声明

1. 原文链接
DOI Link:
https://doi.org/10.1002/advs.202511359
2.通讯作者
-
Googlescholar:
-
ScienceDirect & IEEE Xplore:
https://www.sciencedirect.com/author/35093593000
https://ieeexplore.ieee.org/author/385262828429267
-
UniversityWeb:
https://pure.bit.edu.cn/en/persons/yanli-zhu
3. 收录日期
4. 研究内容
1. 科学问题
揭示锂离子电池在极端高温冲击下的热失控演化机理,并构建融合物理模型与数据驱动的精准预测框架,以评估和预防其热安全风险。
2. 方法
2.1 电池选择
选取NCM523和LFP两种主流正极材料的锂离子电池进行对比,以研究高温冲击下的热失控特性。
2.2 实验平台
平台包括火焰加热器、电池、传感器、数据记录仪和红外摄像机等(Figure 3)。
采用氢火焰作为高温热源,并通过校准确保电池表面热负载稳定(温度曲线见Figure 3)。
2.3 实验过程
记录了NCM和LFP电池在不同距离(40 cm vs 15 cm)下被火焰冲击后着火的时间与温度。
观测了四个关键参数:自热起始温度T1、着火时间t1、着火温度T2和表面最高温度T3。
2.4 模型结构
几何与边界条件: 电池的详细几何结构如图Figure 15所示。将火焰加热简化为高温气流边界条件。
热传递模型: 描述了热在固体和流体中的传导(Eq. (3))、对流(Eq. (8), Eq. (9))和辐射(Eq. (10))。
热失控模型: 模型包含了SEI分解(Eq. (14), Eq. (15))、负极与电解质反应(Eq. (16)-Eq. (18))、正极分解(Eq. (19), Eq. (20))等一系列放热副反应,其动力学由Arrhenius公式(Eq. (13))描述,关键参数列于Table 7。
反应动力学估算: 通过分析数据来估算反应指前因子和活化能(Eq. (25), Eq. (26))
3.结果
2.1 TR 和燃烧行为
测试方法特点:
单面极端高温加热测试与烘箱测试的关键区别在于电池处于非绝热环境。
外部热源初始温度极高,导致电池温升速率远高于烘箱测试。
燃烧阶段划分:
根据火焰特征和温度曲线,将电池燃烧过程统一划分为6个阶段:
Figure 1 直观地展示了NCM523和LFP两种电池在不同燃烧阶段的图像。
热量积累
局部TR起始
点燃
稳定燃烧
层状脱落
火焰减弱
NCM523电池详细燃烧过程:
阶段I (热量积累):电池正面直接暴露于火焰,热量在铝塑膜外壳快速积累。随着热量向芯部传递,正面温升速率逐渐减慢。
阶段II (局部TR起始):当温升速率再次加快时,表明电池开始自生热,局部TR发生。此时,电池芯部产热成为主导。
阶段III (点燃):电池从极耳处点燃,此时关闭外部热源。正极与电解液的反应及电解液分解产生大量热,导致温升速率飙升至峰值,火焰尺寸和表面温度达到最大。电压未立即降至0V,证明TR是相继发生而非所有电芯同时发生。此时,电池背面温度仍低于100°C,证明铝塑膜外壳有效阻止了热传导。
阶段IV (稳定燃烧):电池进入稳定燃烧阶段,火焰尺寸略小于阶段III。
阶段V (层状脱落):电池燃烧过的部分从正面开始脱落。脱落发生后不久,电压被检测到骤降至约0V。由于热电偶附着在电池表面,脱落导致温度无法继续监测,但此时TR已进入末期,不影响监测和预警的可靠性。
阶段VI (火焰减弱):随着可分解反应的材料减少,火焰逐渐减弱直至熄灭。阶段IV和V因燃烧和脱落相继发生而存在长时间重叠。
LFP与NCM523电池关键差异:
过程差异:LFP电池的燃烧阶段与NCM523大体相似,但最明显的区别是LFP电池没有经历阶段V (层状脱落),仅绝缘外壳出现相对严重的碳化。
质量损失:LFP电池燃烧后质量损失仅0.7g,质量损失率为0.15%,远低于NCM523电池的34.3%。
电压表现:LFP电池电压在燃烧初期仅轻微下降,随后稳定在约3.2V,体现了其阻燃设计带来的优异热稳定性。
温度数据:两种电池的详细温度和电压曲线对比展示在 Figure 2 中。
热稳定性差异的机理分析:
电池背面最高温度仅为43°C (Figure 2b)
燃烧后仅正面出现明显鼓胀 (Figure 3a)
