欢迎加入技术交流QQ群(2000人):电力电子技术与新能源 693759711
高可靠新能源行业顶尖自媒体
在这里有电力电子、新能源干货、行业发展趋势分析、最新产品介绍、众多技术达人与您分享经验,欢迎关注微信公众号:电力电子技术与新能源(Micro_Grid),论坛:www.21micro-grid.com,建立的初衷就是为了技术交流,作为一个与产品打交道的技术人员,市场产品信息和行业技术动态也是必不可少的,希望大家不忘初心,怀有一颗敬畏之心,做出更好的产品!
电力电子技术与新能源论坛
www.21micro-grid.cn
小编推荐值得一看的书单
开关电源的设计是一份非常耗时费力的苦差事,需要不断地修正多个设计变量,直到性能达到设计目标为止。本文step-by-step介绍反激变换器的设计步骤,并以一个6.5W隔离双路输出的反激变换器设计为例,主控芯片采用NCP1015。
开关电源的设计是一份非常耗时费力的苦差事,需要不断地修正多个设计变量,直到性能达到设计目标为止。本文step-by-step介绍反激变换器的设计步骤,并以一个6.5W隔离双路输出的反激变换器设计为例,主控芯片采用NCP1015。
基本的反激变换器原理图如图1所示,在需要对输入输出进行电气隔离的低功率(1W~60W)开关电源应用场合,反激变换器(Flyback Converter)是最常用的一种拓扑结构(Topology)。简单、可靠、低成本、易于实现是反激变换器突出的优点。
接下来,参考图2所示的设计步骤,一步一步设计反激变换器
Step1:初始化系统参数
------输入电压范围:Vinmin_AC 及Vinmax_AC
------电网频率:fline(国内为50Hz)
------输出功率:(等于各路输出功率之和)
------初步估计变换器效率:η(低压输出时,η取0.7~0.75,高压输出时,η取0.8~0.85)根据预估效率,估算输入功率:
对多路输出,定义KL(n)为第n路输出功率与输出总功率的比值:
单路输出时,KL(n)=1.
Step2:确定输入电容Cbulk
Cbulk的取值与输入功率有关,通常,对于宽输入电压(85~265VAC),取2~3μF/W;对窄范围输入电压(176~265VAC),取1μF/W即可,电容充电占空比Dch 一般取0.2即可。
一般在整流后的最小电压Vinmin_DC处设计反激变换器,可由Cbulk计算Vinmin_DC:
Step3:确定最大占空比Dmax
反激变换器有两种运行模式:电感电流连续模式(CCM)和电感电流断续模式(DCM)。两种模式各有优缺点,相对而言,DCM模式具有更好的开关特性,次级整流二极管零电流关断,因此不存在CCM模式的二极管反向恢复的问题。此外,同功率等级下,由于DCM模式的变压器比CCM模式存储的能量少,故DCM模式的变压器尺寸更小。但是,相比较CCM模式而言,DCM模式使得初级电流的RMS 增大,这将会增大MOS管的导通损耗,同时会增加次级输出电容的电流应力。因此,CCM模式常被推荐使用在低压大电流输出的场合,DCM模式常被推荐使用在高压 小电流输出的场合。
图4 反激变换器
对CCM模式反激变换器而言,输入到输出的电压增益仅仅由占空比决定。而DCM模式反激变换器,输入到输出的电压增益是由占空比和负载条件同时决定的,这使得DCM模式的电路设计变得更复杂。但是,如果我们在DCM模式与CCM模式的临界处(BCM模式)、输入电压最低(Vinmin_DC)、满载条件下,设计DCM模式反激变换器,就可以使问题变得简单化。于是,无论反激变换器工作于CCM模式,还是DCM模式,我们都可以按照CCM模式进行设计。
如图 4(b)所示,MOS管关断时,输入电压Vin与次级反射电压nVo共同叠加在MOS的DS两端。最大占空比Dmax确定后,反射电压Vor(即nVo)、次级整流二极管承受的最大电压VD以及MOS管承受的最大电压Vdsmax,可由下式得到:
通过公式(5)(6)(7),可知,Dmax 取值越小,Vor 越小,进而MOS管的应力越小,然而,次级整流管的电压应力却增大。因此,我们应当在保证MOS管的足够裕量的条件下,尽可能增大Dmax,来降低次级整流管的电压应力。Dmax的取值,应当保证Vdsmax不超过MOS管耐压等级的80%;同时,对于峰值电流模式控制的反激变换器,CCM模式条件下,当占空比超过0.5 时,会发生次谐波震荡。综合考虑,对于耐压值为700V(NCP1015)的MOS管,设计中,Dmax不超过0.45为宜。
