房贷月供计算最常用、最核心的公式是等额本息还款法的计算公式。这种方法在整个还款期内,每月偿还的总额(本金+利息)是固定的。
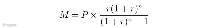
一、等额本息月供计算公式
各变量代表的意义:
-
M: 每月还款额 (Month Payment)
-
P: 贷款总额 (Principal),比如贷款100万,P就是1,000,000
-
r: 月利率 (Monthly Interest Rate)
月利率 (r) = 年利率 (Annual Interest Rate) ÷ 12
例如,年利率为4.2%(即0.042),那么月利率 r = 0.042 / 12 = 0.0035
-
n: 总还款月数 (Number of Payments)
总还款月数 (n) = 贷款年限 × 12
例如,贷款30年,n = 30 × 12 = 360
二、计算示例
假设条件:
-
贷款总额 (P):100万元 (1,000,000元)
-
贷款年利率:4.2%
-
贷款期限:30年
计算步骤:
-
计算月利率 (r):
r = 4.2% ÷ 12 = 0.042 ÷ 12 = 0.0035 -
计算总还款月数 (n):
n = 30 × 12 = 360 -
代入公式计算:
M = 1,000,000 × [0.0035 × (1+0.0035)³⁶⁰] / [(1+0.0035)³⁶⁰ - 1] -
分步计算(或直接使用计算器):
计算 (1+r)^n = (1.0035)^360 ≈ 3.526
分子部分:r × (1+r)^n = 0.0035 × 3.526 ≈ 0.012341
分母部分:(1+r)^n - 1 = 3.526 - 1 = 2.526
所以,月供 M = 1,000,000 × (0.012341 / 2.526) ≈ 1,000,000 × 0.004886 ≈ 4886元
结论: 贷款100万,30年,年利率4.2%,每月月供约为4886元。
三、等额本金月供计算式
另一种常见的还款方式是等额本金,它的特点是每月偿还的本金固定,但月供总额会逐月递减。
计算公式:
-
每月应还本金 = 贷款总额 / 还款月数
-
每月应还利息 = (贷款总额 - 已归还本金累计额) × 月利率
-
每月月供 = 每月应还本金 + 每月应还利息
同样以100万、30年、4.2%利率为例:
-
每月应还本金 = 1,000,000 / 360 ≈ 2777.78元
-
首月利息 = (1,000,000 - 0) × 0.0035 = 3500元
-
首月月供 = 2777.78 + 3500 = 6277.78元
-
第二个月利息 = (1,000,000 - 2777.78) × 0.0035 ≈ 3490.28元
-
第二个月月供 = 2777.78 + 3490.28 = 6268.06元
...(以此类推,每月递减)
等额本金 vs 等额本息:
-
等额本息:每月还款额固定,压力均衡,总利息支出较多。
-
等额本金:前期还款压力大,但总利息支出较少,适合前期还款能力强、希望节省总利息的借款人。
四、实用建议
手动计算比较繁琐,在实际生活中,您可以通过以下方式轻松计算:
-
房贷计算器:各大银行手机App、官网或第三方理财平台(如支付宝、微信小程序)都提供免费的房贷计算器,输入金额、利率、年限即可一键算出月供、总利息,并生成详细的还款计划表。
-
Excel或WPS公式:
等额本息可以使用=PMT(月利率, 总月数, -贷款总额)函数计算。
例如:=PMT(0.0035, 360, -1000000),计算结果即为¥4,886.00。
希望这个详细的解释能帮助您完全理解房贷月供的计算方式!

