关注我们,更多干货和惊喜好礼
黄浩然
近年来,基于亲和配体或质谱技术(MS)的血浆蛋白质组学的发展,在诊断或预后的潜在生物标志物发现中起到越来越大作用,特别是质谱血浆蛋白质组学领域取得了尤为显著的进步,但这些生物标志物的临床验证和应用仍受限于依赖过时的三重四极杆质谱技术。因此,一种新型的质谱方法技术应运而生,大大提高了生物标志物的验证和转化效率。
2025年8月13日,Molecular & Cellular Proteomics (MCP)杂志在线发表了丹麦哥本哈根大学Matthias Mann 教授组与Thermo Fisher Scientific色谱质谱部团队题为“A novel hybrid high speed mass spectrometer allows rapid translation from biomarker candidates to targeted clinical tests using 15N labeled proteins”的论文。
研究评估了一种新型的高通量混合质谱仪——Thermo Scientific™ Stellar™质谱仪(Stellar MS),在血浆蛋白质组学应用中的工作流程,使用短梯度即可快速定量分析数千条目标肽段,覆盖超过1000种血浆蛋白。它独创地将三重四极杆的稳健性与强大的线性离子阱质量分析器相结合,能够进行极快速且灵敏的平行反应监测(PRM)和MS3多级扫描模式。Stellar MS可针对原本在Orbitrap Astral MS上测量的数千种肽段进行靶向分析,具备高灵敏度、高特异性、重现性好等特点。此外,绝对定量通常是临床检测的要求,因此研究团队利用15N 标记的蛋白质标准品,还开发了一套快速、简单易用的针对酒精相关肝病(ALD)生物标志物的定量方法,展示了 Stellar MS 在临床应用中的潜力。最终研究结果表明,Stellar MS 能够无缝衔接蛋白质组学的鉴定与常规的临床检测,从而有助于蛋白质生物标志物在诊断和预后的应用。
文章重点
(点击查看大图)
在本研究之前,三重四极杆质谱仪以其结构简单却效果显著而闻名,仍是蛋白质生物标志物靶向检测的金标准。它灵敏度高和稳定性好,对于可靠的临床诊断至关重要,并且易于与同位素标记标准品配合使用以实现绝对定量。然而,扫描模式仅限于使用选择或多重反应监测(SRM/MRM),而非采集整张 MS/MS谱图。这一局限性在一定程度上,阻碍了蛋白质组学从发现向临床应用的转化,而且方法开发必须依赖标准品,通量上也满足不了大规模肽段进行同时定性定量的需求,即便实现了足够的特异性和灵敏度,整个分析过程通常也需要数月之久。
因此,本研究探索了一种全新的工作流程,以开始解决上述挑战。Stellar MS旨在将三重四极杆的易用性与先进的双压线性离子阱质量分析器的优点融为一体。与三重四极杆的最后一个四极杆相比,线性离子阱捕获了肽段离子的所有碎片,然后快速获得碎片离子的质谱图。这个过程其实我们已经非常熟悉,而且临床上已经被广泛接受,不同的是规模大大增加了,并具有平行碎片积累和全扫描质量分析,同时实现定量和定性的优势,这有望实现前所未有的灵敏度、特异性和速度,包括平行反应监测(PRM)和MS3多级扫描能力。
此外,Stellar MS可方便结合15N全长重组蛋白标准品的使用,快速建立可靠的定量体系。与基于肽段的同位素标记不同,这种标准品减少了酶切和样品制备过程带来的波动性,可提高定量准确度。15N标记还减少了MS2质谱图的潜在干扰,提高了碎片离子的定量可靠性。这种方法有望检测出蛋白质的不同形式和翻译后修饰类型,增强蛋白质生物标志物的诊断潜力。
样本信息:病人血浆
前处理:Neat plasma,spike-in 15N标记蛋白,Trypsin酶切
上样量:500 ng或250 ng酶切肽段
Orbitrap Astral MS方法
纳升液相:Evosep One liquid chromatography (LC) system (Evosep Biosystems)
色谱柱:8 cm IonOptics Aurora Rapid column (8cm, 150 μm ID, 1.7 μm C18),60SPD,柱温50°C
质谱仪:Orbitrap Astral mass spectrometer (Thermo Fisher Scientific)
