研究简介
01 基本情况说明
本期推文为文献速递,详细研究成果发布《Smart and Resilient Transportation》,详见期刊2025年第1期。
文章题目:“Research on Maglev Pipeline Trains Speed and Positioning Based on Improved Kalman Filtering Algorithm”
作者:Jiang, Jusong (江西理工大学,赣州 341000,中国); Yang, Jie; Meng, Chuanshu; Li, Zhixin
引用格式:Jiang, J., Yang, J., Meng, C., & Li, Z. (2024). Research on Maglev Pipeline Trains Speed and Positioning Based on Improved Kalman Filtering Algorithm. Lecture Notes in Electrical Engineering, 1135 LNCS, 538–547. https://doi.org/10.1007/978-981-99-9307-9_59
02 研究概述
研究目的:本文针对磁浮管道列车多传感器融合测速定位中列车振动造成的系统噪声、量测噪声以及传感器数据异常等问题,提出一种新型自适应卡尔曼滤波算法(APRKF)。
研究方法:该算法在卡尔曼滤波算法上,采用限定记忆加权方法计算自适应因子,同时设定判断阈值限制自适应因子变化范围。
研究结果:与传统卡尔曼滤波器(KF)和Sage-Husa自适应滤波器(SHKF)相比,APRKF滤波器在有效减轻速度积分引起的误差累积的同时,具有优越的速度估计性能。结果表明,APRKF在速度和位置上都有较好的表现验证了其在提高估计精度方面的有效性。
研究意义:本文提出了一种新型磁悬浮列车测速定位的方法。
关键词:管道列车;多传感器融合;自适应卡尔曼滤波;限定记忆加权
一、引言
永磁悬浮管道物流系统具有高效、环保、安全等优势,广泛应用于城市物流与交通系统。列车测速定位是列控系统的关键技术,多传感器融合技术可弥补单一传感器精度不足的问题。然而,列车运行中因轨道不平顺、管道接缝等引起的振动会导致系统噪声、量测噪声及传感器数据异常。传统Sage-Husa自适应滤波在处理此类快时变噪声时易发散,忽略过程噪声影响。为此,本文提出一种新型自适应卡尔曼滤波算法(APRKF),通过多普勒雷达与加速度计组合定位,实现噪声自适应调整,提升滤波性能。
二、状态空间模型
系统以多普勒雷达测速信息和加速度计测量信息构建状态与测量方程:
状态方程:
其中状态向量为速度与位移,控制输入为加速度计测量值。
测量方程:
多普勒雷达提供速度测量,噪声为不相关白噪声。
三、测速定位系统方法
3.1 卡尔曼滤波基础
卡尔曼滤波通过预测与更新两步实现状态最优估计,包括状态预测、误差协方差更新、卡尔曼增益计算等步骤。
图2 卡尔曼滤波器流程图
3.2 新型自适应卡尔曼滤波算法(APRKF)
APRKF核心创新点包括:
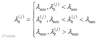
限定记忆加权法:通过滑动窗口估计实际新息序列协方差,适应快时变噪声。
自适应因子计算:基于新息协方差实际值与理论值之比调整量测噪声协方差。
阈值限制:设定失常数据判断阈值,限制自适应因子范围,剔除异常值。
稳健调整策略:通过调整预测状态协方差间接自适应过程噪声,降低发散风险。
图3 APRKF算法流程框图
四、仿真验证
4.1 仿真参数设置
使用Matlab/PSINS工具箱模拟列车匀变速、过轨缝、转弯等工况,传感器噪声参数如下:
4.2 仿真结果分析
速度估计:APRKF在整个运动过程中更接近真实速度,振幅小,波动小。
图4 速度估计对比
位置估计:APRKF有效抑制误差累积,位置估计误差明显小于KF与SHKF。
图5 位置估计误差对比
误差统计:APRKF在速度与位置估计中均具有最小的标准差、均方差与均值。
五、实验验证
5.1 实验条件
采用“红轨”永磁磁浮列车与WT61C惯性传感器、LP-DS200多普勒雷达进行实测。
图6 试验线实物图
5.2 数据预处理
对惯性传感器与雷达数据进行去重、时间戳校准与插值处理,确保数据一致性。
图9 LP-DS200测速计时间戳数据处理
图10 惯性传感器输出
图11 多普勒雷达输出
5.3 实验结果
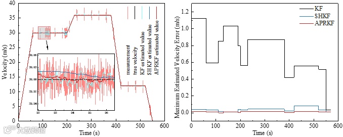
速度估计:APRKF融合值更接近参考速度,收敛快,波动小。
图12 速度估计对比
图13 速度估计误差
位置估计:APRKF位置误差显著低于SHKF,抑制积分误差效果明显。
图14 位置估计误差
误差统计:APRKF在速度与位置估计中均方根误差最小,稳定性最优。
结论
本文针对磁浮管道列车多传感器融合测速定位中列车振动造成的系统噪声、量测噪声以及传感器数据异常等问题,深入研究了基于卡尔曼滤波算法的性能优化与自适应调整机制。通过仿真对比,详细分析了KF、SHKF和APRKF三种算法在速度和位置估计方面的表现。仿真结果表明,APRKF在速度估计中,融合速度更接近真实值,尤其在处理测量失常数据时表现出优越性,在列车运行的各阶段速度估计最大误差均为最小;APRKF的位置估计误差明显小于KF和SHKF算法,这是因为APRKF引入自适应因子动态调整系统噪声和量测噪声,有效抑制了误差累积,实现更精确的位置估计,证明了APRKF算法的自适应性和鲁棒性。综合考虑速度和位置估计误差统计数据,APRKF算法在多传感器融合测速定位中展现出最小的标准差、均方差和均值,表明APRKF算法具有更高的精确性和稳定性,能更准确地捕捉列车的运动状态,适应不同工作环境和复杂情况。综上所述,本研究结果表明APRKF算法在磁浮管道列车多传感器融合测速定位中具备显著优势,其自适应调整机制有效提升估计准确性和稳定性,为实际工程应用提供有力支持。未来研究可进一步探讨算法在不同工况下的适用性,并优化实时性和计算效率。
通讯作者
Jie Yang 的联系方式为:yangjie@jxust.edu.cn
往期阅读推荐
【2025论文目录】
【2024论文目录】
【论文速递】|SRT|基于性能的交通系统气候灾害韧性能力构建方法
【论文速递】|SRT| 路面动态响应信号的降噪和数据挖掘技术研究
【论文速递】|SRT|作为备用系统的自动列车远程控制概念:未来运营商的需求和偏好
【论文速递】|SRT|调整列车时刻表,减少乘客在列车运行中断时的等待时间
【论文速递】|SRT|城市轨道交通不停车概念运营战略:圣保罗单轨铁路案例研究
【论文速递】|SRT|基于改进SegNeXt的铁路重要标识定位与分割
【论文速递】|SRT|基于用户画像方法的北京公交系统乘客出行模式分析
扫描二维码
关注我们
本期小编:
刘显辉
本期责编:
谢征宇
周武林