质量损失率极低(0.31%)
未观察到明显的机械脱落
LFP优势:LFP电池表现出更高的TR起始温度和更低的峰值温度。其优势源于橄榄石结构及其强的P-O共价键,该结构能抑制氧气释放,且分解焓高于层状氧化物。因此,外部加热停止后,初始放热反应的总能量不足以引发完全的阴极分解,导致自熄行为。
不完全TR证据:在本研究的开放环境高温冲击下,LFP被认为未经历完全TR,证据包括:
NCM523劣势:NCM523电池一旦着火,其层状结构向尖晶石相坍塌会释放大量氧气,立即加剧火势,产生的热量更丰富,火焰更大,全部经历了稳定燃烧和机械破裂阶段,表明其储存能量更多,但热安全性相应更差。
Figure 1 Process diagram and overall schematic of the test and modeling of this study. a) The experimental design. b) The simulation model design. c) The data-driven model.
Figure 2 Burning stages of NCM523 and LFP.
Figure 3 TR behaviors of the tested batteries. a) The temperature and voltage of NCM523. b) The temperature and voltage of LFP.
2.2 模型验证
模型可靠性保证:
进行了网格无关性研究和时间步长敏感性分析,确保预测温度差异小于2%。
最终的网格和时间步长设置用于所有模型。网格和时间步长的验证结果展示在 Figure 4 中,表明细化网格和减小时间步长带来的偏差在允许范围内。
特征参数定义:
从NCM523电池温度曲线提取四个关键参数:自加热起始温度(T1)、点燃时间(t1)、点燃温度(T2)、电池表面最高温度(T3)。
对于LFP电池,由于自加热到点燃的转变在1秒内完成,因此只提取T2、T3和t1。
参数定义列表于 Table 1。
仿真与实验对比与评估:
两种电池的实验与仿真结果对比展示在 Figure 5。
对于NCM523电池,仿真在阶段I和III更准确,在阶段II(局部TR)存在误差,这可能是因为TR先从靠近正面的芯开始,且层状分层效应难以精确建模。
使用平均绝对百分比误差(MAPE)和均方根误差(RMSE)量化评估仿真结果,计算使用 Eq. (1) 和 Eq. (2)。
给出了具体的MAPE和RMSE值。模型对表面最高温度和点燃时间的模拟准确,但对局部TR的模拟较难。
Figure 5e,f 通过展示活性物质转化,从侧面证实了LFP电池经历了不完全TR,其化学物质未完全转化。
模型应用与局限性说明:
验证后的模型可用于:1) 探索表面温度与TR行为联系;2) 估算不同SOC下的TR行为;3) 评估不同热源距离下的TR行为。
模型强一致性验证了其对测试电池的适用性,但应用于其他体系需重新参数化。
指出了NCM523电池的模拟T2与实验值存在较大偏差,归因于极端条件下精确捕捉点燃瞬间的挑战,但强调这是局部时间差异,模型的整体能量动态捕捉是准确的。
Figure 4 Verification of numerical discretization independence. a) Mesh independence verification. b) Time step sensitivity analysis.
Figure 5 Model validation. a) The temperature versus time profiles of NCM523 battery. b) The temperature rise rate versus time profiles of NCM523 battery. c) The temperature versus time profiles of LFP battery. d) The temperature rise rate versus time profiles of LFP battery. e) Reactant conversion rates during TR of NCM523 battery. f) Reactant conversion rates during TR of LFP battery.