Step4:确定变压器初级电感Lm
对于CCM模式反激,当输入电压变化时,变换器可能会从CCM模式过渡到DCM模式,对于两种模式,均在最恶劣条件下(最低输入电压、满载)设计变压器的初级电感Lm。由下式决定:
其中,fsw为反激变换器的工作频率,KRF为电流纹波系数,其定义如下图所示:
对于DCM模式变换器,设计时KRF=1。对于CCM模式变换器,KRF<1,此时,KRF 的取值会影响到初级电流的均方根值(RMS),KRF越小,RMS越小,MOS管的损耗就会越小,然而过小的KRF 会增大变压器的体积,设计时需要反复衡量。一般而言,设计CCM模式的反激变换器,宽压输入时(90~265VAC),KRF取0.25~0.5;窄压输入时(176~265VAC),KRF取0.4~0.8 即可。
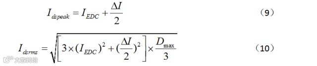
一旦Lm确定,流过MOS管的电流峰值Idspeak和均方根值Idsrms亦随之确定:
其中:
设计中,需保证Idspeak不超过选用MOS管最大电流值80%,Idsrms用来计算MOS 管的导通损耗Pcond,Rdson为MOS管的导通电阻。
Step5:选择合适的磁芯以及变压器初级电感的匝数
开关电源设计中,铁氧体磁芯是应用最广泛的一种磁芯,可被加工成多种形状,以满足不同的应用需求,如多路输出、物理高度、优化成本等。
实际设计中,由于充满太多的变数,磁芯的选择并没有非常严格的限制,可选择的余地很大。其中一种选型方式是,我们可以参看磁芯供应商给出的选型手册进行选型。如果没有合适的参照,可参考下表:
选定磁芯后,通过其Datasheet查找Ae值,及磁化曲线,确定磁通摆幅△B,次级线圈匝数由下式确定:
其中,DCM模式时,△B取0.2~0.26T;CCM时,△B取0.12~0.18T。
Step6:确定各路输出的匝数
先确定主路反馈绕组匝数,其他绕组的匝数以主路绕组匝数作为参考即可。主反馈回路绕组匝数为:
则其余输出绕组的匝数为:
辅助线圈绕组的匝数Na为:
Step7:确定每个绕组的线径
根据每个绕组流过的电流RMS值确定绕组线径。
初级电感绕组电流RMS:
次级绕组电流RMS由下式决定:
ρ为电流密度,单位:A/mm2,通常,当绕组线圈的比较长时(>1m),线圈电流密度取5A/mm2;当绕组线圈长度较短时,线圈电流密度取6~10A/mm2。当流过线圈的电流比较大时,可以采用多组细线并绕的方式,以减小集肤效应的影响。
其中,Ac是所有绕组导线截面积的总和,KF为填充系数,一般取0.2~0.3。
检查磁芯的窗口面积(如图 7(a)所示),大于公式 21 计算出的结果即可。
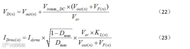
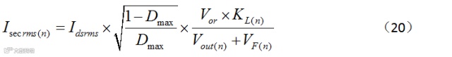
Step8:为每路输出选择合适的整流管
每个绕组的输出整流管承受的最大反向电压值VD(n)和均方根值IDrms(n)如下:
选用的二极管反向耐压值和额定正向导通电流需满足:
Step9:为每路输出选择合适的滤波器
第n 路输出电容Cout(n)的纹波电流Icaprms(n)为:
选取的输出电容的纹波电流值Iripple需满足:
输出电压纹波由下式决定:
有时候,单个电容的高ESR,使得变换器很难达到我们想要的低纹波输出特性,此时可通过在输出端多并联几个电容,或加一级LC滤波器的方法来改善变换器的纹波噪声。注意:LC滤波器的转折频率要大于1/3开关频率,考虑到开关电源在实际应用中可能会带容性负载,L不宜过大,建议不超过4.7μH。
Step10:钳位吸收电路设计
如图 8 所示,反激变换器在MOS关断的瞬间,由变压器漏感LLK与MOS管的输出电容造成的谐振尖峰加在MOS管的漏极,如果不加以限制,MOS管的寿命将会大打折扣。因此需要采取措施,把这个尖峰吸收掉。
反激变换器设计中,常用图 9(a)所示的电路作为反激变换器的钳位吸收电路(RCD钳位吸收)。
RClamp由下式决定,其中Vclamp一般比反射电压Vor高出50~100V,LLK为变压器初级漏感,以实测为准:
图 9 RCD 钳位吸收
CClamp由下式决定,其中Vripple一般取Vclamp的5%~10%是比较合理的:
