点击最上方蓝字关注,不迷路~
公司概况
杭州海康威视数字技术股份有限公司(股票代码:002415)成立于2001年,总部位于浙江省杭州市,是全球领先的以视频为核心的物联网解决方案提供商。公司业务覆盖综合安防、智慧业务与大数据服务,并拓展至机器人、智能家居、汽车电子等创新领域。2024年位列《财富》中国500强第124位,产品与服务覆盖全球150多个国家和地区。截至2025年上半年,公司总资产超2400亿元,员工规模约5.7万人。公司以"物联感知、人工智能、大数据"为核心技术能力,持续推动智慧城市、工业数字化等场景落地。
业务布局与市场地位
主业产品及服务(占比73.48%):传统安防视频监控产品与解决方案,在全球CCTV和视频监控设备市场占有率保持第一。
创新业务(占比26.52%,2025H1增速13.9%):包括机器人(6.41%)、智能家居(5.61%)、汽车电子(4.24%)、热成像(4.53%)等,已成为重要增长支柱。
市场结构:海外主业收入占比持续提升,2024年与创新业务合计首次超过总营收50%。
核心竞争优势
技术护城河:拥有自主知识产权的AVS编解码标准算法,观澜大模型实现多模态AI应用(如工业质检、安全生产管理)。
多维感知能力:从可见光拓展至红外、毫米波雷达、X光等技术,构建"眼耳鼻舌"综合感知体系。
全球化渠道:在海外设立多个分支机构,2025H1境外主业收入同比增长6.9%。
现金流改善:2025H1经营活动现金流净额53.43亿元,同比由负转正(上年同期为-1.9亿元)。
结论摘要
海康威视当前股价(2025年9月26日收盘价30.66元)处于近一年股价波动范围(24.83-35.52元)的中低位。预计公司2025年合理股价区间为 29-40元/股。买入时机为股价低于29元(低估区间),卖出时机为股价高于40元(高估区间)。核心支撑因素包括创新业务持续高增长(2025H1同比+13.9%)、观澜大模型在工业场景落地及现金流改善;主要风险为传统安防需求疲软(2025H1PBG收入同比-12.29%)及贸易摩擦不确定性。
1 公司最新财务与市场数据
截至2025年9月26日,海康威视的关键财务与市场数据如下表所示:
| 数据类别 | 指标 | 数值/表现 |
|---|---|---|
| 股价与市值
|
|
|
|
|
|
|
| 核心财务数据(2025H1)
|
|
|
|
|
|
|
|
|
|
|
|
|
|
|
|
|
|
|
| 业务收入结构(2025H1)
|
|
|
|
|
|
|
| 现金流与分红
|
|
|
|
|
|
|
| 股东变动
|
|
|
|
|
|
2 相对估值
选取安防及物联网行业可比公司进行市盈率(PE)比较,数据截至2025年9月26日:
|
|
|
|
|
|
|---|---|---|---|---|
| 海康威视 |
|
|
|
|
|
|
|
|
|
|
|
|
|
|
|
|
| 行业平均 |
|
|
|
|
分析结论:
海康威视PE(22.59倍)低于机构给予的行业平均预期(25倍),主要因传统安防业务增长放缓(2025H1营收增速仅1.48%),但创新业务高增长提供估值支撑。
基于券商预测(2025年净利润135.15亿元,2026年147.62亿元),并参考机构目标PE区间25-30倍,给予2025年 23-28倍PE,对应合理市值:
保守估值:135.15亿元 × 23 = 3108亿元(股价33.9元)
乐观估值:135.15亿元 × 28 = 3784亿元(股价41.3元)
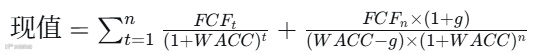
3 绝对估值
关键假设:
折现率(WACC):10.5%(反映海外业务政策风险及技术投入不确定性)
永续增长率(g):2.5%(考虑智慧城市长期需求及AI应用渗透)
2025-2027年FCF预测:基于2025H1经营现金流53.43亿元,假设2025年FCF为110亿元,2026-2027年增速8%-12%(对应创新业务占比提升)。
DCF计算:
保守 scenario(WACC=10.5%, g=2.5%):内在价值约 28元/股
乐观 scenario(WACC=9.5%, g=3%):内在价值约 38元/股
敏感性分析:
若观澜大模型应用超预期(g升至3.5%),估值可上修至42元。
若贸易摩擦加剧(WACC升至11.5%),估值下探至26元。
DCF合理区间:28-38元/股。
4 估值综合
合理股价区间
相对估值法:33.9-41.3元/股(2025年PE 23-28倍)
绝对估值法:28-38元/股
综合合理区间:29-40元/股(当前股价30.66元处于区间下沿,具备安全边际)。
买入时机:
股价低于29元(接近DCF保守估值,或利空出尽如贸易摩擦缓和)。
触发因素:创新业务收入占比突破30%、观澜大模型在工业领域订单落地、海外需求复苏。
卖出时机:
股价高于40元(接近机构目标价上限或乐观估值)。
触发因素:传统安防业务持续负增长、创新业务增速降至10%以下、汇率波动压缩利润。
未来一年股价催化剂
AI应用落地:观澜大模型在电力、冶金等行业订单放量(如工博会展示的工业质检方案)。
政策支持:智慧城市与工业数字化政策加码(如八部门推动AI应用)。
分红实施:2025年中期分红(10月9日股权登记)吸引长期资金。
5 风险提示
需求波动风险:国内政府端需求(PBG)2024年同比下降12.29%,经济复苏缓慢可能影响订单。
技术迭代风险:AI算法竞争激烈,若观澜大模型应用不及预期,可能丧失技术优势。
汇率与贸易风险:海外收入占比高,汇率波动或贸易摩擦可能冲击利润。
现金流压力:虽2025H1现金流改善,但存货账面价值191.25亿元(占比净资产24.35%),若减值将影响流动性。
重要声明与风险提示
以上所有分析均基于公开信息及第三方数据(来源包括东方财富网、同花顺、券商研报等),旨在提供研究参考与逻辑梳理,不包含任何对未来股价的确定性判断。市场环境、行业政策、公司经营等因素均可能发生重大变化,导致实际结果与预测出现显著偏差。投资者应审慎评估自身风险承受能力,并建议咨询专业财务顾问。本文内容完全不构成任何投资建议,据此操作产生的一切风险与责任由投资者自行承担,本文作者及发布机构概不负责。
|
往期回顾 |
|

