关注我们,更多干货和惊喜好礼
崔宇 郑喆
第七代 Vanquish CAD P系列电雾式检测器一经推出,便赢得行业广泛关注与深度探讨。两大核心疑问:能否复现优化部分药典品种?已有 CAD 方法能否无缝转移?逐一为您解答!
大观霉素(链霉菌来源氨基环醇类抗生素)无共轭结构、紫外吸收弱,无法用紫外检测器常规分析。通用型 CAD 检测器以高灵敏度、稳定重现性,成为此类抗生素检测的首选。
1.1 仪器
Thermo Scientific™ Vanquish™ Vanquish Core HPLC色谱系统:
系统Base:Vanquish Core (VC-S01-A-02)
泵:Quaternary Pump CN (VC-P21-A-01)
自动进样器:Split Sampler C (VC-A13-A-02)
柱温箱:Column Compartment C (VC-C10-A-03)
检测器:Vanquish Horizon CAD P(VH-D21-A-01)
软件:Chromeleon™ 7.3 CDS
1.2 色谱条件
色谱柱:Acclaim AmG C18,3.0×150mm,3µm(P/N:088755)
流动相:0.1mol/L三氟乙酸水溶液,等度洗脱
流速:0.4mL/min
柱温:25℃
进样量:5μL
CAD检测器:蒸发温度:35℃,采集频率:5Hz,过滤常数:3.6S
1.3 实验结果
滑动查看更多
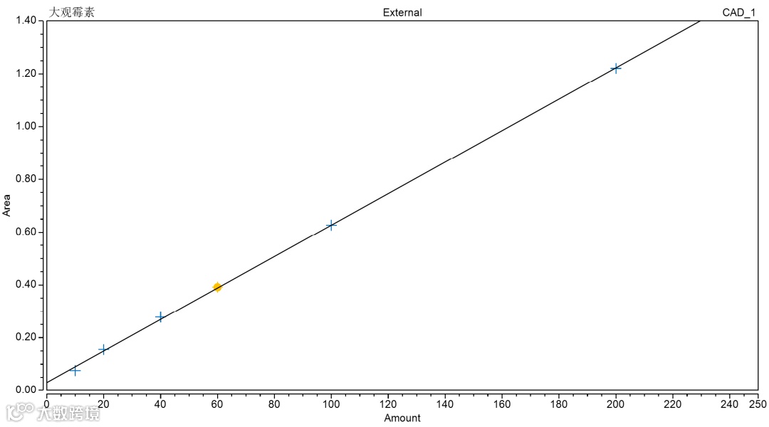
赛默飞 Acclaim AmG C18 柱(聚合物包膜技术)在强酸、高水相环境中稳定抗水解,适配 0.1mol/L 三氟乙酸水溶液色谱条件。检测显示:大观霉素主峰及有关物质检出完全、分离度良好;定量限 5ng(1.0ppm,S/N=11.7,5μL 进样),6 次重复进样 RSD(保留时间 0.06%、峰面积 0.87%),1-20ppm 线性 R²>0.999(PV=1.5)。该方法高灵敏、高精密度、良好线性,完全满足盐酸大观霉素检测需求。
1.4 结果与讨论
蒸发光散射检测器响应值与被测物质量呈指数关系,需对数转换;CAD 检测器响应值与质量数多为非线性,需对数转换或二次函数计算,小范围(如大观霉素 1-20ppm)可呈一次线性。部分场景需宽浓度范围考察一次线性,结合 CAD 响应一致性,精准获取样品主成分纯度等信息。
滑动查看更多
新型CAD P 系列检测器便捷 PV 值优化功能,扩宽一次线性范围,减小结果偏差。大观霉素案例:1-200ppm 浓度下,4 种 PV 值(1.5/1.8/2.0/2.2)测定显示,仅 PV=2.0 可一次线性拟合(R²>0.999),其余为二次函数;1-600ppm 时,PV=2.2 一次线性最优。实际应用可按浓度范围选最优 PV 值,高效完成含量测定。新型CAD P 系列检测可同时设 4 个 PV 值,缩短筛选时间,提升方法开发效率。
滑动查看更多
CAD P 系列检测器 3 选 1 切换阀,按需设置更灵活。如图:1.6-2.6min 阀切,将无关基质切至废液,保留盐酸大观霉素及杂质,降低污染、提升仪器耐用性、减少维护成本。检测器空置 / 报错时,阀切至废液 / 旁路,避免检测器被淹,保障仪器安全性。
(点击查看大图)
从标准地位到市场应用,去氧胆酸与 CAD 检测器形成稳定适配:其一,作为 CAD 的常检品种,去氧胆酸已被 USP 收录并沿用多年,是其含量与杂质检测的金标准;其二,凭借标准权威性与检测适配性,目前已有较多客户采用 CAD 检测器开展去氧胆酸检测工作。
2.1 仪器
Thermo Scientific™ Vanquish™ Flex UHPLC色谱系统:
系统Base:Vanquish Horizon/Flex (VF-S01-A-02)
泵:Vanquish Quaternary Pump F (VF-P20-A)
