说明:本文档系统介绍了扫描电子显微镜(SEM)的原理、结构、发展历程及其应用,涵盖电子枪类型、信号类型、台式与落地式设备对比等内容。
SEM结构和原理
扫描电子显微镜(SEM)由四个基本部分组成:(1)电子光学系统,包括电子枪、电子透镜、扫描线圈、消像散器和光阑;(2)样品室;(3)信号探测器、处理与显示系统;(4)真空系统。

图1 SEM基本结构(扫描电子显微镜的关键部件 | 如何工作 --- The Key Components of a Scanning Electron Microscope | HowStuffWorks)
SEM的基本工作原理:
电子枪产生电子并将其加速到0.1-30keV的能量范围内。由钨丝“发夹”式电子枪发出的束斑,通过电子透镜逐级缩小,最终在样品表面形成清晰的像。大多数扫描电镜可把电子束聚焦到小于10 nm的探针斑,并仍保持足以成像的束流。
电子束从末级透镜射出后进入样品室,在约1μm深的范围内与样品相互作用,产生用于成像的信号,如背散射电子(BSE)、二次电子(SE)和阴极荧光(CL)等。
这些信号可由不同的探测器分别收集并放大。探测系统的电子线路把信号转换为屏幕上逐点的亮度变化,从而形成图像。图像的对比度取决于探测器所收集信号的性质及其产额。

图2 SEM示意图DOI:10.54254/2755-2721/23/20230648
SEM电子枪
电子枪是扫描电子显微镜(SEM)持续产生电子流的关键装置。
目前主要存在两种电子枪类型:最常见的热发射电子枪通过对阴极灯丝(通常采用高熔点的钨材料)施加热能,促使电子从枪体射向待测样品;另一种场发射电子枪则通过产生强电场,将电子从所属原子中剥离出来。在扫描电镜结构中,电子枪通常安装在设备顶端或底端,向检测目标发射电子束。
表1 常规SEM阴极对比

在常规扫描电镜(SEM)中,整个电子光学镜筒和样品室均维持高真空(<10-5Torr),以防止电子束散射。现代许多阴极需要超高真空(UHV)工作环境,若暴露于较高气压便会损坏。因此,阴极通常被置于可单独隔离的小腔室中,以便在换样时避免其接触大气。
为了从材料表面提取电子进入真空,电子必须克服该材料的逸出功。逸出功(Φ)定义为将电子从费米能级(Ef)移动到真空能级(Evac)所需的能量。热离子发射发生在金属材料被加热到足够高的温度时,使得电子基本上可以溢出。
换句话说,电子获得了足够的动能以克服材料的功函数。当施加足够的提取电压到阳极时,从热阴极发出的电流达到一个与温度相关的饱和电流密度,如Richardson-Laue-Dushman公式所描述的那样。

js是饱和电流密度,m是电子静止质量,e是电子电荷,h是普朗克常数,k是玻尔兹曼常数,T是温度。

图3 典型的热离子或肖特基发射电子枪的示意图
为了增加热离子发射体的电流密度,可以提高温度或降低材料的功函数。通常情况下,更理想的是降低发射体的功函数,因为提高温度可能会减少发射体的寿命,并且可能导致功耗增加。
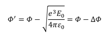
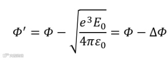
图4展示了典型的能带图,其中显示了通过施加强外电场可以降低功函数的情况。热离子发射与外加电场的结合也被称为场增强热离子发射,或肖特基发射(Schottky emission)。

Φ′是修正的功函数,E0是施加的电势,ɛ0是真空介电常数。电场会降低材料的功函数,从而导致发射电流密度增加。

图4 场增强热离子发射降低材料功函数
SEM信号的类型和特征
有两种主要类型的电子束-样品相互作用:弹性散射和非弹性散射。
弹性散射可以导致电子离开样品,背散射是弹性散射的一种特殊形式,为SEM成像提供了一类重要的信息,如背散射电子(Backscattered Electrons,BSE)和EBSD(Electron Back Scatter Diffraction,EBSD)。
非弹性散射产生有用信号,例如二次电子、俄歇电子、特征X射线和阴极发光(Cathodoluminescence,CL)。这些信号可以从样品内的特定发射体积获得,并可用于检查样品的许多特性(表面形貌、晶体学、成分、光谱等)。

图5 逸出深度(相互作用体积的实际形状和深度取决于加速电压、原子序数以及样品表面的倾斜程度)DOI:10.1002/cjce.24405
二次电子
即由入射电子的非弹性散射产生的电子,其能量小于50eV,并从样品中发射出来。只有在深度范围为5-50纳米内的表面电子才能逃逸到成为二次电子。因此,二次电子的产量与样品表面形貌有关,而二次电子图像可以反映样品的形状。