离子源:Easy-spray with FAIMS Pro (Thermo Fisher Scientific)
采集模式:DIA
Stellar方法
在Stellar MS上使用了gas-phase-fractionation DIA (GPF DIA)进行蛋白鉴定,跟Orbitrap Astral MS的结果可进行对比,另外,分别建立PRM Targeted MS2/MS3 LC-MS方法进行靶标蛋白分析。
纳升液相:Evosep One liquid chromatography (LC) system (Evosep Biosystems)
色谱柱:8 cm ionOptics Aurora Rapid column (8cm, 150 μm ID, 1.7 μm C18),60SPD,柱温50°C
质谱仪:Stellar MS (Thermo Fisher Scientific)
离子源:Easy-spray with FAIMS Pro (Thermo Fisher Scientific)
滑动查看更多
使用Skyline和PRM conductor进行靶标母离子的选择
PRM方法相对于SRM/MRM方法的一大优势就是方法建立更加简单快捷,只需要有母离子列表就可以建立仪器采集方法,进行样品数据的采集,而不需要先获得标准品进行离子对的参数优化。目前,我们可以通过三种方式创建Stellar MS的靶标肽段分析方法(如下图所示),本研究中,主要是评价了前两种方式,即基于 Orbitrap Astral MS或Stellar MS的肽段鉴定结果,筛选出母离子列表,从而建立PRM方法。
(点击查看大图)
在这个过程中,研究人员使用了Skyline软件及其外置工具PRM conductor (Thermo Fisher Scientific, Inc.开发)来完成,只需要四步就可以轻松将不同搜索引擎获得的鉴定结果转化成PRM母离子列表(如图所示)。
步骤一:Orbitrap Astral MS DIA数据分析。可使用Proteome Discoverer/Chimerys、DIA-NN或Spectronaut软件进行检索,本研究中主要使用了DIA-NN 1.9.1进行DIA数据的分析,另外Stellar MS采集的GPF DIA数据,通过Proteome Discoverer/Chimerys进行数据检索。
步骤二:Skyline 谱库的建立。将检索结果文件导入Skyline进行建库,然后导入DIA原始数据进行提峰。
步骤三:tMS2/tMS3母离子列表的创建。使用PRM conductor进行靶标肽段的过滤,设置靶标分析方法参数,最后软件自动导出PRM母离子列表(并生成Adaptive RT reference *.rtbin文件,用于保留时间实时校准),建立PRM仪器方法。
步骤四:Stellar tMS2/MS3数据采集和分析。结合Adaptive RT采集PRM数据,可使肽段采集窗口更准确,然后导入PRM数据到Skyline,再次使用PRM conductor进行过滤,并创建新的PRM方法用于最终的样品分析。
(点击查看大图)
结果展示
此前,通常使用三重四极杆质谱仪进行靶标分析。从概念上讲,其布局很简单,首先在第一个四极杆中选择母离子,然后在第二个四极杆中进行碰撞碎裂,在第三个四极杆中选择子离子(离子对)(如论文图 1A)。由于一次只能检测一个子离子,因此在给定时间可测量的离子对数量有限。获取完整的 MS/MS 全谱效率极低,从而影响定性能力或降低通量。因此,在靶向 MS 检测中,通常只监测最强且特异最高的子离子,每个肽段为三到五个。
如今,本研究使用了这款新型的高通量混合质谱仪 Stellar MS 采用了类似的设计原则,但其第三个质量分析器并非四极杆,而是采用了双压线性离子阱(LIT)(如论文图 1 B),单位质量分辨率下,质量分析扫描速率可达 125 kDa/s,是一些高端三重四极杆质谱仪的6倍或以上,tMS2和tMS3扫描速度分别为140Hz和40Hz,另外具备离子阱质量分析器独特的MSn多级扫描,可高达MS10。硬件上还沿用了OT Astral MS的光电倍增器(PMT),两边是一对高能转换打拿极,能带来优异的检测灵敏度和稳定性,以及超长的使用寿命。