输出功率比较小(20W以下)时,钳位二极管可采用慢恢复二极管,如1N4007;反之,则需要使用快恢复二极管。
Step11:补偿电路设计
开关电源系统是典型的闭环控制系统,设计时,补偿电路的调试占据了相当大的工作量。目前流行于市面上的反激控制器,绝大多数采用峰值电流控制控制模式。峰值电流模式反激的功率级小信号可以简化为一阶系统,所以它的补偿电路容易设计。通常,使用Dean Venable提出的Type II补偿电路就足够了。
在设计补偿电路之前,首先需要考察补偿对象(功率级)的小信号特性。
如图8所示,从IC内部比较器的反相端断开,则从控制到输出的传递函数(即控制对象的传递函数)为:
附录分别给出了CCM模式和DCM模式反激变换器的功率级传递函数模型。NCP1015工作在DCM模式,从控制到输出的传函为:
其中:
Vout1为主路输出直流电压,k为误差放大器输出信号到电流比较器输入的衰减系数(对NCP1015而言,k=0.25),m为初级电流上升斜率,ma为斜坡补偿的补偿斜率(由于NCP1015内部没有斜坡补偿,即ma=0),Idspeak为给定条件下初级峰值电流。于是我们就可以使用Mathcad(或Matlab)绘制功率级传函的Bode图:
在考察功率级传函Bode图的基础上,我们就可以进行环路补偿了。
前文提到,对于峰值电流模式的反激变换器,使用Dean Venable Type II补偿电路即可,典型的接线方式如下图所示:
通常,为降低输出纹波噪声,输出端会加一个小型的LC滤波器,如图 10 所示,L1、C1B构成的二阶低通滤波器会影响到环路的稳定性,L1、C1B的引入,使变换器的环路分析变得复杂,不但影响功率级传函特性,还会影响补偿网络的传函特性。然而,建模分析后可知:如果L1、C1B的转折频率大于带宽fcross的5倍以上,那么其对环路的影响可以忽略不计,实际设计中,建议L1不超过4.7μH。于是我们简化分析时,直接将L1直接短路即可,推导该补偿网络的传递函数G(s)为:
其中:
CTR为光耦的电流传输比,Rpullup为光耦次级侧上拉电阻(对应NCP1015,Rpullup=18kΩ),Cop为光耦的寄生电容,与Rpullup的大小有关。图13(来源于Sharp PC817的数据手册)是光耦的频率响应特性,可以看出,当RL(即Rpullup)为18kΩ时,将会带来一个约2kHz左右的极点,所以Rpullup的大小会直接影响到变换器的带宽。
k Factor(k因子法)是Dean Venable在20世纪80年代提出来的,提供了一种确定补偿网络参数的方法。
如图 14 所示,将Type II补偿网络的极点wp放到fcross的k倍处,将零点wz放到fcross的1/k处。图12的补偿网络有三个参数需要计算:RLed,Cz,Cpole,下面将用k Factor计算这些参数:
-------确定补偿后的环路带宽fcross:通过限制动态负载时(△Iout)的输出电压过冲量(或下冲量)△Vout,由下式决定环路带宽:
-------考察功率级的传函特性,确定补偿网络的中频带增益(Mid-band Gain):
-------确定Dean Venable因子k:选择补偿后的相位裕量PM(一般取55°~80°),由公式32得到fcross处功率级的相移(可由Mathcad 计算)PS,则补偿网络需要提升的相位Boost 为:
则k由下式决定:
-------补偿网络极点(wp)放置于fcross的k倍处,可由下式计算出Cpole:
-------补偿网络零点(wz)放置于fcross 的1/k 倍处,可由下式计算出Cz:
计算机仿真不仅可以取代系统的许多繁琐的人工分析,减轻劳动强度,避免因为解析法在近似处理中带来的较大误差,还可以与实物调试相互补充,最大限度的降低设计成本,缩短开发周期。
本例采用经典的电流型控制器UC3843(与NCP1015控制原理类似),搭建反激变换器。其中,变压器和环路补偿参数均采用上文的范例给出的计算参数。
仿真测试条件:低压输入(90VAC,双路满载)
1.原理图
图17 仿真原理图
2. 瞬态信号时域分析
从图18可以看出,最低Cbulk上的最低电压为97.3V,与理论值98V大致相符。
3. 交流信号频域分析
4. 动态负载波形测试
测试条件:低压输入,满载,主路输出电流0.1A---1A---0.1A,间隔2.5ms,测试输出电压波形。
