿色清单)对绿色专利进行筛选和交叉验证。【改变绿色专利的标准】这些修改不影响基线回归结果,这些结果在附录中提供。值得注意的是,随着用于识别生产网络中关键上下游节点的比例降低,这些连接的生产溢出系数和绿色技术创新溢出系数逐渐增加。这表明,生产网络关系与中间产品交换的数量密切相关,中间产品是嵌入式技术的载体。节点之间更强的投入产出联系放大了它们对生产和技术创新的影响。
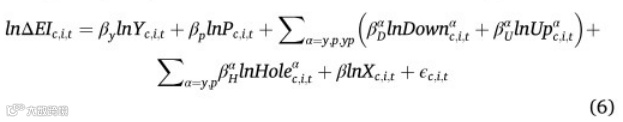
5.4. 相互依赖和能源强度
绿色技术创新是实现经济增长与能源消费脱钩的重要途径。技术和生产网络之间的相互依赖关系可能影响生产和绿色创新。一个关键问题是,这些相互依赖是否能提高能源效率并降低能源强度。本节使用类似基准规范的回归模型进一步研究这些相互依赖关系如何影响能量的强度。
其中ΔEIc,i,t表示能源强度的变化。由于绿色技术创新可能对不同类型的能源产生异质效应,本研究区分了清洁能源强度ΔEI Cc,i,t和污染物能源强度ΔEI Dc,i,t。污染物和清洁能源消费比例的变化是衡量能源结构变化的指标。该分析分别考察了产出、绿色技术创新和相互依赖对各种能源强度和能源结构变化的影响。清洁能源和污染能源的分类标准见附录。
5.5. 进一步分析
绿色技术的结果突出了两个关键问题。首先,生产活动和绿色技术活动对网络关系的相互影响有限。这两种技术联系都不影响生产活动。绿色技术商业化周期长、技术与生产需求不匹配、低质量绿色专利等因素都可能导致这一结果(Popp, 2019; Song et al., 2024)。同样,生产网络的联系并不影响技术活动。这种模式与通过扩展成熟技术而不是开发新的绿色解决方案来实现上游和下游生产扩张的情况相一致。二是技术网络内部溢出效应不显著。这可能是由于绿色技术和非绿色技术在知识来源和后续影响方面存在显著差异。因此,本节试图从绿色专利的质量和技术网络的差异来解释这些问题。
5.5.1. 绿色专利质量:实质性和策略性创新
绿色技术创新并不总是以促进发展和节能为目的。大量的政府政策支持和财政补贴鼓励绿色科技企业根据政府和投资者的期望进行创新,而不是追求实质性的技术进步。这些战略性的绿色创新表现出较低的商业化率,并且仍然与生产活动脱节。Song et al.(2024)和Jiang and Bai(2022)将绿色技术创新分为实质性创新和策略性创新。本研究考察了具有不同目标的绿色创新活动对生产网络和技术网络的溢出效应。
表6报告了实质性创新活动的结果。(1)和(2)列分析了相互依赖对工业增长和绿色技术的影响。知识边缘源的实质性绿色创新促进绿色创新,上游供应商的实质性创新推动产业增长。第(3)-(6)列评估实质性创新对能源强度变化的影响。研究结果表明,上游供应商实质性创新降低了下游污染物能源强度增长,而上游和下游实质性创新溢出均显著提升了能源结构。表7报告了策略创新的回归结果。与实质性创新不同,从知识来源增加策略性绿色创新并不能促进引用实体之间的技术进步。此外,专利引文者策略创新的增加阻碍了绿色创新。此外,在生产网络内部,下游客户的策略创新对能源结构的影响不显著,但显著提高了清洁能源强度和总能源强度。
5.5.2. 绿色和非绿色技术网络