图6 BSED(左)、BSE(多探测器方法,中)和二次电子SE(右)生成的显微照片的比较示例
元素特征X射线
元素特征X射线是通过样品中电子的非弹性散射产生的。当样品原子的内层电子被激发时,外层电子会过渡并产生具有关于元素特性的X射线。通过X射线能谱(EDS)技术,可以检查微区成分和组成信息。
EDS可以通过线扫描和成像提供成分的定性结果以及样品中元素的分布和半定量或定量组成。通常配备EDS的SEM可以在形态观察期间进行成分分析。
目前,EDS分析涵盖了3B-92U范围。在执行光谱分析时,应将SEM的加速电压设置为被测元素X射线能量的2-3倍。因此,在样品特征X射线能量较高的情况下,加速电压也应较高。否则,加速电压应较低;这样可以减少电子束对样品的影响深度,并提高空间分辨率以进行成分分析。
通常,满足形貌分析要求的样品也可以用于光谱分析。在进行线扫描或成图时,样品表面应光滑整洁。

图7 SEM(a)点扫(b)线扫(c)面扫(Mapping)
BSE和EBSD
BSE主要源于入射电子与样品原子核之间发生的弹性或准弹性散射,导致其轨迹发生大角度偏转并最终离开样品。BSE的能量远高于SE,能量范围从几十eV到接近入射电子束能量。
高能量赋予了它们更强的穿透能力和更大的逃逸深度,可达数百纳米甚至微米级别,通常比SE的逃逸深度深一个数量级以上。BSE的产额对样品原子序数Z非常敏感(Z越大,原子核电荷越多,散射越强,BSE产额越高),因此BSE图像能够提供成分衬度信息,用于区分不同相或成分的区域。

图8(a)单偏光镜下石榴辉石岩中石榴石变斑晶内含单斜辉石包裹体(b)背散射电子图像显示单斜辉石(cpx)具韭闪石(prg)与钛铁矿(ilm)出溶结构,作为包裹体赋存于石榴石(grt)内DOI:10.1007/s11430-015-5172-9
普通BSE成像探测的是所有背散射电子的总强度(信号量)。这个总强度主要取决于样品的平均原子序数,原子序数越高的区域,产生的背散射电子越多,在图像上就越亮。
EBSD分析探测的是一类非常特殊的、经过弹性相干散射的背散射电子。这些电子在晶格中发生了衍射,并满足布拉格条件。所有这些被加强的衍射束在荧光屏上相互干涉,形成一对对亮暗相间的线,这就是菊池花样。
EBSD探测器(一个高速相机)捕捉的就是这副完整的菊池花样。EBSD可以获得取向图、相图、极图、织构等定量数据。

图9 电子背散射衍射(EBSD)分析的实验设置示意图
DOI:10.3390/met10081097
为了获得足够强的信号,无论是BSE成像还是EBSD分析,通常都需要将样品倾斜一个角度(EBSD通常倾斜~70°)。这是因为倾斜能增加背散射电子从样品表面逃逸的几率。
在实验中,BSE图像通常是进行EBSD分析的先导步骤。研究人员会先通过BSE图像快速浏览样品,根据成分衬度(原子序数差异)找到感兴趣的区域(如不同的相、夹杂物等),然后再在该区域进行更耗时、更精细的EBSD扫描,以获取晶体学信息。
表2 BSE与EBSD的核心区别

阴极发光
在半导体和绝缘体材料中,非弹性散射过程可以将价带电子激发到导带,形成电子-空穴对。当这些电子-空穴对复合时,会以光子的形式释放能量,即阴极发光(CL)。与X射线类似,CL信号(光子)也可以从较深的区域逃逸。CL光谱能够提供有关材料的能带结构、缺陷态、杂质浓度等信息。

图10 在SEM中获得的带有水热蚀变边缘(标记为a)的锆石颗粒的SEM图像(A)BSE图像(B)同一颗粒的CL图像,显示了在蚀变区(a)中富集了U、Th、Ca、Fe和Y的CL淬火现象DOI:10.2113/0530427
台式和落地式SEM
无论台式还是落地式,一台典型的扫描电镜(SEM)都由相同的核心硬件模块组成:阴极组件、电子光学系统、电子探测器、样品台和真空泵组。

图11 落地式(左)和台式(右)SEM
结构与体积:落地式整体占地约1 m以上,柱体较长,内部空间宽敞,适合放置大样品或配备多种附件(如低真空腔、冷却装置)。台式体积较小,结构紧凑,便于搬迁和在小实验室内安放。
分辨率与成像性能:落地式往往配备更高功率的电子枪和更长的光学柱,可实现亚纳米分辨率。台式的分辨率略低,但足以满足常规材料表征和快速筛查需求。
样品台与工作距离:落地式样品台行程更大,工作距离可调范围宽,适合大型或不规则样品的多角度观察。台式样品台行程相对受限,适合小块或薄片样品的快速定位。
真空系统与稳定性:落地式配备更强的泵组(离子泵+机械泵),抽真空时间更短,能够维持更低的基准压力,提升高分辨率成像的稳定性。台式采用小型泵组,抽真空时间稍长,真空水平略高,但已足以满足大多数实验需求。
成本与维护:落地式仪器价格普遍较高且维护成本高,需要专门的防振平台和环境控制。台式价格相对较低,维护更简便,适合高校、企业实验室的日常使用。

图12 台式和落地式SEM价格对比
#SEM#电子枪#二次电次#背散射电子#EDS#EBSD#阴极发光#电镜#扫描电子显微镜#华算科技


