异基因造血干细胞移植(HCT) 是治疗急性白血病和骨髓增生异常综合征(MDS)的根治性手段。对于无全相合同胞供者(MRD)的患者,替代供者来源包括:全相合非亲缘供者(MUD)、单倍体相合亲缘供者(Haplo)和脐带血。移植后环磷酰胺(PTCy) 作为移植物抗宿主病(GVHD)的预防方案,已广泛应用于单倍体移植,并逐渐扩展至MUD和MMUD(不全相合非亲缘供者)移植。
但目前关键问题在于,使用PTCy预防GVHD的前提下,MUD与Haplo供者移植的疗效是否存在差异?因此学者开展大样本研究,比较了使用PTCy方案的MUD和半相合供者HCT患者的结局。近日发表于《Blood Advances》。

研究方法:研究数据来源于CIBMTR数据库,纳入2017年至2021年间报告的5873例接受MUD(1973例)或半相合(3900例)HCT治疗的成人患者(年龄≥18岁);所有患者均接受含PTCy的GVHD预防方案。疾病类型包括急性髓系白血病(AML)、急性淋巴细胞白血病(ALL)和MDS。
患者和供者特征:最终纳入5873例患者,中位随访时间为36.3个月。MUD受者年龄较大(中位62.1岁 vs 58.8岁),而供者年龄较年轻(中位27.5岁 vs 35.7岁)。MUD组中非西班牙裔白人比例较高(86.4% vs 59.0%)。两组在疾病风险指数(DRI)、合并症指数(HCT-CI)等方面基本平衡。
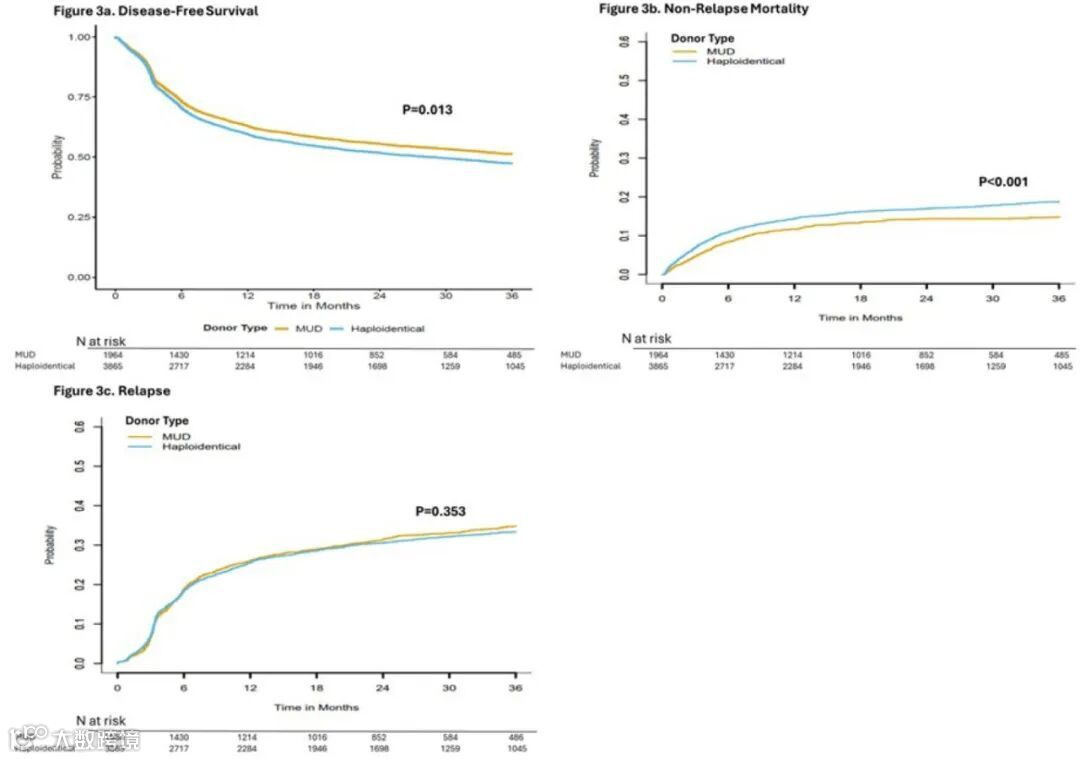
总生存期(OS)和无GVHD无复发生存期(GRFS):MUD组的3年OS率(59.2% vs Haplo组 54.9%)和GRFS率(42.4% vs 35.6%)均高于半相合组。多变量分析显示,与MUD HCT相比,半相合组的总体死亡风险更高(HR 1.15,95%CI 1.04-1.27,P=0.005),GRFS事件风险也更高(HR 1.19,95%CI 1.10-1.29,P<0.001)。


敏感性分析:通过倾向得分加权的敏感性分析证实了上述结果。
疾病对结局的影响:在MDS患者中,半相合HCT的OS更差(P=0.001),而ALL和AML中OS无差异;在AML和MDS患者中,半相合HCT的GRFS更差,而ALL患者中无差异。
预处理强度对结局的影响:在MAC方案中,半相合HCT的死亡风险增加;在RIC方案中,半相合HCT和MUD HCT的OS无差异,但GRFS在半相合组仍更差。
供者年龄对结局的影响:限制分析至供者年龄<30岁时,两组的OS无差异,但半相合组的GRFS和非复发死亡率(NRM)仍更差。
次要终点:
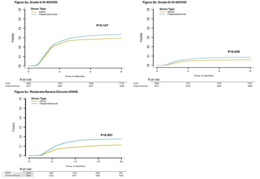
原发植入失败:Haplo组更高(HR 1.67,p=0.002);重度急性GVHD(III–IV级):Haplo组更高(HR 1.28,p=0.039);中重度慢性GVHD:Haplo组更高(HR 1.47,p<0.001);非复发死亡率(NRM):Haplo组更高(HR 1.34,p<0.001);复发风险:两组无显著差异(HR 0.95,p=0.353)。


该研究是迄今为止最大型的比较MUD和半相合HCT结局的研究,为供者选择提供了高级别真实世界证据。结果显示在使用PTCy预防GVHD的前提下,MUD HCT的OS和GRFS优于半相合HCT,可能主要归因于MUD HCT组较低的NRM、严重的急性和慢性GVHD发生率。研究结果支持在有合适MUD的情况下优先选择MUD供者,以确保最佳移植结局。
但Haplo移植仍具有供者来源广泛、获取快速等优势,尤其适用于无合适MUD或需紧急移植的患者。
未来需开展前瞻性研究,进一步比较MUD、Haplo及MMUD在PTCy平台下的疗效差异。
参考文献
Modi D, Aljawai YM, DeFor TE, Bupp C, Al Malki MM, Bolaños-Meade J, Gooptu M, Jimenez Jimenez AM, Liu H, Mensah F, Mielcarek M, Shaffer BC, Shaw BE, Spellman SR, Stefanski HE, Auletta JJ, Devine SM, Khimani F, Abboud R. Matched Unrelated vs Haploidentical Donor Hematopoietic Cell Transplantation Using Post-Transplant Cyclophosphamide. Blood Adv. 2025 Oct 6:bloodadvances.2025017194. doi: 10.1182/bloodadvances.2025017194. Epub ahead of print. PMID: 41052403.