一些研究表明,绿色技术的知识来源和随后的发明与非绿色技术有显著差异(Barbieri et al., 2023)。绿色技术本质上更复杂,依赖于多样化和新颖的知识来源,这些知识来源形成了其独特的知识库(Barbieri等人,2020)。图4描绘了绿色和非绿色专利的引文网络,突出了它们之间的显著差异。在绿色和非绿色专利网络中,电气机械和设备制造业表现出类似的关系。通信设备、计算机和其他电子设备制造业在非绿色专利网络中处于中心地位,但在绿色技术网络中影响较小。相反,虽然金属制品行业在非绿色技术网络中不活跃,但它是绿色技术的关键知识库。此外,广东、浙江、江苏等绿色专利申请量较高的节点,其通用和专用装备制造业的绿色技术专利知识来源多样,但与特定节点的联系不强。相比之下,在非绿色技术网络中,这些节点与电气机械和设备制造业以及通信设备、计算机和其他电子设备制造业保持着紧密的联系。
通过区分绿色和非绿色专利引用关系,构建独立的技术网络,重新评估技术相互依赖对绿色技术创新的影响。表8的前两列显示了绿色技术网络中相互依赖的网络内效应,而最后一列则对比了绿色和非绿色技术网络之间的效应。技术连接在绿色技术网络中发挥着重要作用。上游知识源的影响系数显著为正,非绿色技术网络中的网络连接对其影响不显著。这一发现表明绿色专利具有独特的知识基础,其扩展促进了绿色技术创新。此外,绿色技术网络中结构洞的系数显著为正,表明在绿色技术网络中占据关键地位对绿色创新具有重要意义。
6.讨论及启示
本研究将生产网络与技术网络整合,构建了三个相互依赖的网络,并系统分析了它们对生产活动和绿色技术创新的影响。研究结果表明:第一,生产网络中的关系嵌入性起着关键作用。稳定的上下游生产和技术联系分别驱动产出和绿色创新,这与垂直知识转移是一致的(Cresti et al., 2023; Rahko, 2025; Yang et al., 2021)。其次,生产网络的结构嵌入性没有任何优势。生产网络要求稳定的供应关系,过度占用结构洞增加了协调成本和供应链风险。例如,在2021年多晶硅短缺期间,依赖多个供应商的组件公司面临着较弱的议价能力和不稳定的库存,导致生产中断的风险远远高于与核心供应商保持长期合作关系的公司。相反,技术网络中的结构洞创造了创新机会。绿色技术往往跨越多个学科领域,占据结构洞有助于企业整合分散的知识来源,获取非冗余信息,从而实现突破性创新。这一发现与Burt在知识网络中的“结构洞理论”(Burt, 1992)相一致。结果表明,产出增长降低了能源强度,但对能源结构影响不大。这表明中国的能源转型更多地依赖于总量控制和效率提升,而不是能源替代。特别是,当企业面临上游生产冲击时,他们优先考虑削减更高成本的清洁能源,导致清洁能源强度下降。相比之下,虽然绿色创新没有降低总体能源强度,但它重塑了能源投入的构成,减少了对化石燃料的依赖。
此外,研究结果揭示了两个关键问题。首先,生产活动和绿色技术活动对网络关系的相互影响有限,表现为技术联系与生产活动之间、生产联系与绿色技术活动之间的脱节。这并不直接与技术推动和需求拉动理论相矛盾。观察到的脱节源于网络之间的弱联系,而不是传统的推拉二分法所强调的生产与创新之间的直接因果关系(Choi, 2024; Di Stefano等人,2012)。通过区分实质性绿色专利和战略性绿色专利,我们发现上游实质性创新可以促进生产和能源替代,而策略创新(通常由补贴驱动)可能产生“绿色专利泡沫”,导致技术和生产网络脱钩。从网络角度看,研究结果证实,上游绿色创新促进了下游技术创新,体现了TP效应;反之,下游创新和生产需求刺激上游绿色创新和生产,体现DP效应。此外,技术网络的嵌入性对生产和绿色创新都有利,这是另一种形式的技术创新。因此,本研究从网络的角度对技术推动和需求拉动提供了新的见解。