欢迎加入技术交流QQ群(2000人):电力电子技术与新能源 693759711
高可靠新能源行业顶尖自媒体
在这里有电力电子、新能源干货、行业发展趋势分析、最新产品介绍、众多技术达人与您分享经验,欢迎关注微信公众号:电力电子技术与新能源(Micro_Grid),论坛:www.21micro-grid.com,建立的初衷就是为了技术交流,作为一个与产品打交道的技术人员,市场产品信息和行业技术动态也是必不可少的,希望大家不忘初心,怀有一颗敬畏之心,做出更好的产品!
电力电子技术与新能源论坛
www.21micro-grid.cn
小编推荐值得一看的书单
与传统PWM(脉宽调节)变换器不同,LLC是一种通过控制开关频率(频率调节)来实现输出电压恒定的谐振电路。它的优点是:实现原边两个主MOS开关的零电压开通(ZVS)和副边整流二极管的零电流关断(ZCS),通过软开关技术,可以降低电源的开关损耗,提高功率变换器的效率和功率密度。
学习并理解LLC,我们必须首先弄清楚以下两个基本问题:
1.什么是软开关;
2.LLC电路是如何实现软开关的。
由于普通的拓扑电路的开关管是硬开关的,在导通和关断时MOS管的Vds电压和电流会产生交叠,电压与电流交叠的区域即MOS管的导通损耗和关断损耗。如图所示:
为了降低开关管的开关损耗,提高电源的效率,有零电压开关(ZVS) 和零电流开关(ZCS)两种软开关办法。
1
零电压开关 (ZVS)
开关管的电压在导通前降到零,在关断时保持为零。
2
零电流开关(ZCS)
使开关管的电流在导通时保持在零,在关断前使电流降到零。
由于开关损耗与流过开关管的电流和开关管上的电压的成绩(V*I)有关,当采用零电压ZVS导通时,开关管上的电压几乎为零,所以导通损耗非常低。
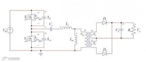
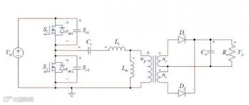
►Vin为直流母线电压,S1,S2为主开关MOS管(其中Sc1和Sc2分别为MOS管S1和S2的结电容,并联在Vds上的二极管分别为MOS管S1和S2的体二极管),一起受控产生方波电压;
►谐振电容Cr 、谐振电杆Lr 、 励磁电杆Lm一起构成谐振网络;
►np,ns为理想变压器原副边线圈;
►二极管D1, 二极管D2,输出电容Co一起构成输出整流滤波网络。
那么LLC电路是怎么实现软开关的呢?
要实现零电压开关,开关管的电流必须滞后于电压,使谐振槽路工作在感性状态。
LLC 开关管在导通前,电流先从开关MOS管的体二极管(S到D)内流过,开关MOS管D-S之间电压被箝位在接近0V(二极管压降),此时让开关MOS管导通,可以实现零电压导通;在关断前,由于D-S 间的电容电压为0V而且不能突变,因此也近似于零电压关断(实际也为硬关断)。
那什么是谐振呢?
我们不妨先看看电感和电容的基本特性:
与电阻不同,电感和电容都不是纯阻性线性器件,电感的感抗XL和电容的容抗Xc都与频率有关,当加在电感和电容上的频率发生变化时,它们的感抗XL和容抗Xc会发生变化。
1、如下图RL电路,当输入源Vin的频率增加时,电感的感抗增大,输出电压减小,增益Gain=Vo/Vin随频率增加而减小。
2、如下图RC电路,相反,当输入源Vin的频率增加时,电容的容抗减小,输出电压增大,增益Gain=Vo/Vin随频率增加而增加。
下面我们分析一下LC谐振电路的特性:
如图,当我们将L和C都引入电路中发现,当输入电压源的频率从0开始向某一频率增加时,LC电路呈容性(容抗>感抗),增益Gain=Vo/Vin随频率增加而增加,当从这一频率再向右边增加时,LC电路呈感性(感抗>容抗),增益Gain=Vo/Vin随频率增加而降低。这一频率即为谐振频率(此时感抗=容抗,XL=Xc=ωL=1/ωC),谐振时电路呈纯电阻性,增益最大。
谐振条件:感抗=容抗,XL=Xc=ωL=1/ωC
谐振频率:fo
那么谐振有什么作用呢?