自动进样器:Vanquish Split Sampler FT (VF-A10-A-02)
柱温箱:Vanquish Column Compartment H (VH-C10-A-03)
检测器:Vanquish Charged Aerosol Detector HP (VH-D21-A-01)
Vanquish Charged Aerosol Detector H (VH-D20-A)
软件:Chromeleon™ 7.3.2 CDS
2.2 色谱条件
色谱柱:Acclaim™ 120 C18 3µm,4.6 × 150 mm (P/N 059133)
流动相:A:0.1%甲酸水溶液,B:0.1%甲酸乙腈 ,梯度洗脱见表1
表1 梯度洗脱程序
流速:1.0mL/min
柱温:30℃,空气循环模式(风扇速度5),主动预热
进样量:25μL ,进样器温度:8℃
Vanquish CAD H的PFV值:1.0,1.2,1.4,1.6
Vanquish CAD HP的PV值:
CAD通用参数:蒸发温度:50℃,采集频率:20Hz,过滤常数:2、3.6、5、10s
2.3 实验结果
CAD 检测器核心参数:PV 值(原 PFV 值)、蒸发温度、过滤常数。从 Vanquish CAD H 转移至 Vanquish CAD HP,需考察这些参数的调整。结果:蒸发温度 50℃,两款均满足 S/N;过滤常数 5s,两款均兼顾噪音与峰宽。需注意:两者 PFV 值与 PV 值数值差异较大,需验证。
向下滑动查看所有内容
为对比去氧胆酸的线性表现,设定 Vanquish CAD H 的 PFV 值为 1.0、1.2、1.4、1.6,Vanquish CAD HP 的 PV 值同时设为 1.5、1.8、2.1、2.4,考察浓度范围 0.5-10 μg/mL 的线性关系。实验结果表明:Vanquish CAD H (PFV=1.2),Vanquish CAD HP (PV=1.8),可得到最佳一次线性结果,R²=1.00;且两者残差均随机分布在零线(y=0)附近,验证了所选线性模型的拟合有效性。
图11 去氧胆酸CAD色谱图及系统适应性结果(n=10)(点击查看大图)
系统适用性结果:去氧胆酸 0.01mg/mL 时,两款 CAD 检测器峰面积 RSD 均<3.0%;0.0005mg/mL 时,S/N 均>10,灵敏度达标。两款均满足 USP 法测定去氧胆酸要求。
2.4 结果与讨论
图12 Legacy mode下无缝转移(点击查看大图)
从模式功能到方法转移,Vanquish CAD P 系列形成完整解决方案:① 模式选择:Easy(单通道 PV)、Advanced(4 通道高效筛选)、Legacy(旧 PFV 自动转换);② 转换逻辑:PFV×1.5 = 新 PV,去氧胆酸案例(1.2→1.8)与实验数据吻合;③ 核心价值:旧参数安全转换,方法转移便捷高效,降低操作成本。
小 结
Vanquish CAD P 电雾式检测器针对 2025 版《中国药典》盐酸大观霉素检测场景,精准攻克蒸发光散射检测器(ELSD)灵敏度低、重复性差的核心痛点,一键获得更宽线性,结果偏差最小,显著提升药典方法适用性,切换阀保耐用。去氧胆酸 USP 方法轻松转移,客户无忧!
参考文献:
[1] 中国药典2020版第二部 盐酸大观霉素
[2] AN_25052_HPLC 高效液相色谱法- 电雾式检测器检测大观霉素的方法研究
[3] The United States Pharmacopoeia[M]. The United States Phar macopeial Convention, 2016.
[4] TN_3816 Method transfer and optimization of deoxycholic acid analysis using HPLC-CAD
相关文章
|
||
|
如需合作转载本文,请文末留言。