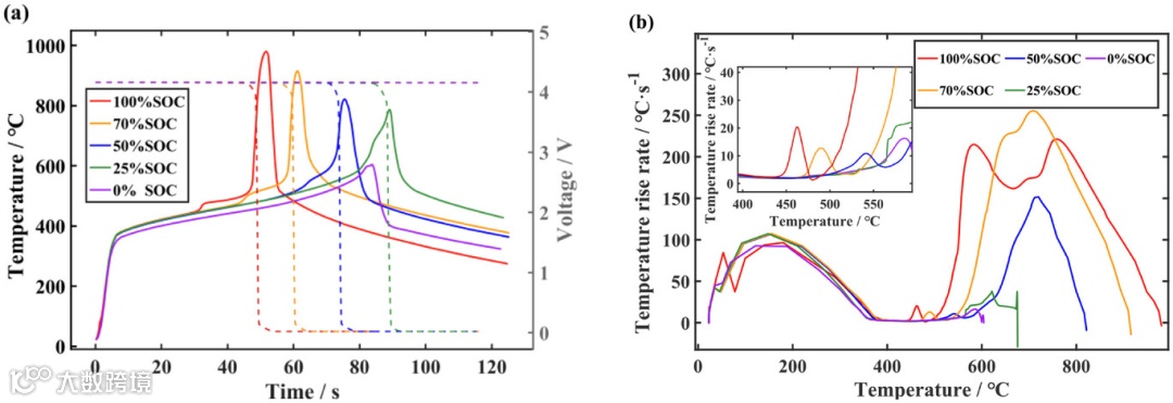
Figure 6 Comparison of different SOCs. a) The temperature and voltage versus time curves. b) The temperature rise rate versus temperature curves.
2.3 不同SOC下热失控行为评估
研究目的:分析SOC对TR行为的影响,验证模型在不同SOC下的效果,探索电池TR危害。
SOC对TR过程的影响:
五种SOC(100%, 70%, 50%, 25%, 0%)下的电池表面温度和温升速率曲线展示在 Figure 6。
SOC越低,触发内部电芯点燃所需的表面温度越高,需要暴露于高温冲击的时间越长。
从阶段II到VI,分解反应释放的热量随SOC降低而逐渐减少。
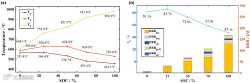
特征参数与SOC的关系:
T1和T2随SOC的变化展示在 Figure 7a。SOC降低,触发大规模TR所需的温度升高。
对于0% SOC电池,其最大温升速率低于着火起燃的典型速率,因此将该速率对应的温度视为T2。
SOC通过影响存储能量和电极材料热稳定性,进而影响T3。SOC越低,越难触发TR。
热释放速率(HRR)分析:
HRR是评估LIB火灾热危害的关键指标。
Figure 7b 的柱状图显示了模拟计算得到的峰值HRR。随着SOC降低,峰值HRR急剧下降,表明SOC对化学能释放速率有显著影响。
Figure 7 Variation of four characteristic parameters. a) T1, T2and T3 under different SOCs. b) t1 and peak HRR under different SOCs.
2.4 不同火焰距离下热失控行为评估
研究目的与距离选择依据:基于已验证的LFP电池模型,预测不同热源距离(15, 30, 45, 60 cm)下的TR行为。75 cm距离用于在后续章节探索模型可靠性边界。选择这些距离是为了建立明确、可再现的热边界条件,避免火焰直接冲击带来的复杂物理侵蚀,并确保能在合理时间内触发TR。
距离对TR过程的影响:
不同距离下的表面温度和温升速率曲线在 Figure 8 中比较。
由于测试在非绝热条件下进行,对流换热不可忽略,距离显著影响热源与环境的热交换。
特征参数与距离的关系:
特征温度(T2, T3)与距离的关系展示在 Figure 9a。点火时内部温度变化不大,但由于外壳持续被加热,表面温度存在显著差异。T3基本由T2决定,两条曲线大致平行。
点火时间(t1)随距离增加而延迟,展示在 Figure 9b。在15–60 cm范围内,距离与t1存在强线性关系(y = 0.37x + 5.3)。
距离对HRR的影响:
距离直接影响到达电池表面的热源温度。由于内部化学能和存储电能差异不大,TR各副反应的HRR随距离变远而略有下降。峰值HRR在15, 30, 45, 60 cm处分别为169.8, 133.4, 108.6, 和84.8 kW。
Figure 8 Comparison of different distance. a) The temperature versus time curves. b) The temperature rise rate versus temperature curves.