1. PCB layout—大电流环路包围的面积应极可能小,走线要宽。
2. PCB layout—高频(di/dt、dv/dt)走线
a. 整流二级,钳位吸收二极管,MOS管与变压器引脚,这些高频处,引线应尽可能短,layout时避免走直角;
b. MOS管的驱动信号,检流电阻的检流信号,到控制IC的走线距离越短越好;
c. 检流电阻与MOS和GND的距离应尽可能短。
3. PCB layout—接地
初级接地规则:
a. 所有小信号GND与控制IC的GND相连后,连接到Power GND(即大信号GND);
b. 反馈信号应独立走到IC,反馈信号的GND与IC的GND相连。
次级接地规则:
a. 输出小信号地与相连后,与输出电容的的负极相连;
b. 输出采样电阻的地要与基准源(TL431)的地相连。

本文详细介绍了反激变换器的设计步骤,以及PCB设计时应当注意的事项,并采用软件仿真的方式验证了设计的合理性。同时,在附录部分,分别给出了峰值电流模式反激在CCM模式和DCM模式工作条件下的功率级传递函数。
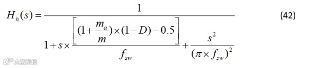
附录:峰值电流模式功率级小信号
对CCM模式反激,其控制到输出的传函为:
峰值电流模式的电流内环,本质上是一种数据采集系统,功率级传函由两部分Hp(s)和Hh(s)串联组成,其中
Hh(s)为电流环电流采样形成的二阶采样环节(由Ray Ridley 提出):
其中:
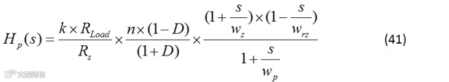
上式中,PO为输出总功率,k为误差放大器输出信号到电流比较器输入的衰减系数,Vout1为反馈主路输出电压,Rs为初级侧检流电阻,D为变换器的占空比,n为初级线圈NP与主路反馈线圈Ns1 的匝比,m为初级电流上升斜率,ma为斜坡补偿的补偿斜率,Esr为输出电容的等效串联电阻,Cout是输出电容之和。
注意:CCM模式反激变换器,从控制到输出的传函,由公式40可知,有一个右半平面零点,它在提升幅值的同时,带来了90°的相位衰减,这个零点不是我们想要的,设计时应保证带宽频率不超过右半平面零点频率的1/3;由公式41可知,如果不加斜坡补偿(ma=0),当占空比超过50%时,电流环震荡,表现为驱动大小波,即次谐波震荡。因此,设计CCM模式反激变换器时,需加斜坡补偿。
对DCM模式反激,控制到输出的传函为:
其中:
Vout1为主路输出直流电压,k为误差放大器输出信号到电流比较器输入的衰减系数,m为初级电流上升斜率,ma为斜坡补偿的补偿斜率,Idspeak为给定条件下初级峰值电流。
文章首尾冠名广告正式招商,功率器件:IGBT,MOS,SiC,GaN,磁性器件,电源芯片,DSP,MCU,新能源厂家都可合作,有意者加微信号1768359031详谈。
说明:本文来源网络;文中观点仅供分享交流,不代表本公众号立场,转载请注明出处,如涉及版权等问题,请您告知,我们将及时处理。
电力电子技术与新能源通讯录:
Please clik the advertisement and exit
重点
如何《电力电子技术与新能源》板块内高清PDF电子书
点击文章底部阅读原文,访问电力电子技术与新能源论坛(www.21micro-grid.cn)下载!
或者转发所要文章到朋友圈不分组不屏蔽,然后截图发给小编(微信:1413043922),小编审核后将文章发你!
推荐阅读:点击标题阅读
LLC_Calculator__Vector_Method_as_an_Application_of_the_Design
Communication-less Coordinative Control of Paralleled Inverters
看完有收获?请分享给更多人
公告:

在这里有电力电子技术:光伏并网逆变器(PV建模,MPPT,并网控制,LCL滤波,孤岛效应),光伏离网,光伏储能,风电变流器(双馈、直驱),双向变流器PCS,新能源汽车,充电桩,车载电源,数字电源,双向DCDC(LLC,移相全桥,DAB),储能(锂电池、超级电容),低电压穿越(LVRT),高电压穿越,虚拟同步发电机,多智能体,电解水,燃料电池,能量管理系统(直流微网、交流微网)以及APF,SVG ,DVR,UPQC等谐波治理和无功补偿装置等。
更多精彩点下方“阅读原文”!
点亮“在看”,小编工资涨1毛!