控制让谐振电路发生谐振,有三个参数可以调节。由于L和C的大小不方便调节,通过调节输入电压源的频率,可以使L、C的相位相同,整个电路呈现为纯电阻性,谐振时,电路的总阻抗达到或近似达到极值。利用谐振的特征控制电路工作在合适的工作点上,同时又要避免工作在不合适的点上而产生危害。
LLC稳定输出电压原理:
将LLC电路等效分析,得到i如下简化电路。当交流等效负载Rac变化时,系统通过调整工作频率,改变Zr 和Zo的分压比,使得输出电压稳定,LLC就是这样稳定输出电压的。
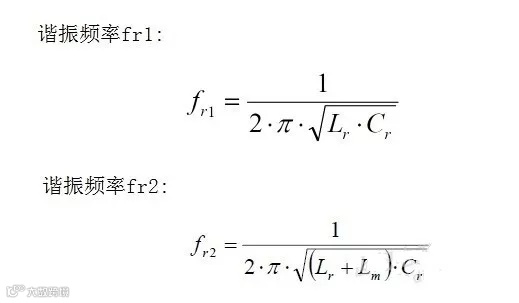
对LLC来说,有两个谐振频率,一个谐振频率fo是利用谐振电感Lr谐振电容Cr组成;
另一个一个谐振频率fr1是利用谐振电感Lr,励磁电感Lm,谐振电容Cr一起组成;
开关网络:S1、S2及其内部寄生二极管Ds1\Ds2、寄生电容Cds1\Cds2;
谐振网络:谐振电容Cr 、串联谐振电感Lr 、并联谐振电感 Lm;
中心抽头变压器(匝比为n:1:1),副边整流二极管 D1、D2;
输出滤波电容Co (忽略电容的ESR),负载 Ro。
1.1 LLC变换器的模态分析
对于LLC电路,存在两个谐振频率:
1.1.1 工作区域2(fr2<f<fr1) 模态1
1.1.2 工作区域2(fr2<f<fr1) 模态2
1.1.3 工作区域2(fr2<f<fr1) 模态3
1.1.4 工作区域2(fr2<f<fr1) 模态4
1.1.5 工作区域2(fr2<f<fr1) 模态5
1.2 f=fr1 情况下的波形图
1.3 f>fr1情况下的模态分析
1.3.1工作区域1(f>fr1) 模态1
1.3.2工作区域1(f>fr1) 模态2
1.3.3工作区域1(f>fr1) 模态3
1.3.4 工作区域1(f>fr1) 模态4
总结:开关频率fr2<f<fr1时,且谐振网络工作在感性区域时,LLC变换器原边开关管实现ZVS,且流过输出整流二极管的电流工作在断续模式,整流二极管实现ZCS,消除了因二极管反向恢复所产生的损耗;
开关频率f=fr1时, LLC谐振变换器工作在完全谐振状态,原边开关管可以实现ZVS,整流二极管工作在临界电流模式,此时可以实现整流二极管的ZCS,消除了因二极管反向恢复所产生的损耗;
开关频率f>fr1时, LLC谐振变换器原边开关管在任何负载下都可以实现ZVS,但是变压器励磁电感由于始终被输出电压所钳位,因此,只有 Lr、Cr 发生串联谐振,而 Lm在整个开关过程中都不参与串联谐振,且此时输出整流二极管工作在电流连续模式,整流二极管不能实现ZCS,会产生反向恢复损耗。
文章首尾冠名广告正式招商,功率器件:IGBT,MOS,SiC,GaN,磁性器件,电源芯片,DSP,MCU,新能源厂家都可合作,有意者加微信号1768359031详谈。
说明:本文来源网络;文中观点仅供分享交流,不代表本公众号立场,转载请注明出处,如涉及版权等问题,请您告知,我们将及时处理。
电力电子技术与新能源通讯录:
Please clik the advertisement and exit
重点
如何《电力电子技术与新能源》板块内高清PDF电子书
点击文章底部阅读原文,访问电力电子技术与新能源论坛(www.21micro-grid.cn)下载!
或者转发所要文章到朋友圈不分组不屏蔽,然后截图发给小编(微信:1413043922),小编审核后将文章发你!
推荐阅读:点击标题阅读
LLC_Calculator__Vector_Method_as_an_Application_of_the_Design
Communication-less Coordinative Control of Paralleled Inverters
看完有收获?请分享给更多人
公告:

在这里有电力电子技术:光伏并网逆变器(PV建模,MPPT,并网控制,LCL滤波,孤岛效应),光伏离网,光伏储能,风电变流器(双馈、直驱),双向变流器PCS,新能源汽车,充电桩,车载电源,数字电源,双向DCDC(LLC,移相全桥,DAB),储能(锂电池、超级电容),低电压穿越(LVRT),高电压穿越,虚拟同步发电机,多智能体,电解水,燃料电池,能量管理系统(直流微网、交流微网)以及APF,SVG ,DVR,UPQC等谐波治理和无功补偿装置等。
更多精彩点下方“阅读原文”!
点亮“在看”,小编工资涨1毛!