Figure 9 Variation of three characteristic parameters. a) T2 and T3 at different distances. b) t1 and peak HRR at different distances.
2.5 数据驱动的温度预测模型
模型目标与方法:为提高计算效率和降低实验成本,采用数据驱动方法,利用真实和虚拟数据建立代理模型来预测TR温度趋势。虚拟数据主要用于补偿高温冲击条件下实验数据的不足。
神经网络架构:
使用基于注意力机制的卷积结合长短时记忆网络(CNN-LSTM-ATTENTION)。Figure 10 展示了神经网络示意图。
输入是电池表面温度的历史时间序列数据。SOC或距离等标量值不作为额外输入,而是从温度曲线特征中隐式学习。
架构包括CNN层(用于特征提取和模式识别)、LSTM层或其变体BiLSTM/GRU(用于捕捉时间依赖关系)、自注意力层(用于聚焦关键变化点)和全连接层(用于输出预测)。
采用Dropout和早停法防止过拟合。
不同距离预测结果:
三种预测框架(LSTM, BiLSTM, GRU)在不同热源距离下的预测结果展示在 Figure 11a–c。
损失函数随迭代次数的变化见 Figure 11d,BiLSTM模型的收敛速度显著更快。
预测相对误差的分布通过 Figure 12 的箱线图展示。在预测60 cm和75 cm距离以及实验数据时,BiLSTM模型在所有预测场景中均表现出最佳性能。GRU模型精度略次于BiLSTM但运行效率最高。预测性能的RMSE和MAPE评估结果列于 Table 4。
不同SOC预测结果:
使用NCM523电池在不同SOC(100%, 70%, 50%)下的数据进行训练,并预测其他SOC(90%, 66%, 33%)下的温度曲线。预测结果展示在 Figure 13。
BiLSTM模型在收敛速度上仍显示优势 (Figure 13d)。
预测相对误差展示在 Figure 14。所有SOC预测的MAPE在去除异常值后均小于1%。BiLSTM模型精度最佳,GRU次之且运行最快。预测性能的RMSE和MAPE评估结果列于 Table 5。
模型总结:模型数据集能够对研究的LIB进行稳健预测,展示了其学习TR演化规律的能力。未来可通过将物理信息约束和电池材料参数嵌入神经网络,为新系统生成虚拟数据,从而在有限数据条件下增强外推的可靠性。
Figure 10 Schematic structure of CNN-LSTM/BiLSTM/GRU-ATTENTION module.
Figure 11 Comparison of temperature prediction results with simulation or test. a) Prediction of temperature at a distance of 60 cm from the heat source. b) Prediction of temperature at a distance of 75 cm from the heat source. c) Prediction of experimental temperature. d) Comparison loss function values for three prediction models.
Figure 12 Relative errors of the three prediction frameworks. a) Prediction of the heat source distance of 60 cm. b) Prediction of the heat source distance of 60 cm. c) Prediction of experimental temperature.
Figure 13 Comparison of temperature prediction results with simulation. a) Prediction of temperature under 90% SOC. b) Prediction of temperature under 66% SOC. c) Prediction of temperature under 33% SOC. d) Comparison loss function values for three prediction models.
Figure 14 Relative errors of the three prediction frameworks. a) Prediction of 90% SOC. b) Prediction of 66% SOC. c) Prediction of 33% SOC.
4. 结论
行为: NCM523与LFP电池在极端高温冲击下均经历多阶段热失控,但LFP因结构稳定而不经历层脱落阶段且质量损失极小。
稳定性: LFP电池凭借其橄榄石结构展现出远优于NCM523的热稳定性,具体表现为更高的热失控起始温度、更低的峰值温度及自熄特性。
模型: 构建的多物理场模型被实验数据有效验证,能准确模拟电池表面温度与热失控关键特征,并揭示了LFP的不完全热失控过程。
影响: 电池的荷电状态和与热源距离是影响热失控行为的关键外部因素,前者主导能量释放的剧烈程度,后者决定热攻击的强度与进程。
预测: 基于真实与虚拟数据训练的CNN-LSTM-ATTENTION神经网络模型,能高效、准确地预测不同场景下的电池温度趋势,为安全预警提供了新工具。