第二,技术网络内部联系不能有效促进创新。这一发现与知识溢出理论并不矛盾,因为生产网络内的技术溢出表现出显著的积极效应,与先前的研究一致(Ayerst et al., 2023; Shih and Chang, 2009)。绿色技术在知识来源和后续影响方面不同于非绿色技术(Barbieri et al., 2020)。进一步分析表明,绿色技术网络内部存在显著的知识积累效应。因此,研究结果也肯定了绿色技术的积累,说明绿色技术拥有相对独立的知识基础和更独特的知识扩散路径。
6.1. 理论启示
本研究从网络关系的角度拓展了技术推动理论和需求拉动理论。它不局限于技术与市场需求之间的直接关系,而是在生产和技术网络中调查绿色技术与生产之间的联系。通过外部嵌入式网络连接分析它们之间的关系,提供了新颖的见解。此外,我们支持网络接近性促进创新的观点,同时引入结构嵌入性来概念化相互依赖。最后,通过对绿色技术网络和非绿色技术网络的区分,验证了绿色知识库的唯一性,确认了绿色技术的知识积累和跨渠道溢出过程。
6.2. 实践启示
鉴于网络相互依赖对生产和绿色创新的影响,加强网络关系对于世界各国实现经济稳定发展和推进绿色转型至关重要。
首先,政府应该通过减少市场碎片化,提高物流效率,扩大企业获得多元化资源的机会来促进产业协同效应。例如,欧盟的单一市场政策有效地整合了分散的国内市场,优化了供应链。对于新兴经济体而言,跨境贸易不仅可以改善资源配置,还可以加速绿色技术的引进和扩散,从而推动能源转型。
优先为上游产业提供税收优惠和绿色创新补贴,确保核心零部件和原材料的绿色升级。例如,韩国对电池产业的支持有力地促进了下游电动汽车的大规模扩张。然而,政策激励也可能诱发策略创新行为。在中国,政策创造了一个巨大的绿色技术市场,但一些核心技术仍然依赖于外国专利,绿色发明的转化率仍然很低。只有推动高质量的绿色创新,才能实现绿色技术带动生产需求,生产需求反过来促进绿色技术的良性循环。
第三,企业应积极寻求技术网络结构洞内的位置,与集群外的企业合作,跨行业边界连接不同群体。许多公司都通过利用这种结构优势实现了突破性的创新。例如,特斯拉通过在电池储能、太阳能和充电基础设施方面的合作,将汽车行业与可再生能源领域紧密联系在一起。比亚迪通过与半导体、电池、ICT等异质领域的企业合作,在新能源汽车产业链中占据了跨行业的桥梁地位,有效整合了不同领域的非冗余知识,推动了整车和电池技术的迭代。这表明,对于真正的技术突破来说,新颖和异质的信息比稳定但同质的资源和知识更有价值。
综上所述,如果一个国家或地区能够消除内部市场碎片化,促进资源跨区域流动,就可以建立一种积极的国内机制,推动绿色技术与生产之间的双向互动。这为其他国家推进绿色创新和可持续发展提供了借鉴。在全球层面,各国在绿色价值链和技术网络上的合作可以被视为网络协同,促进跨境知识溢出和资源共享。
6.3. 局限性与未来展望
尽管本研究有所贡献,但仍有一些局限性。专利并不是衡量技术创新的完美标准,因为并不是所有的创新都符合专利申请和批准的标准,也不是所有符合条件的创新都获得了专利。然而,由于创新测量的复杂性,专利数据仍然是首选的选择。未来的研究应考虑根据具体的研究目标制定综合的创新指标。【专利衡量创新的局限】此外,本研究排除了自我引用,但没有完全过滤掉关联公司之间的引用。母公司和子公司或其他附属实体之间的引用是否真正反映了技术或知识的流动,仍是未来研究的一个问题。【未排除关联公司的影响】
校稿人:林才运