(点击查看大图)
亮点1:
Stellar MS同时具备优异的定性和定量能力,可实现DDA/DIA/PRM等扫描模式,所以在靶向蛋白分析方法的开发中,研究人员也评价了从Stellar鉴定结果到PRM方法的流程,结果表明,使用GPF DIA可实现很好的鉴定结果,并通过PRM conductor可筛选出质量很高的肽段母离子用于靶标分析。(如论文图2A所示)
(点击查看大图)
(点击查看大图)
向下滑动查看所有内容
结果表明,两种检测方法的定量重复性都较为相似,基于Stellar MS的检测方法中,接近 85% 的肽段变异系数低于 20%,而基于OT Astral MS的检测方法中,75% 肽段变异系数低于 20%(如论文图4C)。另外,两种流程获得基本一致的鉴定准确率(如论文图4e、f)。
亮点2:
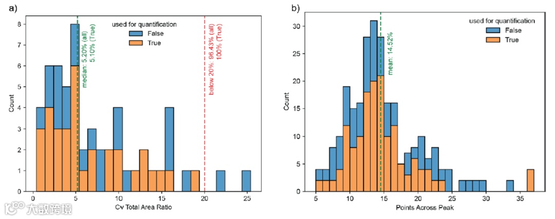
新型的 Stellar MS在靶向蛋白检测中表现出了优异的灵敏度和重现性。研究团队对血浆标志物进行了验证,结果显示,所有用于绝对定量的肽段,归一化到重标肽信号后,实现了平均 CV 为 5.1%,100% 的定量肽段 (橙色)CV 低于 20%(如论文补充图 6所示),对比没有内标时的波动,显著提升了定量的稳定性。
(点击查看大图)
亮点3:
检测限(LOD)和定量限(LOQ)符合预期,大多数肽段 LOD 和 LOQ 低于 0.1 ng ,部分甚至达到amol级别的灵敏度(如论文补充图 7所示)。
(点击查看大图)
这种性能使得研究人员能够在短梯度分析中同时追踪数百个肽段。以酒精相关性肝病(ALD)的血浆蛋白为例,本研究完整地演示了如何从 DIA 发现数据迁移到临床可用的 PRM/MS3 靶向检测方法,使得部分目标肽获得更好的信噪比(如论文补充图7所示)和LOD/LOQ,但值得一提的是不同肽的这种效果有所不同。
亮点4:
在这一过程中,15N重蛋白发挥了关键作用。作为“全长蛋白内标”,它们与内源蛋白经历完全相同的变性、还原和消化步骤,能够真实反映实验全过程,从而提供高度一致的定量参考,且轻(橙色)与重(蓝色)肽段在蛋白序列上的强度轨迹基本保持一致。(如论文补充图9所示)
(点击查看大图)
总结:
通过这种方式,研究团队建立了一个既可扩展、又可迁移的质谱检测流程,从基础发现研究到临床级检测实现了高效的无缝衔接。这一成果不仅验证了 Stellar MS 的潜力,更突出了高质量标准物质在临床蛋白质组学中的决定性作用。
Mann教授组作为国际质谱蛋白质组学的标杆团队,研究成果对整个领域具有示范意义。我们很荣幸能和他们合作评价这台独具创新的Stellar MS以及靶标蛋白分析流程。Stellar MS 具备优异的灵敏度、重现性、稳定性、易用性等多个优势,大量的单蛋白生物标志物检测方法有可能被取代,更倾向于采用一次进样中同时分析多个蛋白质,定量浓度可从几百ug/mL甚至到pg/mL,并能覆盖许多在常规临床中使用的蛋白质标志物。
最后值得再次强调的是,Stellar MS具备很多三重四极杆质谱没有的MS3采集方式,而且是行之有效、实用的,本研究结果表明,基于 MS3 的采集模式的确能够进一步降低LOD,虽然这并不适用于实验中所有的肽段离子(尤其是那些长度低于10个氨基酸的肽段),但对于较长的肽段,通常能有效地将LOD减半。因此,将 MS2 和 MS3 检测方法结合起来,针对每个肽段选择相应的采集方案,这样很可能会生成具有最佳灵敏度和特异性的靶向检测方法,这恰恰也是Stellar MS方法设置灵敏性的又一体现。
生物标志物转化和临床应用的道路任重而道远,Stellar MS的横空出世,展示出巨大的前景,可谓给广大科研人员提供一个更强有力的平台,加速研究成果的落地。
更多实验细节请扫码参阅原文
原文:
A novel hybrid high speed mass spectrometer allows rapid translation from biomarker candidates to targeted clinical tests using 15N labeled proteins - ScienceDirect
如需合作转载本文,请文末留言。

